当前位置:首页>文档>专题4.5简单的三角恒等变换(学生版)_02高考数学_新高考复习资料_2024年新高考资料_一轮复习资料

专题4.5简单的三角恒等变换(学生版)_02高考数学_新高考复习资料_2024年新高考资料_一轮复习资料

  • 2026-04-14 02:41:44 2026-04-14 02:15:41

文档预览

专题4.5简单的三角恒等变换(学生版)_02高考数学_新高考复习资料_2024年新高考资料_一轮复习资料
专题4.5简单的三角恒等变换(学生版)_02高考数学_新高考复习资料_2024年新高考资料_一轮复习资料
专题4.5简单的三角恒等变换(学生版)_02高考数学_新高考复习资料_2024年新高考资料_一轮复习资料
专题4.5简单的三角恒等变换(学生版)_02高考数学_新高考复习资料_2024年新高考资料_一轮复习资料
专题4.5简单的三角恒等变换(学生版)_02高考数学_新高考复习资料_2024年新高考资料_一轮复习资料
专题4.5简单的三角恒等变换(学生版)_02高考数学_新高考复习资料_2024年新高考资料_一轮复习资料
专题4.5简单的三角恒等变换(学生版)_02高考数学_新高考复习资料_2024年新高考资料_一轮复习资料
专题4.5简单的三角恒等变换(学生版)_02高考数学_新高考复习资料_2024年新高考资料_一轮复习资料
专题4.5简单的三角恒等变换(学生版)_02高考数学_新高考复习资料_2024年新高考资料_一轮复习资料
专题4.5简单的三角恒等变换(学生版)_02高考数学_新高考复习资料_2024年新高考资料_一轮复习资料
专题4.5简单的三角恒等变换(学生版)_02高考数学_新高考复习资料_2024年新高考资料_一轮复习资料
专题4.5简单的三角恒等变换(学生版)_02高考数学_新高考复习资料_2024年新高考资料_一轮复习资料
专题4.5简单的三角恒等变换(学生版)_02高考数学_新高考复习资料_2024年新高考资料_一轮复习资料
专题4.5简单的三角恒等变换(学生版)_02高考数学_新高考复习资料_2024年新高考资料_一轮复习资料
专题4.5简单的三角恒等变换(学生版)_02高考数学_新高考复习资料_2024年新高考资料_一轮复习资料
专题4.5简单的三角恒等变换(学生版)_02高考数学_新高考复习资料_2024年新高考资料_一轮复习资料

文档信息

文档格式
docx
文档大小
0.393 MB
文档页数
12 页
上传时间
2026-04-14 02:15:41

文档内容

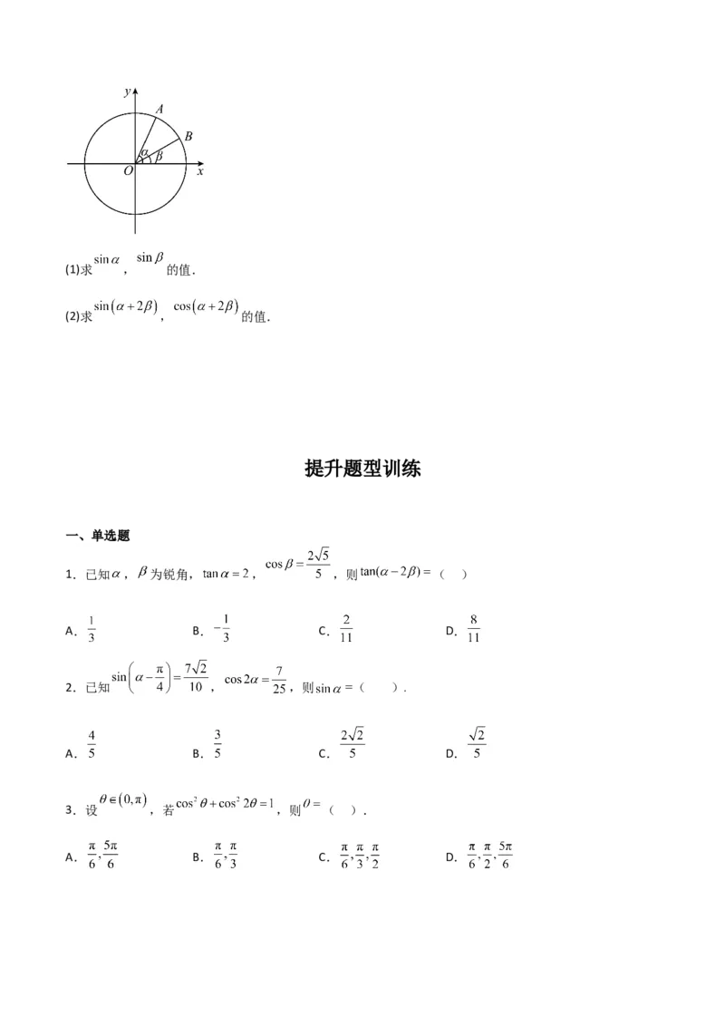
4.5 简单的三角恒等变换 思维导图 知识点总结 1 半角公式 α √1-cosα α √1+cosα α √1-cosα sin =± ,cos =± ,tan =± 2 2 2 2 2 1+cosα (由降幂公式可得) 证明 由降幂公式sin2α= 1-cos2α 得sinα=± √1-cos2α ,则sin α =± √1-cosα ; 2 2 2 2 由降幂公式cos2α= 1+cos2α 得cosα=± √1+cos2α ,则cos α =± √1+cosα ; 2 2 2 2 α sin α 2 √1-cosα tan = =± . 2 α 1+cosα cos 2 解释 α α α 半角公式,利用cosα表示了sin 、cos 、tan . 2 2 2 2 万能公式α α α 2tan 1-tan2 2tan 2 2 2 sinα= ,cosα= ,tanα= α α α 1+tan2 1+tan2 1-tan2 2 2 2 (由倍角公式可得) 证明 解释 α 万能公式,利用tan 表示了sinα、cosα和tanα. 2 3 和化积公式 α+β α-β α+β α-β sinα+sinβ=2sin cos sinα-sinβ=2cos sin 2 2 2 2 α+β α-β α+β α-β cosα+cosβ=2cos cos cosα-cosβ=-2sin sin 2 2 2 2 (由和差公式可得) 证明 4 积化和公式 1 sinα∙cosβ= [sin(α+β)+sin(α-β)] 2 1 cosα∙cosβ= [cos(α+β)+cos(α-β)] 2 1 sinα∙sinβ= [cos(α-β)-cos(α+β)] 2 (由和差公式可得) 证明 解释 积化和公式相当于和化积公式的逆运算.典型例题分析 考向一 公式直接应用 例1 利用公式 证明: (1) ; (2) . 考向二 结合同角三角函数应用 例2 已知 , , , 是第三象限角,求 的值.考向三 三角恒等变换的综合应用 例3 利用和(差)角公式计算下列各式的值: (1) ; (2) ; (3) . 考向四 二倍角公式与和差角公式 例4 已知 , ,求 , , 的值.考向五 三角函数的证明问题 例5 求证: (1) ; (2) . 考向六 三角函数的应用问题 例6 求下列函数的周期,最大值和最小值: (1) ; (2) .基础题型训练 一、单选题 1. ( ) A. B. C. D. 2.在 中,若 , ,则 的值为( ) A. B. C. D. 3.下列各数 , , , 中, 最大的是( ) A. B. C. D. 4.下列化简结果正确的个数为( ) ① ②③ ④ A.1个 B.2个 C.3个 D.4个 5.已知 为第三象限角,且 ,则 的值为( ) A. B. C. D. 6.已知函数 ,则函数 的最小正周期和最大值分别为( ) A. 和 B. 和 C. 和 D. 和 二、多选题 7.将函数 的图象向左平移 个单位后,所得图象关于 轴对称,则实数 的值可能 为( ) A. B. C. D. 8.若函数 ,则( ) A. 的最大值是4 B. 的最小正周期是 C. 的图象关于直线 对称 D. 在区间 上单调递减 三、填空题9. ____. 10.已知 ,则 ______ 11.在平面直角坐标系 中,已知角 的顶点和点 重合,始边与 轴的非负半轴重合,终边上一点 的坐 标为 ,则 __________. 12.已知 ,则 ______.(用含 的式子表示) 四、解答题 13.已知函数 . (1)求函数 的最小正周期和最大值; (2)求函数 的单调减区间. 14.已知 ,且 .则 ______. 15.设函数 (1)求函数 的对称中心; (2)求函数 在 上的单调递减区间. 16.如图所示,在平面直角坐标系xOy中,锐角α、β的顶点与坐标原点O重合,始边与x轴的正半轴重合, 它们的终边与单位圆分别交于A、B两点,已知A、B两点的横坐标分别为 和 .(1)求 , 的值. (2)求 , 的值. 提升题型训练 一、单选题 1.已知 , 为锐角, , ,则 ( ) A. B. C. D. 2.已知 , ,则 =( ). A. B. C. D. 3.设 ,若 ,则 ( ). A. B. C. D.4. ( ) A.4 B. C. D. 5.已知 , ,则 等于( ) A. B. C. D. 6.已知 ,则 A. B. C. D. 二、多选题 7.计算下列各式,结果为 的是( ) A. B. C. D. 8.函数 的部分图象如图所示,则下列正确的是( ) A.θ的值可为B.若 ,则k为奇数 C.若 ,则 D.若 ,则 的最大值要大于 三、填空题 9.已知 , ,则 ______. 10.已知 ,则 的值为________. 11.化简(tan10°- )· =________. 12.函数 的单调递增区间为__________. 四、解答题 13.证明下列各式. (1) ; (2) . 14.已知函数 的最大值是1. (1)求常数a的值; (2)求使 成立的x的取值集合.15.已知函数 , ,再从条件① 、条件② 、 条件③ 这三个条件中选择一个作为已知.求: (1) 的最小正周期; (2) 在区间 的取值范围. 16.在锐角 中, . (1)求角A的大小; (2)求 的最大值.