当前位置:首页>文档>(2.3.4)-模块测(2)-数字特征、大数定律、参数估计-试题(数一)_08.2026考研数学高途王喆全程班_赠送2025课程_25考研数学(一、二)全年智达班_{2}--资料_{2}-基础阶段章节模块测试pdf

(2.3.4)-模块测(2)-数字特征、大数定律、参数估计-试题(数一)_08.2026考研数学高途王喆全程班_赠送2025课程_25考研数学(一、二)全年智达班_{2}--资料_{2}-基础阶段章节模块测试pdf

  • 2026-04-03 02:52:01 2026-02-28 16:05:20

文档预览

(2.3.4)-模块测(2)-数字特征、大数定律、参数估计-试题(数一)_08.2026考研数学高途王喆全程班_赠送2025课程_25考研数学(一、二)全年智达班_{2}--资料_{2}-基础阶段章节模块测试pdf
(2.3.4)-模块测(2)-数字特征、大数定律、参数估计-试题(数一)_08.2026考研数学高途王喆全程班_赠送2025课程_25考研数学(一、二)全年智达班_{2}--资料_{2}-基础阶段章节模块测试pdf
(2.3.4)-模块测(2)-数字特征、大数定律、参数估计-试题(数一)_08.2026考研数学高途王喆全程班_赠送2025课程_25考研数学(一、二)全年智达班_{2}--资料_{2}-基础阶段章节模块测试pdf

文档信息

文档格式
pdf
文档大小
0.409 MB
文档页数
3 页
上传时间
2026-02-28 16:05:20

文档内容

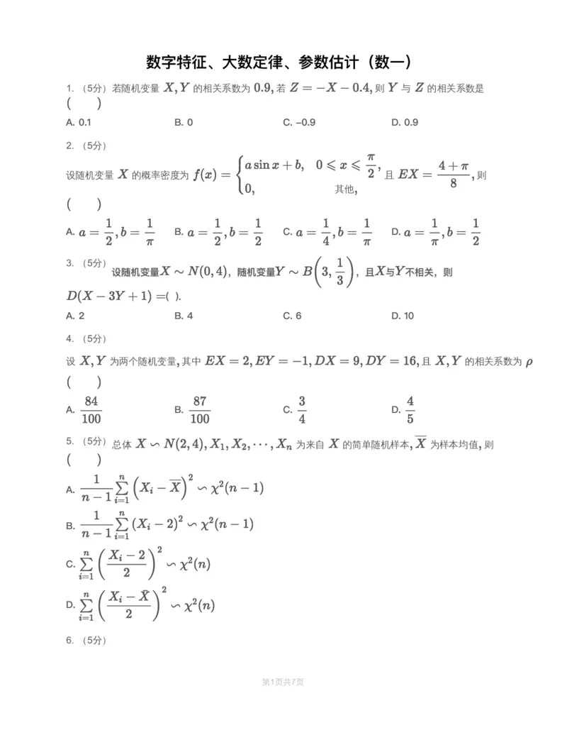
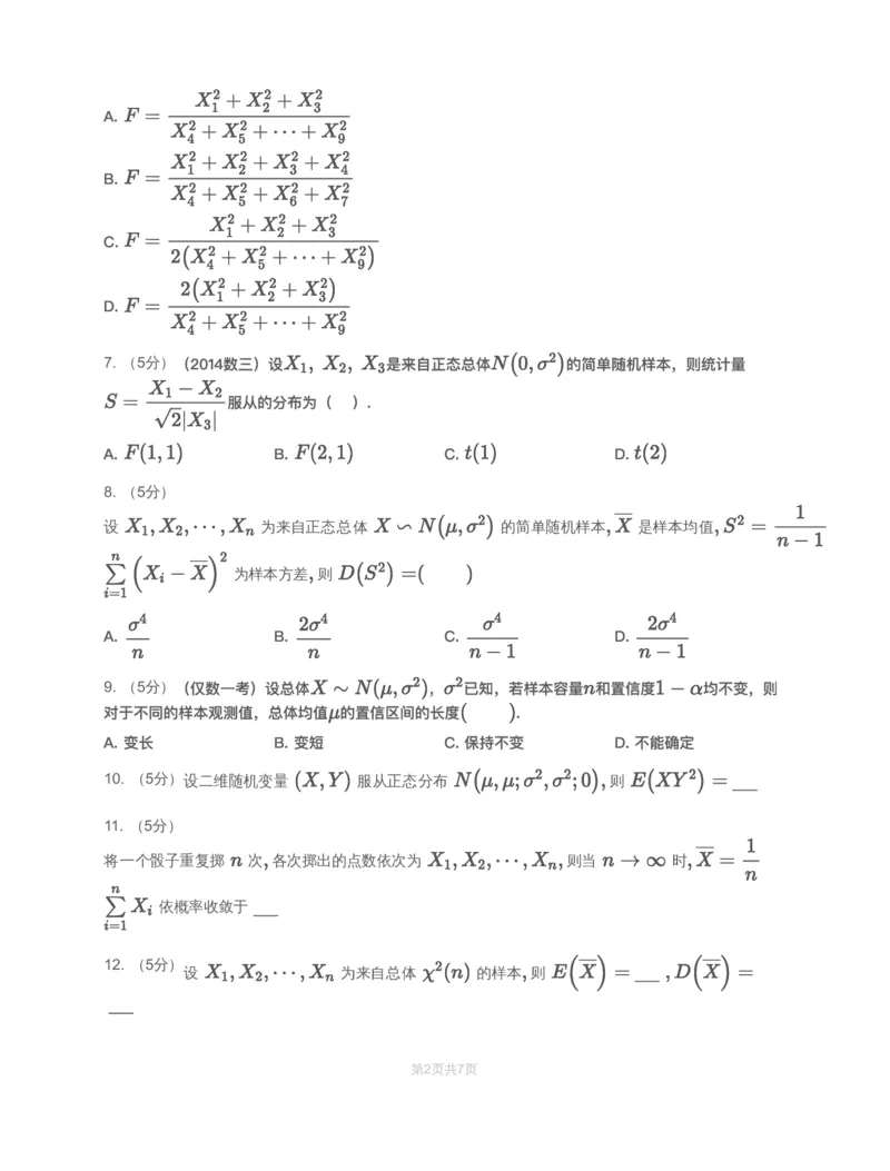
数字特征、⼤数定律、参数估计(数⼀) 1. (5分)若随机变量 的相关系数为 若 则 与 的相关系数是 A. 0.1 B. 0 C. -0.9 D. 0.9 2. (5分) 设随机变量 的概率密度为 且 则 其他 A. B. C. D. 3. (5分) 设随机变量 ,随机变量 ,且 与 不相关,则 ( ). A. 2 B. 4 C. 6 D. 10 4. (5分) 设 为两个随机变量 其中 且 的相关系数为 A. B. C. D. 5. (5分) 总体 为来自 的简单随机样本 为样本均值 则 A. B. C. D. 6. (5分) 第1页共7页A. B. C. D. 7. (5分)(2014数三)设 是来⾃正态总体 的简单随机样本,则统计量 服从的分布为( ). A. B. C. D. 8. (5分) 设 为来自正态总体 的简单随机样本 是样本均值 为样本方差 则 A. B. C. D. 9. (5分)(仅数⼀考)设总体 , 已知,若样本容量 和置信度 均不变,则 对于不同的样本观测值,总体均值 的置信区间的⻓度 . A. 变⻓ B. 变短 C. 保持不变 D. 不能确定 10. (5分)设二维随机变量 服从正态分布 则 11. (5分) 将一个骰子重复掷 次 各次掷出的点数依次为 则当 时 依概率收敛于 12. (5分) 设 为来自总体 的样本 则 第2页共7页13. (10分) 设随机变量 服从指数分布 其概率密度为 其中 是常数 求 14. (10分) 随机变量 服从区域 上的均匀分布 试求 的相关系 15. (10分)设总体 的分布律为 1 2 3 其中 为未知参数 现抽得一个样本 求 的矩估计值 16. (10分) 设总体 的概率密度为 其中参数 未知 其他 是来自总体 的简单随机样本 求参数 的矩估计量 求参数 的最大似然估计量 第3页共7页