当前位置:首页>文档>信息必刷卷04(新高考Ⅱ卷)参考答案_02高考数学_2025年新高考资料_2025考前信息卷_2025年高考数学考前信息必刷卷(新高考Ⅱ卷专用)3430954

信息必刷卷04(新高考Ⅱ卷)参考答案_02高考数学_2025年新高考资料_2025考前信息卷_2025年高考数学考前信息必刷卷(新高考Ⅱ卷专用)3430954

  • 2026-04-15 01:21:44 2026-04-15 01:11:57

文档预览

信息必刷卷04(新高考Ⅱ卷)参考答案_02高考数学_2025年新高考资料_2025考前信息卷_2025年高考数学考前信息必刷卷(新高考Ⅱ卷专用)3430954
信息必刷卷04(新高考Ⅱ卷)参考答案_02高考数学_2025年新高考资料_2025考前信息卷_2025年高考数学考前信息必刷卷(新高考Ⅱ卷专用)3430954
信息必刷卷04(新高考Ⅱ卷)参考答案_02高考数学_2025年新高考资料_2025考前信息卷_2025年高考数学考前信息必刷卷(新高考Ⅱ卷专用)3430954
信息必刷卷04(新高考Ⅱ卷)参考答案_02高考数学_2025年新高考资料_2025考前信息卷_2025年高考数学考前信息必刷卷(新高考Ⅱ卷专用)3430954
信息必刷卷04(新高考Ⅱ卷)参考答案_02高考数学_2025年新高考资料_2025考前信息卷_2025年高考数学考前信息必刷卷(新高考Ⅱ卷专用)3430954
信息必刷卷04(新高考Ⅱ卷)参考答案_02高考数学_2025年新高考资料_2025考前信息卷_2025年高考数学考前信息必刷卷(新高考Ⅱ卷专用)3430954
信息必刷卷04(新高考Ⅱ卷)参考答案_02高考数学_2025年新高考资料_2025考前信息卷_2025年高考数学考前信息必刷卷(新高考Ⅱ卷专用)3430954
信息必刷卷04(新高考Ⅱ卷)参考答案_02高考数学_2025年新高考资料_2025考前信息卷_2025年高考数学考前信息必刷卷(新高考Ⅱ卷专用)3430954
信息必刷卷04(新高考Ⅱ卷)参考答案_02高考数学_2025年新高考资料_2025考前信息卷_2025年高考数学考前信息必刷卷(新高考Ⅱ卷专用)3430954
信息必刷卷04(新高考Ⅱ卷)参考答案_02高考数学_2025年新高考资料_2025考前信息卷_2025年高考数学考前信息必刷卷(新高考Ⅱ卷专用)3430954

文档信息

文档格式
docx
文档大小
0.316 MB
文档页数
6 页
上传时间
2026-04-15 01:11:57

文档内容

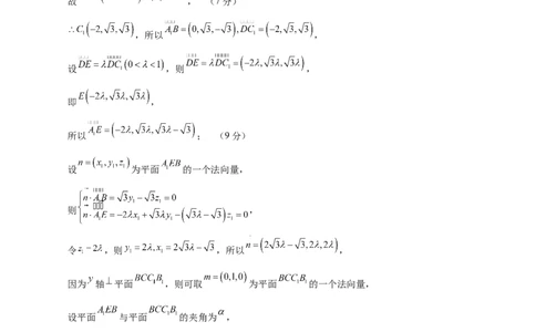
2025 年高考考前信息必刷卷 04(新高考Ⅱ卷) 数 学·参考答案 一、单项选择题:本题共8小题,每小题5分,共40分.在每小题给出的四个选项中,只有一项是符合题 目要求的. 1 2 3 4 5 6 7 8 A B D B A A C B 二、多项选择题:本题共3小题,每小题6分,共18分.在每小题给出的选项中,有多项符合题目要求, 全部选对的得6分,部分选对的得部分分,有选错的得0分. 9 10 11 BC BD ACD 三、填空题:本题共3小题,每小题5分,共15分. 12.6 13.3 14. 四、解答题:本题共5小题,共77分.解答应写出文字说明、证明过程或演算步骤. 15.(13分) 【解析】(1)函数 ,求导得 ,则 ,而 , 所以曲线 在点 处的切线方程为 ,即 . (5分) (2)函数 的定义域为 , , (8分) 当 时, ,当 时, , 因此函数 在 上单调递增,在 上单调递减, , (12分) 所以 的最大值为 ,无最小值. (13分) 16.(15分) 【解析】(1)将算盘的个位、十位、百位分别随机拨动一粒或两粒珠子至梁上, 因此各位上数字可以是1、2、5、6,三位数的个数是 , 要使得组成的三位数能被5整除,则只需个位数是5即可, 而这些数中个位数是5的数的个数为 ,所以事件 发生的概率 (3分) 要使得组成的三位数能被3整除, 则数字组合有 共8种, 因此满足条件的三位数有 个, 所以事件 发生的概率 . 故 . (7分) (2)记三位数除以 的余数为 ,则 的可能取值为 , (8分) 由(1)知 时数字组合有 共6种, 因此被 整除余1的三位数有 个,所以 , , (12分) X的概率分布列为: 0 1 2 数学期望 . (15分) 17.(15分) 【解析】(1)不妨设 , 因为 平面 平面 ,故 , 在 中, ,由余弦定理得 , 得 ,故 ,则 , (3分) 因为 平面 ,所以 平面 ,而 平面 ,所以平面 平面 ; (5分) (2)由(1)知, 两两垂直,如图所示,以 为坐标原点, 所在的直线分别为 轴建立空间直角坐标系,设 , 则 , 故 , (7分) ,所以 , 设 ,则 , 即 , 所以 ; (9分) 设 为平面 的一个法向量, 则 , 令 ,则 ,所以 , 因为 轴 平面 ,则可取 为平面 的一个法向量, 设平面 与平面 的夹角为 , 则 ,解得 ,故 , (13分) ,, 设 与平面 所成角为 , 则 . (15分) 18.(17分) 【解析】(1)设 ,而 ,则弦 的中点 ,又 , 于是 , ,由 ,得 ,即 , 所以曲线 的方程为 . (4分) (2)①由(1)知,曲线E: ,求导得 , 设 , , ,切线 的方程为: , 即 ,同理得切线 的方程为: , (6分)又两切线都过点 ,因此 ,则直线 的方程为 , 由 消 得: ,则 ,则 , 于是 , , 所以 . (9分) ②由①知,直线 恒过抛物线的焦点 , , 由抛物线定义得: , , (13分) 因此 的面积 , 当且仅当 时取等号, 所以 面积的最小值为4. (17分) 19.(17分) 【解析】(1)由题意得 , . (4分) (2)由题意,当 时, ; 当 时,, 故 . (9分) (3)由 , ,可得 , 即得 , 则 , 则有: (*). , 由(*)可得: . (13分) 因 时, ,由已知不等式可得: , 故得 , 即 得证. (17分)