当前位置:首页>文档>A4原卷第八单元平均数与条形统计图素养测评卷-四年级数学下册同步高效课堂系列(人教版)_2026春人教版数学四年级下册_四下人教数学_四年级下册_单元测试卷

A4原卷第八单元平均数与条形统计图素养测评卷-四年级数学下册同步高效课堂系列(人教版)_2026春人教版数学四年级下册_四下人教数学_四年级下册_单元测试卷

  • 2026-04-05 08:50:35 2026-04-05 08:50:35

文档预览

A4原卷第八单元平均数与条形统计图素养测评卷-四年级数学下册同步高效课堂系列(人教版)_2026春人教版数学四年级下册_四下人教数学_四年级下册_单元测试卷
A4原卷第八单元平均数与条形统计图素养测评卷-四年级数学下册同步高效课堂系列(人教版)_2026春人教版数学四年级下册_四下人教数学_四年级下册_单元测试卷
A4原卷第八单元平均数与条形统计图素养测评卷-四年级数学下册同步高效课堂系列(人教版)_2026春人教版数学四年级下册_四下人教数学_四年级下册_单元测试卷
A4原卷第八单元平均数与条形统计图素养测评卷-四年级数学下册同步高效课堂系列(人教版)_2026春人教版数学四年级下册_四下人教数学_四年级下册_单元测试卷
A4原卷第八单元平均数与条形统计图素养测评卷-四年级数学下册同步高效课堂系列(人教版)_2026春人教版数学四年级下册_四下人教数学_四年级下册_单元测试卷
A4原卷第八单元平均数与条形统计图素养测评卷-四年级数学下册同步高效课堂系列(人教版)_2026春人教版数学四年级下册_四下人教数学_四年级下册_单元测试卷
A4原卷第八单元平均数与条形统计图素养测评卷-四年级数学下册同步高效课堂系列(人教版)_2026春人教版数学四年级下册_四下人教数学_四年级下册_单元测试卷
A4原卷第八单元平均数与条形统计图素养测评卷-四年级数学下册同步高效课堂系列(人教版)_2026春人教版数学四年级下册_四下人教数学_四年级下册_单元测试卷
A4原卷第八单元平均数与条形统计图素养测评卷-四年级数学下册同步高效课堂系列(人教版)_2026春人教版数学四年级下册_四下人教数学_四年级下册_单元测试卷
A4原卷第八单元平均数与条形统计图素养测评卷-四年级数学下册同步高效课堂系列(人教版)_2026春人教版数学四年级下册_四下人教数学_四年级下册_单元测试卷
A4原卷第八单元平均数与条形统计图素养测评卷-四年级数学下册同步高效课堂系列(人教版)_2026春人教版数学四年级下册_四下人教数学_四年级下册_单元测试卷
A4原卷第八单元平均数与条形统计图素养测评卷-四年级数学下册同步高效课堂系列(人教版)_2026春人教版数学四年级下册_四下人教数学_四年级下册_单元测试卷

文档信息

文档格式
docx
文档大小
0.275 MB
文档页数
8 页
上传时间
2026-04-05 08:50:35

文档内容

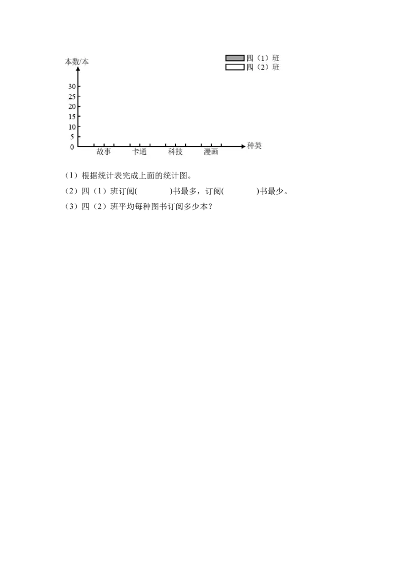
绝密★启用前 【上好课】2023-2024 学年四年级下册同步高效课堂系列 第八单元平均数与条形统计图素养测评卷 (考试时间:90分钟;满分:100+2分;测试日期:2024年5月) 学校: 班级: 姓名: 成绩: 注意事项: 1.答题前填写好自己的学校、班级、姓名等信息。 2.请将答案正确填写在答题区域,注意书写工整,格式正确,卷面整洁。 3.测试范围:第八单元。 卷面(2分)。我能做到书写工整,格式正确,卷面整洁。 【第一部分】知识·巩固(44分) 一、用心思考,认真填空。(每空1分,共24分) 1.(本题1分)文文的语文、数学、英语期末考试成绩分别是 ,她三 科平均成绩是( )分。 2.(本题2分)爷爷、奶奶的平均年龄是70岁,则他们一共( )岁。如 果爷爷73岁那么奶奶( )岁。 3.(本题1分)张师傅、李师傅和刘师傅三人平均生产了72个零件,李师傅 和刘师傅两人平均生产75个零件,张师傅生产了( )个零件。 4.(本题2分)阳光小学东、西校区举行合唱比赛,两个校区四年级的成绩如 表: 1班 2班 3班 4班 5班 东校区 9 8 7 8 8 西校区 8 9 6 (1)用分数8来代表东校区四年级学生合唱的整体水平合适吗?( )(填 “合适”或“不合适”) (2)西校区的四年级共有4个班,如果西校区要想和东校区打成平局,那么西校 … … … … ○ … … … … 线 … … … … ○ … … … … 订 … … … … ○ … … … … 装 … … … … ○ … … … … 内 … … … … ○ … … … …区的4班需要得( )分。 5.(本题3分)星华小学开展“最喜欢的校园吉祥物”评选活动的投票情况如 下图。 (1)此次评选活动共收到现场投票( )票。 (2)亮亮网络投票所选的“吉祥物”排在网络票数的第二,他选的是( ) 号。 (3)( )号吉祥物是全校同学“最喜欢的校园吉祥物”。 6.(本题6分)某工厂各车间男、女职工人数统计图,看统计图填空。(图中 纵轴加上从20至120的标线) (1)男职工人数最多的是( )车间,最少的是( )车间。 (2)人数最多的是( )车间,最少的是( )车间。 (3)平均每个车间有女职工( )人。 (4)平均每个车间有( )人。 7.(本题9分)王强和刘亮进行投篮比赛,每轮投球50个,投中个数统计图 如下。(1)上图是( )统计图,纵轴上每格代表( )个球。 (2)第一轮中王强投中( )个球,刘亮投中( )个球。 (3)王强在第( )轮投中的球数最多,刘亮在第( )轮投中的球数最 少。 (4)在第四轮投篮赛中,王强比刘亮多投中( )个球。 (5)在第( )轮投篮赛中王强和刘亮投中的个数最接近。 (6)王强平均每轮投中( )个球。 二、仔细推敲,判断正误。(对的画√,错的画×,每题2分,共10分) 8.(本题2分)平均数和平均分一样。( ) 9.(本题2分)复式条形统计图至少要画两种直条,为了区别可以用图例来表 示。( ) 10.(本题2分)甲、乙两队足球比赛的结果是4∶2,平均每个队进了3个球。( ) 11.(本题2分)纵向复式条形统计图比横向复式条形统计图表示的更明白。( ) 12.(本题2分)某小学排球队队员的平均身高是160厘米,有的队员身高可 能超过160厘米,有的队员身高可能不到160厘米。( ) 三、反复比较,合理选择。(将正确的选项填在括号内,每题2分,共10分) 13.(本题2分)某游泳池的公告栏写道:在7时、10时、13时、16时测得水 温分别是24.5℃、27℃、29℃、25.5℃,这一天白天平均水温的正确算式是( )。 A.(24.5+27+29+25.5)÷(7+10+13+16) B.(24.5+27+29+ 25.5)÷12 C.(24.5+27+29+25.5)÷4 D.(24.5+27+29+25.5)÷24 14.(本题2分)在“新希望杯”演讲比赛中,八位评委给贝贝的评分分别是96分、94分、88分、96分、92分、95分、89分、92分。如果去掉一个最高分 和一个最低分,贝贝的平均得分是( )分。 A.90 B.93 C.92 D.94 15.(本题2分)下图可能是在统计( )。 A.蛋糕店的草莓蛋糕和芒果蛋糕最近4天的销售情况 B.4个学生一次 跳绳比赛成绩情况 C.光明小学四年(2)班男女生本周每天的阅读量情况 D.优优和明明1 -4岁的身高情况 16.(本题2分)下图是某校四年级立定跳远成绩。规定超出1.72米的为优 秀,1.42米~1.72米的为良好。下列说法正确的是( )。 A.成绩优秀的女生比男生多会 B.成绩的良好的女生比男生多 C.成绩良好的一共有19人 D.以上说法都不对 17.(本题2分)下图是清风小学五(1)班三个小组的男女生人数情况统计 图,下面说法不正确的是( )。A.第一小组女生人数最多 B.第三小组男生人数最少 C.第三小组的女生比男生多 D.这三个小组的人数都相同 【第三部分】实践·应用(56分) 四、实践操作,探索创新。(共6分) 18.(本题6分)某花店四个月售出玫瑰和菊花的盆数如下表,根据表中数据 完成下面的复式条形统计图。 一月 二月 三月 四月 玫瑰 180 150 170 140 菊花 90 85 108 60 五、活学活用,解决问题。(共50分) 19.(本题8分)大剧院演艺大厅有1200个座位,小剧场有500个座位。某学 校一、二、三年级每个年级都有12个班,平均每班45人。如果这三个年级同 时去观看演出,演艺大厅能坐得下吗? 20.(本题8分)四年级同学踊跃参加“世界水日”“中国水周”海报绘画宣传活动,各班上交作品情况如下: 四年级上交作品统计表: 2023年4月 班级 一 二 三 四 五 合计 张数 25 19 20 27 29 (1)把表格填写完整。 (2)平均每班上交作品多少张? 21.(本题8分)根据统计表回答下面的问题。 幸福小学四(1)班第1组女生一分钟跳绳成绩统计表: 李 张 赵 姓名 王芳 李佳 张红 莉 乐 敏 成绩/次 109 117 149 123 95 127 幸福小学四(1)班第1组女生一分钟仰卧起坐成绩统计表: 王 赵 姓名 李莉 张乐 李佳 张红 芳 敏 成绩 49 43 39 44 45 38 次 ①幸福小学四(1)班第1组女生一分钟跳绳的平均成绩是( )次,一分 钟仰卧起坐的平均成绩是( )次。 ②根据体质健康标准,四年级女生一分钟跳绳的优秀等级是135次,一分钟仰 卧起坐的优秀等级是43次,请你分析幸福小学四(1)班第1组女生这两项成 绩的整体情况。 ③通过分析,你有什么建议或想法? 22.(本题8分)下图是梁山某小学四(1)班和四(2)班所有同学参加课外 活动小组的统计情况。(每人只允许选择一种课外活动)(1)四(2)班参加课外活动小组的共有( )人。 (2)四(1)班参加课外活动的平均每个小组有多少人? 23.(本题9分) (1)( )年级春季植树最多。 (2)4月份三个年级共植树( )棵。 (3)3月份平均每个年级植树多少棵? 24.(本题9分)下面是某小学四年级两个班订阅图书情况统计表。 故 卡通 科技 漫画 事 四(1)班 28 30 18 16 四(2)班 24 28 21 19(1)根据统计表完成上面的统计图。 (2)四(1)班订阅( )书最多,订阅( )书最少。 (3)四(2)班平均每种图书订阅多少本?