当前位置:首页>文档>2025年高考物理专题强化练十二:电学实验基础(含解析)_4.2025物理总复习_2025年新高考资料_专项复习_2025年高考物理专题强化练(含解析)(完结)

2025年高考物理专题强化练十二:电学实验基础(含解析)_4.2025物理总复习_2025年新高考资料_专项复习_2025年高考物理专题强化练(含解析)(完结)

  • 2026-04-06 01:21:40 2026-03-09 16:26:26

文档预览

2025年高考物理专题强化练十二:电学实验基础(含解析)_4.2025物理总复习_2025年新高考资料_专项复习_2025年高考物理专题强化练(含解析)(完结)
2025年高考物理专题强化练十二:电学实验基础(含解析)_4.2025物理总复习_2025年新高考资料_专项复习_2025年高考物理专题强化练(含解析)(完结)
2025年高考物理专题强化练十二:电学实验基础(含解析)_4.2025物理总复习_2025年新高考资料_专项复习_2025年高考物理专题强化练(含解析)(完结)
2025年高考物理专题强化练十二:电学实验基础(含解析)_4.2025物理总复习_2025年新高考资料_专项复习_2025年高考物理专题强化练(含解析)(完结)
2025年高考物理专题强化练十二:电学实验基础(含解析)_4.2025物理总复习_2025年新高考资料_专项复习_2025年高考物理专题强化练(含解析)(完结)
2025年高考物理专题强化练十二:电学实验基础(含解析)_4.2025物理总复习_2025年新高考资料_专项复习_2025年高考物理专题强化练(含解析)(完结)
2025年高考物理专题强化练十二:电学实验基础(含解析)_4.2025物理总复习_2025年新高考资料_专项复习_2025年高考物理专题强化练(含解析)(完结)
2025年高考物理专题强化练十二:电学实验基础(含解析)_4.2025物理总复习_2025年新高考资料_专项复习_2025年高考物理专题强化练(含解析)(完结)
2025年高考物理专题强化练十二:电学实验基础(含解析)_4.2025物理总复习_2025年新高考资料_专项复习_2025年高考物理专题强化练(含解析)(完结)
2025年高考物理专题强化练十二:电学实验基础(含解析)_4.2025物理总复习_2025年新高考资料_专项复习_2025年高考物理专题强化练(含解析)(完结)
2025年高考物理专题强化练十二:电学实验基础(含解析)_4.2025物理总复习_2025年新高考资料_专项复习_2025年高考物理专题强化练(含解析)(完结)
2025年高考物理专题强化练十二:电学实验基础(含解析)_4.2025物理总复习_2025年新高考资料_专项复习_2025年高考物理专题强化练(含解析)(完结)
2025年高考物理专题强化练十二:电学实验基础(含解析)_4.2025物理总复习_2025年新高考资料_专项复习_2025年高考物理专题强化练(含解析)(完结)

文档信息

文档格式
docx
文档大小
0.628 MB
文档页数
13 页
上传时间
2026-03-09 16:26:26

文档内容

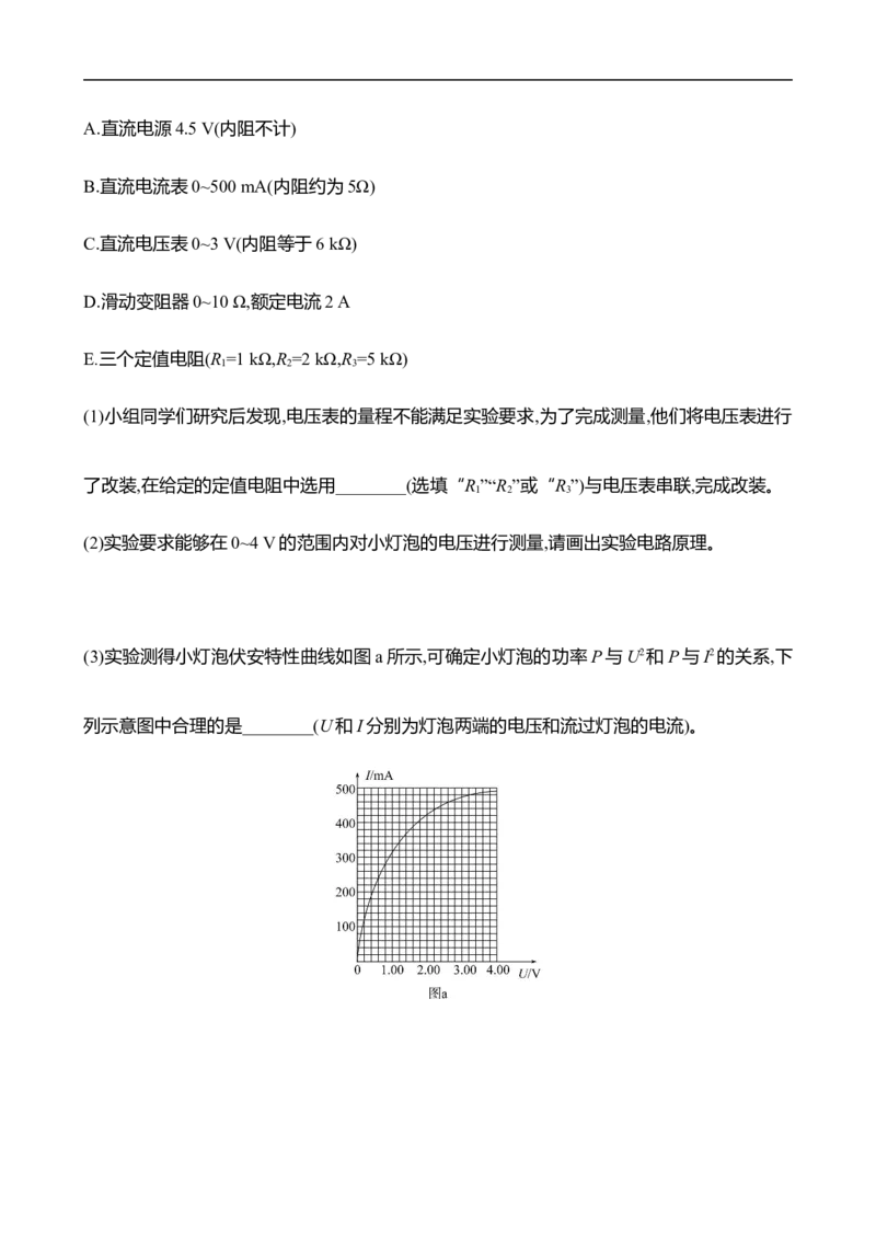
专题强化练(十二) 电学实验基础 (40分钟 40分) 一、选择题 1.(6分)(2023·威海模拟)用如图所示的电流表(内阻约4 Ω)和电压表(内阻约3 kΩ)测量电阻R 的阻值。测量情况为:电流表的示数是5 mA,电压表的示数是2.5 V,以下说法正确的是( ) A.电阻R的阻值为500 Ω B.电阻R的阻值略大于500 Ω C.电阻R的阻值略小于500 Ω D.如果采用电流表外接法测量,结果更加精确 2.(6分)如图所示,电流计的内阻R =98 Ω,满偏电流I =1 mA,R =902 Ω,R =2 Ω,则下列说法正确 g g 1 2 的是( ) A.当S 和S 均断开时,虚线框中可等效为电流表,最大量程是1 A 1 2 B.当S 和S 均断开时,虚线框中可等效为电压表,最大量程是1 V 1 2 C.当S 和S 均闭合时,虚线框中可等效为电流表,最大量程是1 A 1 2D.当S 和S 均闭合时,虚线框中可等效为电压表,最大量程是1 V 1 2 二、非选择题 3.(6分)(2023·秦皇岛模拟)某同学用螺旋测微器测圆柱体的直径时,示数如图甲所示,此示数为 ________mm;用游标卡尺测量某物体的厚度时,示数如图乙所示,此示数为________cm。另一 位学生用游标尺上标有50等分刻度的游标卡尺测一工件的长度,测得的结果如图丙所示,则该 工件的长度L=________cm。 4.(6 分)如图,螺旋测微器的读数为______mm;电压表的读数为________V;电流表的读数为 ________A。 5.(8分)(2023·太原模拟)某物理兴趣小组要描绘一个标有“4 V,2.0 W”的小灯泡L的伏安特性 曲线,要求灯泡两端的电压由零逐渐增大,且尽量减小实验误差。可供选用的器材除导线、开 关外,还有以下器材:A.直流电源4.5 V(内阻不计) B.直流电流表0~500 mA(内阻约为5Ω) C.直流电压表0~3 V(内阻等于6 kΩ) D.滑动变阻器0~10 Ω,额定电流2 A E.三个定值电阻(R =1 kΩ,R =2 kΩ,R =5 kΩ) 1 2 3 (1)小组同学们研究后发现,电压表的量程不能满足实验要求,为了完成测量,他们将电压表进行 了改装,在给定的定值电阻中选用________(选填“R ”“R ”或“R ”)与电压表串联,完成改装。 1 2 3 (2)实验要求能够在0~4 V的范围内对小灯泡的电压进行测量,请画出实验电路原理。 (3)实验测得小灯泡伏安特性曲线如图a所示,可确定小灯泡的功率P与U2和P与I2的关系,下 列示意图中合理的是________(U和I分别为灯泡两端的电压和流过灯泡的电流)。(4)若将两个完全相同规格的小灯泡L按如图b所示电路连接,电源电动势E=6 V,内阻r=2 Ω,欲 使滑动变阻器R的功率是小灯泡的两倍,此时每个小灯泡消耗的电功率为________W,此时滑 动变阻器接入电路的电阻为________Ω。(结果均保留2位小数) 6.(8分)物理探究小组进行改装电表的探究实验,他们在实验室找到了一个量程为0~0.6 A、内 阻为0.5 Ω的电流表,实验室老师又给该小组的同学提供了若干各种规格的定值电阻和其他相 关器材。回答下列问题:(1)探究小组要将电流表改装成量程为0~3 V的电压表,同学们经计算后将一阻值为________Ω 的电阻R与该电流表________(选填“并联”或“串联”)进行改装; (2)改装完成后,探究小组利用标准电压表对改装后的电压表进行检测校准,请用笔画线代替导 线,补全图甲实物连线,构成完整的实验电路; (3)图乙和图丙分别为校准检测某次实验时标准电压表和电流表的示数,由此可知改装电压表 的实际量程为0~________V; (4)产生上述问题的原因可能是________。 A.电流表内阻标记错误,实际内阻大于0.5 Ω B.电流表内阻标记错误,实际内阻小于0.5 Ω C.R值计算错误,接入的电阻偏小 D.R值计算错误,接入的电阻偏大 解析版 一、选择题1.(6分)(2023·威海模拟)用如图所示的电流表(内阻约4 Ω)和电压表(内阻约3 kΩ)测量电阻R 的阻值。测量情况为:电流表的示数是5 mA,电压表的示数是2.5 V,以下说法正确的是( ) A.电阻R的阻值为500 Ω B.电阻R的阻值略大于500 Ω C.电阻R的阻值略小于500 Ω D.如果采用电流表外接法测量,结果更加精确 U 2.5 【解析】选 C。据欧姆定律可得 R= -R = Ω-R =500 Ω-R ,即电阻 R的阻值略小于 I A 5×10-3 A A 500 Ω,故A、B错误,C正确;由R R 可知,采用电流表内接的方法测量比较精确,故D错误。 A ≫ 2.(6分)如图所示,电流计的内阻R =98 Ω,满偏电流I =1 mA,R =902 Ω,R =2 Ω,则下列说法正确 g g 1 2 的是( ) A.当S 和S 均断开时,虚线框中可等效为电流表,最大量程是1 A 1 2 B.当S 和S 均断开时,虚线框中可等效为电压表,最大量程是1 V 1 2 C.当S 和S 均闭合时,虚线框中可等效为电流表,最大量程是1 A 1 2 D.当S 和S 均闭合时,虚线框中可等效为电压表,最大量程是1 V 1 2【解析】选B。由题中电路图可知,当S 和S 均断开时,G与R 串联,改装成的是电压表,电压 1 2 1 表最大量程U=I (R +R )=0.001×(98+902) V=1 V,故A错误,B正确;由题中电路图可知,当S 和 g g 1 1 S 均闭合时,G 与 R 并联,改装成的是电流表,电流表量程 I=I +I R =0.001 A+0.001×98 2 2 g g g R 2 2 A=0.05 A,故C、D错误。 二、非选择题 3.(6分)(2023·秦皇岛模拟)某同学用螺旋测微器测圆柱体的直径时,示数如图甲所示,此示数为 ________mm;用游标卡尺测量某物体的厚度时,示数如图乙所示,此示数为________cm。另一 位学生用游标尺上标有50等分刻度的游标卡尺测一工件的长度,测得的结果如图丙所示,则该 工件的长度L=________cm。 【解析】题图甲中,螺旋测微器的固定刻度读数为8 mm,可动刻度读数为2.1× 0.01 mm=0.021 mm,所以最终读数为 8 mm+0.021 mm=8.021 mm,由于需要估读,因此在范围 8.020~8.022 mm内均正确。题图乙中,游标卡尺的主尺读数为20 mm,游标尺上第12个刻度与主尺上某一刻度对齐,故游标尺读数为12×0.05 mm= 0.60 mm,所以最终读数为20 mm+0.60 mm=20.60 mm=2.060 cm。题图丙中,工件的长度L=52 mm+18×0.02 mm=5.236 cm。 答案:8.021(8.020~8.022均可) 2.060 5.236 4.(6 分)如图,螺旋测微器的读数为______mm;电压表的读数为________V;电流表的读数为 ________A。 【解析】螺旋测微器的读数为0.5 mm+19.5×0.01 mm=0.695 mm;电压表的读数为 2.60 V;电流表的读数为0.52 A。 答案:0.695(0.694~0.697均可) 2.60 0.52 5.(8分)(2023·太原模拟)某物理兴趣小组要描绘一个标有“4 V,2.0 W”的小灯泡L的伏安特性 曲线,要求灯泡两端的电压由零逐渐增大,且尽量减小实验误差。可供选用的器材除导线、开 关外,还有以下器材: A.直流电源4.5 V(内阻不计) B.直流电流表0~500 mA(内阻约为5Ω) C.直流电压表0~3 V(内阻等于6 kΩ)D.滑动变阻器0~10 Ω,额定电流2 A E.三个定值电阻(R =1 kΩ,R =2 kΩ,R =5 kΩ) 1 2 3 (1)小组同学们研究后发现,电压表的量程不能满足实验要求,为了完成测量,他们将电压表进行 了改装,在给定的定值电阻中选用________(选填“R ”“R ”或“R ”)与电压表串联,完成改装。 1 2 3 (2)实验要求能够在0~4 V的范围内对小灯泡的电压进行测量,请画出实验电路原理。 (3)实验测得小灯泡伏安特性曲线如图a所示,可确定小灯泡的功率P与U2和P与I2的关系,下 列示意图中合理的是________(U和I分别为灯泡两端的电压和流过灯泡的电流)。 (4)若将两个完全相同规格的小灯泡L按如图b所示电路连接,电源电动势E=6 V,内阻r=2 Ω,欲 使滑动变阻器R的功率是小灯泡的两倍,此时每个小灯泡消耗的电功率为________W,此时滑动变阻器接入电路的电阻为________Ω。(结果均保留2位小数) 【解析】 (1)由于灯泡的额定电压为 4 V,所以要改装成一个最大量程为 4 V或稍大于4 V的 4-3 U-U 电压表,串联的电阻阻值为R = g= 3 kΩ=2 kΩ,由于R 太小,R 大得太多,故最合适的 串 I 1 3 g 6 为R 。 2 (2)实现0~4 V的范围内对小灯泡的电压进行测量,需要将滑动变阻器设计成分压式接法,由于 小灯泡正常发光时电阻约为R =U2 =8 Ω,所以需要设计成电流表外接,实验电路如图甲所示。 L L P L U2 (3)小灯泡的电阻随温度升高而增大,由功率P= 可知,P-U2图像的斜率应逐渐减小,A、B两 R 项错误;由P=I2R可知,P-I2图像的斜率应逐渐增大,C项错误,D项正确。 (4)假设通过灯泡的电流为 I,灯泡两端的电压为U,通过滑动变阻器的电流为 2I,当滑动变阻器 R 的功率是小灯泡的两倍时,滑动变阻器两端的电压也为 U,由闭合电路欧姆定律可得 E=2U+2Ir,代入数据整理得U=3-2I,把该函数关系画在图a中,如图乙所示:与小灯泡伏安特性曲线的交点即为电路工作点,该点横、纵坐标值的乘积等于小灯泡的实际 U 功率,可得P=UI=2.18×0.426 W≈0.93 W,此时滑动变阻器接入电路的电阻为R= ≈2.56 Ω。 2I 答案:(1)R (2)图见解析 (3)D (4)0.93(0.91~0.95均可) 2.56(2.52~2.58均可) 2 6.(8分)物理探究小组进行改装电表的探究实验,他们在实验室找到了一个量程为0~0.6 A、内 阻为0.5 Ω的电流表,实验室老师又给该小组的同学提供了若干各种规格的定值电阻和其他相 关器材。回答下列问题:(1)探究小组要将电流表改装成量程为0~3 V的电压表,同学们经计算后将一阻值为________Ω 的电阻R与该电流表________(选填“并联”或“串联”)进行改装; (2)改装完成后,探究小组利用标准电压表对改装后的电压表进行检测校准,请用笔画线代替导 线,补全图甲实物连线,构成完整的实验电路; (3)图乙和图丙分别为校准检测某次实验时标准电压表和电流表的示数,由此可知改装电压表 的实际量程为0~________V; (4)产生上述问题的原因可能是________。 A.电流表内阻标记错误,实际内阻大于0.5 Ω B.电流表内阻标记错误,实际内阻小于0.5 Ω C.R值计算错误,接入的电阻偏小 D.R值计算错误,接入的电阻偏大 【解析】 (1)根据电表改装原理可知,将电流表改装成量程为0~3 V的电压表时,需要串联分压电阻,其阻值为R=U -r =4.5 Ω。 V A I A (2)对改装后的电压表进行检测校准时,标准电压表应并联在改装后电压表两端,且两电压表两 端电压应从零开始变化,所以滑动变阻器应采用分压式接法,实验电路如图所示。 (3)由图乙和图丙可知,当标准电压表读数为2.4 V时,通过电流表读数为0.4 A,所以改装电压表 的实际内阻为R =U =6 Ω,则改装电压表的实际量程为U =I R =3.6 V。 V实 标 V实 A V实 I ' A (4)根据(3)分析可知,改装后电压表的实际内阻比按0~3 V量程计算的理论内阻大,产生该问题 的原因可能是电流表内阻标记错误,实际内阻大于0.5 Ω,或者R值计算错误,接入的电阻偏大。 故选A、D。 答案:(1)4.5 串联 (2)见解析图 (3)3.6 (4)A、D