当前位置:首页>文档>六上数学《分数除法》计算突破专练20页_六上数学25秋

六上数学《分数除法》计算突破专练20页_六上数学25秋

  • 2026-04-10 07:40:50 2026-01-29 12:55:00

文档预览

六上数学《分数除法》计算突破专练20页_六上数学25秋
六上数学《分数除法》计算突破专练20页_六上数学25秋
六上数学《分数除法》计算突破专练20页_六上数学25秋
六上数学《分数除法》计算突破专练20页_六上数学25秋
六上数学《分数除法》计算突破专练20页_六上数学25秋
六上数学《分数除法》计算突破专练20页_六上数学25秋
六上数学《分数除法》计算突破专练20页_六上数学25秋
六上数学《分数除法》计算突破专练20页_六上数学25秋
六上数学《分数除法》计算突破专练20页_六上数学25秋
六上数学《分数除法》计算突破专练20页_六上数学25秋
六上数学《分数除法》计算突破专练20页_六上数学25秋
六上数学《分数除法》计算突破专练20页_六上数学25秋
六上数学《分数除法》计算突破专练20页_六上数学25秋
六上数学《分数除法》计算突破专练20页_六上数学25秋
六上数学《分数除法》计算突破专练20页_六上数学25秋
六上数学《分数除法》计算突破专练20页_六上数学25秋
六上数学《分数除法》计算突破专练20页_六上数学25秋
六上数学《分数除法》计算突破专练20页_六上数学25秋
六上数学《分数除法》计算突破专练20页_六上数学25秋
六上数学《分数除法》计算突破专练20页_六上数学25秋
六上数学《分数除法》计算突破专练20页_六上数学25秋
六上数学《分数除法》计算突破专练20页_六上数学25秋
六上数学《分数除法》计算突破专练20页_六上数学25秋
六上数学《分数除法》计算突破专练20页_六上数学25秋

文档信息

文档格式
pdf
文档大小
5.920 MB
文档页数
20 页
上传时间
2026-01-29 12:55:00

文档内容

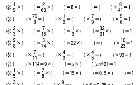
《分数除法》 口算图解法 1.求 一个数的倒数(0除外),就 是用 1 除 以这个 ; 商 数 所得的 求 2. 求一 个分数 的倒数时,只 要调换这 个分数分子、 个数 一 的倒数 ; 分 母 的 位 置 即 可 3.求一个带分数 的倒数 时,要先 把带 分 数化成 假 分数,再调 换这 个假分数分子、分母的位置。 1 3 4 1 7 2 : 举例 1 12 = 的 倒 数 是 ; 3 的 倒 数 是 ÷ 二 1 2 4 3 2 2 7 : 计 算一个分数 除 以 一个整 举例 0 分数除以整数 数( 除外 )时 , 就 用这 个分 分 数去 乘这个整数的倒数。 数 除 : 举例 1. 计 算 一 个 整 数 除 以 一 个 法 分数时,就 用 这 个 整 数 去 ; 个数除 乘这 个 分数的倒数 一 以 分数 2.计 算一 个分数 除 以 另 一 个 分 数 时,就 用这 个分 数 去 乘 另 一 个分数 的倒数。 1.只含有同级运算时,按从左 往右的顺序依次计算; 2.含有两 级 运算 时 ,先 算 第二级 运算 (乘、除法), 分数 混合 运算 再 算 第一级 运 算( 加、减法 ); 3.含有括 号 的 混合运 算 时 ,先 算小括 号 里 面 的, 再算中 括号 里 面 的, 最 后 算中 括号 外面 的。 8 8 3 13 I 1 3 2 1 1 4 : 举例 ( ) = + 十 × 1 ÷ + = 二 5 5 5 5 4 2 2 3 4 4 3 . 6 3 1 1 5 4 2 更多资料加994030更多资料加994030更多资料加994030更多资料加994030更多资料加994030更多资料加994030更多资料加994030更多资料加994030更多资料加994030更多资料加994030更多资料加994030更多资料加994030更多资料加994030更多资料加994030更多资料加994030更多资料加994030更多资料加994030更多资料加994030更多资料加994030更多资料加994030