当前位置:首页>文档>(2.1.3)-模块测(5)多元函数微分学和二重积分-试题_08.2026考研数学高途王喆全程班_26考研数学(一、三)优学领航全程班_{2}--资料_{2}-基础阶段章节模块测试pdf_{1}-高数

(2.1.3)-模块测(5)多元函数微分学和二重积分-试题_08.2026考研数学高途王喆全程班_26考研数学(一、三)优学领航全程班_{2}--资料_{2}-基础阶段章节模块测试pdf_{1}-高数

  • 2026-03-29 23:43:42 2026-02-26 09:08:33

文档预览

(2.1.3)-模块测(5)多元函数微分学和二重积分-试题_08.2026考研数学高途王喆全程班_26考研数学(一、三)优学领航全程班_{2}--资料_{2}-基础阶段章节模块测试pdf_{1}-高数
(2.1.3)-模块测(5)多元函数微分学和二重积分-试题_08.2026考研数学高途王喆全程班_26考研数学(一、三)优学领航全程班_{2}--资料_{2}-基础阶段章节模块测试pdf_{1}-高数

文档信息

文档格式
pdf
文档大小
0.412 MB
文档页数
2 页
上传时间
2026-02-26 09:08:33

文档内容

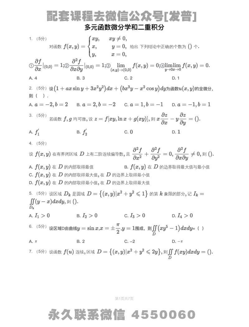
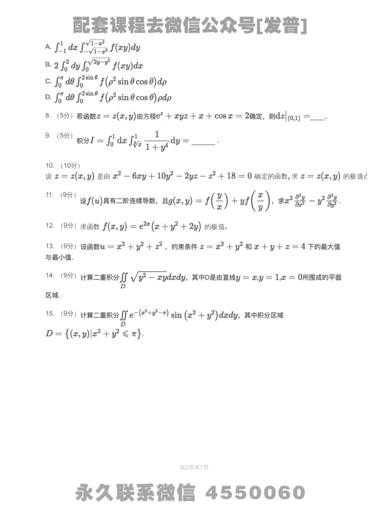
多元函数微分学和⼆重积分 1. (5分) 对函数 给出 下列结论中正确的个数为 个 A. 4 B. 3 C. 2 D. 1 2. (5分)设 为函数 的全微分, 则( ). A. B. C. D. 3. (5分) 若函数 均可微 设 则 A. B. C. D. 4. (5分) 设 在有界闭区域 上有二阶连续偏导数 且 则 A. 在 的内部取得最值 B. 在 的边界取得最大值与最小值 C. 在 的内部取得最大值 在 的边界上取得最小值 D. 在 的内部取得最小值 在 的边界上取得最大值 5. (5分)设区域 是圆域 的第 象限的部分 记 则 A. B. C. D. 6. (5分)设区域D由曲线 , , 围成,则 =( ) A. B. 2 C. -2 D. 7. (5分)设函数 连续 区域 则 第1页共7页A. B. C. D. 8. (5分)若函数 由⽅程 确定,则 . 9. (5分) 积分 . 10. (10分) 设 是由 确定的函数 求 的极值点 11. (9分) 设 具有⼆阶连续导数,且 ,求 . 12. (9分)求函数 的极值 13. (9分)设函数 ,约束条件 和 下的最⼤值 与最⼩值. 14. (9分)计算⼆重积分 ,其中D是由直线 , , 所围成的平⾯ 区域. 15. (9分)计算⼆重积分 ,其中积分区域 . 第2页共7页