当前位置:首页>文档>(2.1.9)-模块测(5)多元函数微分学和二重积分-解析_08.2026考研数学高途王喆全程班_赠送2025课程_25考研数学(一、二)全年智达班_{2}--资料_{2}-基础阶段章节模块测试pdf_{1}-高数

(2.1.9)-模块测(5)多元函数微分学和二重积分-解析_08.2026考研数学高途王喆全程班_赠送2025课程_25考研数学(一、二)全年智达班_{2}--资料_{2}-基础阶段章节模块测试pdf_{1}-高数

  • 2026-04-03 23:16:21 2026-02-28 16:03:49

文档预览

(2.1.9)-模块测(5)多元函数微分学和二重积分-解析_08.2026考研数学高途王喆全程班_赠送2025课程_25考研数学(一、二)全年智达班_{2}--资料_{2}-基础阶段章节模块测试pdf_{1}-高数
(2.1.9)-模块测(5)多元函数微分学和二重积分-解析_08.2026考研数学高途王喆全程班_赠送2025课程_25考研数学(一、二)全年智达班_{2}--资料_{2}-基础阶段章节模块测试pdf_{1}-高数
(2.1.9)-模块测(5)多元函数微分学和二重积分-解析_08.2026考研数学高途王喆全程班_赠送2025课程_25考研数学(一、二)全年智达班_{2}--资料_{2}-基础阶段章节模块测试pdf_{1}-高数
(2.1.9)-模块测(5)多元函数微分学和二重积分-解析_08.2026考研数学高途王喆全程班_赠送2025课程_25考研数学(一、二)全年智达班_{2}--资料_{2}-基础阶段章节模块测试pdf_{1}-高数
(2.1.9)-模块测(5)多元函数微分学和二重积分-解析_08.2026考研数学高途王喆全程班_赠送2025课程_25考研数学(一、二)全年智达班_{2}--资料_{2}-基础阶段章节模块测试pdf_{1}-高数
(2.1.9)-模块测(5)多元函数微分学和二重积分-解析_08.2026考研数学高途王喆全程班_赠送2025课程_25考研数学(一、二)全年智达班_{2}--资料_{2}-基础阶段章节模块测试pdf_{1}-高数
(2.1.9)-模块测(5)多元函数微分学和二重积分-解析_08.2026考研数学高途王喆全程班_赠送2025课程_25考研数学(一、二)全年智达班_{2}--资料_{2}-基础阶段章节模块测试pdf_{1}-高数
(2.1.9)-模块测(5)多元函数微分学和二重积分-解析_08.2026考研数学高途王喆全程班_赠送2025课程_25考研数学(一、二)全年智达班_{2}--资料_{2}-基础阶段章节模块测试pdf_{1}-高数

文档信息

文档格式
pdf
文档大小
1.271 MB
文档页数
8 页
上传时间
2026-02-28 16:03:49

文档内容

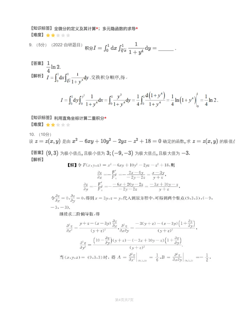
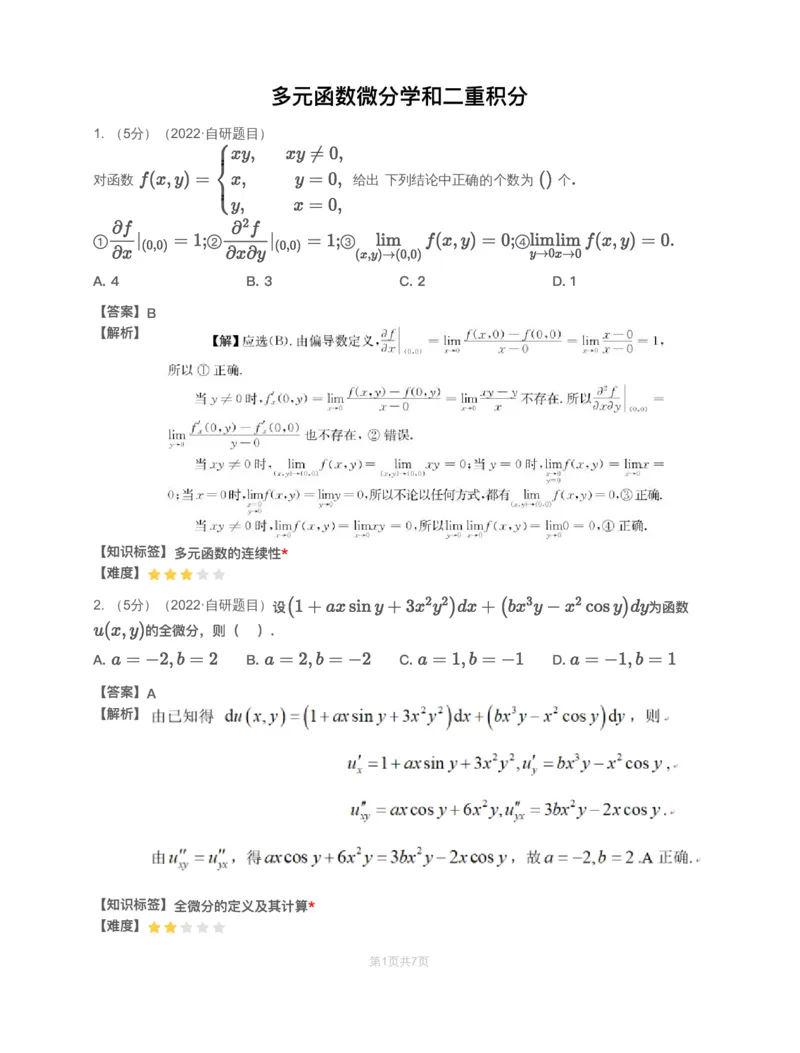
多元函数微分学和⼆重积分 1. (5分)(2022·自研题目) 对函数 给出 下列结论中正确的个数为 个 A. 4 B. 3 C. 2 D. 1 【答案】B 【解析】 【知识标签】多元函数的连续性* 【难度】 2. (5分)(2022·自研题目)设 为函数 的全微分,则( ). A. B. C. D. 【答案】A 【解析】 【知识标签】全微分的定义及其计算* 【难度】 第1页共7页3. (5分) 若函数 均可微 设 则 A. B. C. D. 【答案】B 【解析】 【知识标签】多元复合函数的求导法则* 【难度】 4. (5分)(2022·自研题目) 设 在有界闭区域 上有二阶连续偏导数 且 则 A. B. 在 的内部取得最值 在 的边界取得最大值与最小值 C. 在 的内部取得最大值 在 的边界上取得最小值 D. 在 的内部取得最小值 在 的边界上取得最大值 【答案】B 【解析】 【知识标签】多元函数的极值与最值* 【难度】 5. (5分)设区域 是圆域 的第 象限的部分 记 则 A. B. C. D. 【答案】B 第2页共7页【解析】 【知识标签】⼆重积分的性质* 【难度】 6. (5分)设区域D由曲线 , , 围成,则 =( ) A. B. 2 C. -2 D. 【答案】D 【解析】本题主要考查了⼆重积分的概念,基本性质和计算。 根据边界条件确定积分区域 ,关于 轴都对称, 分别是 的奇函数,1分别是 的偶函 数,所以 。 综上所述,本题正确答案是D。 【知识标签】⼆重积分的概念*;⼆重积分的性质* 【难度】 7. (5分)设函数 连续 区域 则 A. B. C. D. 【答案】D 【解析】 【知识标签】利⽤极坐标计算⼆重积分* 【难度】 8. (5分)(2023·自研题目)若函数 由⽅程 确定,则 . 【答案】 【解析】 第3页共7页【知识标签】全微分的定义及其计算*;多元隐函数的求导* 【难度】 9. (5分)(2022·自研题目) 积分 . 【答案】 . 【解析】 【知识标签】利⽤直⻆坐标计算⼆重积分* 【难度】 10. (10分) 设 是由 确定的函数 求 的极值点 【答案】 为极小值点 且极小值为 为极大值点 且极大值为 【解析】 第4页共7页【知识标签】多元函数的极值与最值* 【难度】 11. (9分) 设 具有⼆阶连续导数,且 ,求 . 【答案】 【解析】本题主要考查了多元函数偏导数的概念和计算以及全微分。 所以 【知识标签】偏导数的定义及其计算* 【难度】 12. (9分)(2022·自研题目)求函数 的极值 【答案】 极小值为 【解析】 第5页共7页【知识标签】多元函数的极值与最值* 【难度】 13. (9分)设函数 ,约束条件 和 下的最⼤值 与最⼩值. 【答案】设 ,解⽅程组: 得到 或 , 带⼊ ,得到最⼤值为72,最⼩值为6。 【解析】本题主要考查了在约束条件下多元函数最⼤值和最⼩值的求解。 【知识标签】多元函数的极值与最值* 【难度】 14. (9分)计算⼆重积分 ,其中D是由直线 , , 所围成的平⾯ 区域. 【答案】 【解析】画出⼆重积分,将⼆重积分化为累次积分即可。 积分区域如上图,因为根号下的函数为关于x的⼀次函数,先x后y积分较容易,所以: 【知识标签】利⽤直⻆坐标计算⼆重积分* 【难度】 第6页共7页15. (9分)计算⼆重积分 ,其中积分区域 . 【答案】 。 【解析】令 ,有 令 ,则 设 则 所以 , 所以 。 【知识标签】利⽤极坐标计算⼆重积分* 【难度】 第7页共7页