当前位置:首页>文档>专题03指对幂等函数值大小比较的深度剖析(练习)(原卷版)_2025年新高考资料_二轮复习_上好课2025年高考数学二轮复习讲练测(新高考通用)3379306

专题03指对幂等函数值大小比较的深度剖析(练习)(原卷版)_2025年新高考资料_二轮复习_上好课2025年高考数学二轮复习讲练测(新高考通用)3379306

  • 2026-04-14 15:59:54 2026-04-14 15:32:44

文档预览

专题03指对幂等函数值大小比较的深度剖析(练习)(原卷版)_2025年新高考资料_二轮复习_上好课2025年高考数学二轮复习讲练测(新高考通用)3379306
专题03指对幂等函数值大小比较的深度剖析(练习)(原卷版)_2025年新高考资料_二轮复习_上好课2025年高考数学二轮复习讲练测(新高考通用)3379306
专题03指对幂等函数值大小比较的深度剖析(练习)(原卷版)_2025年新高考资料_二轮复习_上好课2025年高考数学二轮复习讲练测(新高考通用)3379306
专题03指对幂等函数值大小比较的深度剖析(练习)(原卷版)_2025年新高考资料_二轮复习_上好课2025年高考数学二轮复习讲练测(新高考通用)3379306
专题03指对幂等函数值大小比较的深度剖析(练习)(原卷版)_2025年新高考资料_二轮复习_上好课2025年高考数学二轮复习讲练测(新高考通用)3379306
专题03指对幂等函数值大小比较的深度剖析(练习)(原卷版)_2025年新高考资料_二轮复习_上好课2025年高考数学二轮复习讲练测(新高考通用)3379306
专题03指对幂等函数值大小比较的深度剖析(练习)(原卷版)_2025年新高考资料_二轮复习_上好课2025年高考数学二轮复习讲练测(新高考通用)3379306
专题03指对幂等函数值大小比较的深度剖析(练习)(原卷版)_2025年新高考资料_二轮复习_上好课2025年高考数学二轮复习讲练测(新高考通用)3379306
专题03指对幂等函数值大小比较的深度剖析(练习)(原卷版)_2025年新高考资料_二轮复习_上好课2025年高考数学二轮复习讲练测(新高考通用)3379306
专题03指对幂等函数值大小比较的深度剖析(练习)(原卷版)_2025年新高考资料_二轮复习_上好课2025年高考数学二轮复习讲练测(新高考通用)3379306
专题03指对幂等函数值大小比较的深度剖析(练习)(原卷版)_2025年新高考资料_二轮复习_上好课2025年高考数学二轮复习讲练测(新高考通用)3379306

文档信息

文档格式
docx
文档大小
0.046 MB
文档页数
7 页
上传时间
2026-04-14 15:32:44

文档内容

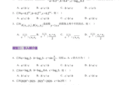
专题 03 指对幂等函数值大小比较的深度剖析 目录 01 模拟基础练......................................................................................................................................2 题型一:直接利用单调性....................................................................................................................2 题型二:引入媒介值............................................................................................................................2 题型三:含变量问题............................................................................................................................2 题型四:构造函数................................................................................................................................3 题型五:数形结合................................................................................................................................3 题型六:特殊值法、估算法................................................................................................................3 题型七:放缩法....................................................................................................................................4 题型八:同构法....................................................................................................................................5 重难点突破:泰勒展开、帕德逼近估算法........................................................................................5 02 重难创新练......................................................................................................................................6题型一:直接利用单调性 1.(2024·湖南长沙·模拟预测)设 ,则a,b,c的大小顺序为( ) a=0.30.4,b=0.40.3,c=log 0.3 0.4 A.ac>b B.c>a>b C.c>b>a D.a>b>c 3.已知 是函数 的图象上两个不同的点,则( ) A(x ,y ),B(x ,y ) y=lnx 1 1 2 2 A. y +y B. y 1 +y 2 x +x C. y +y D. y 1 +y 2 x +x e 1 2 2 >√x x e 2 > 1 2 e 1 2 2 <√x x e 2 < 1 2 1 2 2 1 2 2 题型二:引入媒介值 π 4.已知a=log 2,b=log 3,c=sin ,比较a,b,c的大小为( ) 5 4 6 A.a>b>c B.a>c>b C.b>c>a D.b>a>c 5.已知a=log 8,b=log 0.4,c=log 3,则( ) 4 0.6 2 A.b>a>c B.b>c>a C.c>a>b D.c>b>a 6.已知2020a=2021,2021b=2020,c=ln2则( ) A.log c>log c B.log a>log b a b c c C.acb>c B.c>b>a C.c=a>b D.b>a=c 题型三:含变量问题 8.(多选题)(2024·海南海口·模拟预测)已知x,y,z都为正数,且2x=3y=6z,则( )1 1 1 A.xy>4z2 B. + < C.x+ y>4z D.x+ y<5z x y z 9.(多选题)(2024·湖北·模拟预测)已知正实数a,b,c满足cbc>b B.b>c>a C.a>b>c D.c>a>b 2lne ln3 11.三个数a= ,b=ln√2,c= 的大小顺序为( ) e2 3 A.bb B.a< 4 √2 1 C.b> D.|a−b|< 2 2 1 1 1 4 14.(2024·高三·江苏苏州·期中)设a= 5 cos 5 ,b=sin 5 , c=e − 5,则a,b,c的大小关系为( ). A.bb>c B.b>a>c C.c>a>b D.a>c>b 16.(多选题)三角函数表最早可以追溯到古希腊天文学家托勒密的著作《天文学大成》中记录的“弦 表”,可以用来查询非特殊角的三角函数近似值,为天文学中很多复杂的运算提供了便利,有趣的是,很 多涉及三角函数值大小比较的问题却不一定要求出准确的三角函数值,就比如下面几个选项,其中正确的 是( ) 1 1 1 7 A.tan > B.cos > 2 2 2 8 1 ( 1)sin 1 2 C.sin1>2sin D. sin 2> 2 2 3 17.若都不为零的实数a,b满足a>b,则( ) 1 1 b a A. < B. + >2 C.ea−b>1 D.lna>lnb a b a b 18.已知a、b、c是正实数,且e2a−2ea+b+eb+c=0,则a、b、c的大小关系不可能为( ) A.a=b=c B.a>b>c C.b>c>a D.b>a>c 题型七:放缩法 19.(2024·湖北黄冈·二模)已知a,b,c,d分别满足下列关系: 17 3 16a=15,b=log 16,log c= ,d=tan ,则a,b,c,d的大小关系为( ) 17 15 16 2 16 A.aa>0 B.0>b>a C.a>0>b D.b>0>a ln7 22.(2024·全国·模拟预测)已知:a= ,b=2.8,c=e1.02,那么a,b,c三者的关系是( ) ln2 A.aπ−1 D. > 2 3 24.已知a=0.02,b=e−0.96,c=ln1.03,则a,b,c的大小关系是( ) A.b>a>c B.b>c>a C.c>a>b D.a>b>c 题型八:同构法 25.(2024·高三·浙江·开学考试)已知a>1,b>0,若√a+log a=b+log b,则( ) 2 2 A.a>2b B.a<2b C.a>b2 D.a3b 重难点突破:泰勒展开、帕德逼近估算法 27.(2024·全国·模拟预测)已知a=0.99,b=0.9999,c=sin9则( ) A.a>b>c B.b>a>c C.c>a>b D.b>c>a 1 28.已知a= ,b=ln1.01,c=e0.01−1,则( ) 1.01 A.ab>a B.b>c>a C.b>a>c D.c>a>b 3.已知a=log 0.3,b=log 0.2,c=log 3,则a,b,c的大小关系为( ) 0.2 0.3 2 A.ba>c B.b>c>a C.c>b>a D.c>a>b 1 (1) b (1) a 8. 若 < < <1,则( ) 3 3 3 A.aa0 a≠1 f (x)=ax+log x (1,2) a ( )A. B. C. D. a2+log 2<0 a2−log a<0 a4+log 2>0 a−log 2<0 a 2 a a 10.(多选题)下面比较大小正确的有( ) ln2 1 π A. > B.3ln4<4ln3 C. >lnπ D.3a B.a>b C.c>b D.b>a 2 12.(多选题)设a=e0.1−1,b=ln1.1,c= ,d=sin0.1,则( ) 21 A.b9 D.(m−1) 2+(n−1) 2>2 m n