文档
办公文件
生活文档
学习资料
当前位置:
首页
>
文档
>2020年数学三真题答案解析_26.考研数学(一)(二)(三)真题_26.3考研数学(三)真题_考研数学(三)真题_02.1987-2025年数三真题详解
2020年数学三真题答案解析_26.考研数学(一)(二)(三)真题_26.3考研数学(三)真题_考研数学(三)真题_02.1987-2025年数三真题详解
2026-03-28 13:27:24
2026-02-23 17:44:14
文档预览
文档信息
文档格式
pdf
文档大小
1.016 MB
文档页数
7 页
上传时间
2026-02-23 17:44:14
下载文档
文档内容
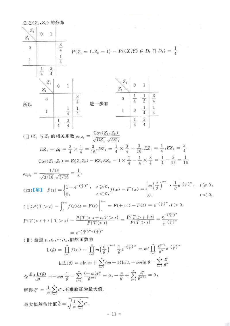
2020年考研数三真题解析
本文档来自网络内容,如有侵犯您的权益请联系我们删除,联系邮箱:wyl860211@qq.com。
上一篇
五年(2021-2025)全国高考生物真题分类汇编专题17植物激素的调节(全国通用)(解析版)_高考真题分类汇编_高考生物真题分类汇编(全国通用)五年(2021-2025)
下一篇
五年(2021-2025)全国高考生物真题分类汇编专题18种群和群落(全国通用)(原卷版)_高考真题分类汇编_高考生物真题分类汇编(全国通用)五年(2021-2025)
最新文档
3上答案_26春四年级上下册人教版_四上英语合集人教版PEP英语四年级上册新教材(教学视频+课件+动画+音频+练习+教案)_17练习资料_小学英语(预习复习资料大礼包)_《剑桥JOININ版》
3Unit3PartAWhattoolshelpuslearn_Unit3Learningbetter(第二课时)_课后练习2_26春四年级上下册人教版_四上英语合集人教版PEP英语四年级上册新教材(教学视频+课件+动画+音频+练习+教案)
3Unit3PartAWhattoolshelpuslearn_Unit3Learningbetter(第二课时)_教学设计2_26春四年级上下册人教版_四上英语合集人教版PEP英语四年级上册新教材(教学视频+课件+动画+音频+练习+教案)
3Unit3PartAWhattoolshelpuslearn_Unit3Learningbetter(第二课时)_学习任务单2_26春四年级上下册人教版_19同步教案课件_人教pep3_小学英语PEP智慧教育课件(3上,3-6下)_Unit3Learningbetter
3Unit3PartAWhattoolshelpuslearn_Unit3Learningbetter(第三课时)_课后练习3_26春四年级上下册人教版_四上英语合集人教版PEP英语四年级上册新教材(教学视频+课件+动画+音频+练习+教案)
3Unit3PartAWhattoolshelpuslearn_Unit3Learningbetter(第三课时)_教学设计3_26春四年级上下册人教版_四上英语合集人教版PEP英语四年级上册新教材(教学视频+课件+动画+音频+练习+教案)
3Unit3PartAWhattoolshelpuslearn_Unit3Learningbetter(第三课时)_学习任务单3_26春四年级上下册人教版_19同步教案课件_人教pep3_小学英语PEP智慧教育课件(3上,3-6下)_Unit3Learningbetter
3Unit3PartAWhattoolshelpuslearn_Unit3Learningbetter(第一课时)_课后练习1_26春四年级上下册人教版_四上英语合集人教版PEP英语四年级上册新教材(教学视频+课件+动画+音频+练习+教案)
3Unit3PartAWhattoolshelpuslearn_Unit3Learningbetter(第一课时)_教学设计1_26春四年级上下册人教版_四上英语合集人教版PEP英语四年级上册新教材(教学视频+课件+动画+音频+练习+教案)
3Unit3PartAWhattoolshelpuslearn_Unit3Learningbetter(第一课时)_学习任务单1_26春四年级上下册人教版_19同步教案课件_人教pep3_小学英语PEP智慧教育课件(3上,3-6下)_Unit3Learningbetter
热门文档
3Unit2Teachers’DayPartA_国家课_课后练习_26春四年级上下册人教版_四上英语合集人教版PEP英语四年级上册新教材(教学视频+课件+动画+音频+练习+教案)_17练习资料_《小学英语》
3Unit2Teachers’DayPartA_国家课_学习任务单_26春四年级上下册人教版_四上英语合集人教版PEP英语四年级上册新教材(教学视频+课件+动画+音频+练习+教案)_17练习资料_《小学英语》
3Unit2PhysicalExercisesPartA_国家课_课后练习_26春四年级上下册人教版_四上英语合集人教版PEP英语四年级上册新教材(教学视频+课件+动画+音频+练习+教案)_17练习资料_《小学英语》
3Unit2PhysicalExercisesPartA_国家课_学习任务单_26春四年级上下册人教版_四上英语合集人教版PEP英语四年级上册新教材(教学视频+课件+动画+音频+练习+教案)_17练习资料_《小学英语》
3Unit2PartAHowdowedescribethings_Unit2Expressingyourself(第二课时)_课后练习2_26春四年级上下册人教版_19同步教案课件_人教pep3_小学英语PEP智慧教育课件(3上,3-6下)_Unit2Expressingyourself
3Unit2PartAHowdowedescribethings_Unit2Expressingyourself(第二课时)_教学设计2_26春四年级上下册人教版_19同步教案课件_人教pep3_小学英语PEP单独教案(3-6年级上下册)_3-6下册_Unit2
3Unit2PartAHowdowedescribethings_Unit2Expressingyourself(第二课时)_学习任务单2_26春四年级上下册人教版_19同步教案课件_人教pep3_小学英语PEP智慧教育课件(3上,3-6下)_Unit2Expressingyourself
3Unit2PartAHowdowedescribethings_Unit2Expressingyourself(第三课时)_课后练习3_26春四年级上下册人教版_19同步教案课件_人教pep3_小学英语PEP智慧教育课件(3上,3-6下)_Unit2Expressingyourself
3Unit2PartAHowdowedescribethings_Unit2Expressingyourself(第三课时)_教学设计3_26春四年级上下册人教版_19同步教案课件_人教pep3_小学英语PEP单独教案(3-6年级上下册)_3-6下册_Unit2
3Unit2PartAHowdowedescribethings_Unit2Expressingyourself(第三课时)_学习任务单3_26春四年级上下册人教版_19同步教案课件_人教pep3_小学英语PEP智慧教育课件(3上,3-6下)_Unit2Expressingyourself
随机文档
3Unit2PartAHowdowedescribethings_Unit2Expressingyourself(第一课时)_课后练习1_26春四年级上下册人教版_19同步教案课件_人教pep3_小学英语PEP智慧教育课件(3上,3-6下)_Unit2Expressingyourself
3Unit2PartAHowdowedescribethings_Unit2Expressingyourself(第一课时)_教学设计1_26春四年级上下册人教版_19同步教案课件_人教pep3_小学英语PEP单独教案(3-6年级上下册)_3-6下册_Unit2
3Unit2PartAHowdowedescribethings_Unit2Expressingyourself(第一课时)_学习任务单1_26春四年级上下册人教版_19同步教案课件_人教pep3_小学英语PEP智慧教育课件(3上,3-6下)_Unit2Expressingyourself
3Unit2OurSchoolPartA_国家课_课后练习_26春四年级上下册人教版_四上英语合集人教版PEP英语四年级上册新教材(教学视频+课件+动画+音频+练习+教案)_17练习资料_《小学英语》
3Unit2OurSchoolPartA_国家课_学习任务单_26春四年级上下册人教版_四上英语合集人教版PEP英语四年级上册新教材(教学视频+课件+动画+音频+练习+教案)_17练习资料_《小学英语》
3Unit2KatiealwaysgetsupearlyLesson1_国家课_课后练习_26春四年级上下册人教版_四上英语合集人教版PEP英语四年级上册新教材(教学视频+课件+动画+音频+练习+教案)_17练习资料
3Unit2KatiealwaysgetsupearlyLesson1_国家课_学习任务单_26春四年级上下册人教版_四上英语合集人教版PEP英语四年级上册新教材(教学视频+课件+动画+音频+练习+教案)_17练习资料
3Unit2It'sacircleLesson1_国家课_课后练习_26春四年级上下册人教版_四上英语合集人教版PEP英语四年级上册新教材(教学视频+课件+动画+音频+练习+教案)_17练习资料_《小学英语》
3Unit2It'sacircleLesson1_国家课_学习任务单_26春四年级上下册人教版_四上英语合集人教版PEP英语四年级上册新教材(教学视频+课件+动画+音频+练习+教案)_17练习资料_《小学英语》
3Unit2I'dlikeahamburgerLesson1_国家课_课后练习_26春四年级上下册人教版_四上英语合集人教版PEP英语四年级上册新教材(教学视频+课件+动画+音频+练习+教案)_17练习资料