当前位置:首页>文档>2025年中考数学几何模型综合训练(通用版)专题29解直角三角形模型之新定义模型解读与提分精练(学生版)_02中考总复习(2026版更新中)_02-数学-中考总复习_2025中考复习资料

2025年中考数学几何模型综合训练(通用版)专题29解直角三角形模型之新定义模型解读与提分精练(学生版)_02中考总复习(2026版更新中)_02-数学-中考总复习_2025中考复习资料

  • 2026-03-01 09:38:20 2026-03-01 08:59:41

文档预览

2025年中考数学几何模型综合训练(通用版)专题29解直角三角形模型之新定义模型解读与提分精练(学生版)_02中考总复习(2026版更新中)_02-数学-中考总复习_2025中考复习资料
2025年中考数学几何模型综合训练(通用版)专题29解直角三角形模型之新定义模型解读与提分精练(学生版)_02中考总复习(2026版更新中)_02-数学-中考总复习_2025中考复习资料
2025年中考数学几何模型综合训练(通用版)专题29解直角三角形模型之新定义模型解读与提分精练(学生版)_02中考总复习(2026版更新中)_02-数学-中考总复习_2025中考复习资料
2025年中考数学几何模型综合训练(通用版)专题29解直角三角形模型之新定义模型解读与提分精练(学生版)_02中考总复习(2026版更新中)_02-数学-中考总复习_2025中考复习资料
2025年中考数学几何模型综合训练(通用版)专题29解直角三角形模型之新定义模型解读与提分精练(学生版)_02中考总复习(2026版更新中)_02-数学-中考总复习_2025中考复习资料
2025年中考数学几何模型综合训练(通用版)专题29解直角三角形模型之新定义模型解读与提分精练(学生版)_02中考总复习(2026版更新中)_02-数学-中考总复习_2025中考复习资料
2025年中考数学几何模型综合训练(通用版)专题29解直角三角形模型之新定义模型解读与提分精练(学生版)_02中考总复习(2026版更新中)_02-数学-中考总复习_2025中考复习资料
2025年中考数学几何模型综合训练(通用版)专题29解直角三角形模型之新定义模型解读与提分精练(学生版)_02中考总复习(2026版更新中)_02-数学-中考总复习_2025中考复习资料
2025年中考数学几何模型综合训练(通用版)专题29解直角三角形模型之新定义模型解读与提分精练(学生版)_02中考总复习(2026版更新中)_02-数学-中考总复习_2025中考复习资料
2025年中考数学几何模型综合训练(通用版)专题29解直角三角形模型之新定义模型解读与提分精练(学生版)_02中考总复习(2026版更新中)_02-数学-中考总复习_2025中考复习资料
2025年中考数学几何模型综合训练(通用版)专题29解直角三角形模型之新定义模型解读与提分精练(学生版)_02中考总复习(2026版更新中)_02-数学-中考总复习_2025中考复习资料
2025年中考数学几何模型综合训练(通用版)专题29解直角三角形模型之新定义模型解读与提分精练(学生版)_02中考总复习(2026版更新中)_02-数学-中考总复习_2025中考复习资料
2025年中考数学几何模型综合训练(通用版)专题29解直角三角形模型之新定义模型解读与提分精练(学生版)_02中考总复习(2026版更新中)_02-数学-中考总复习_2025中考复习资料
2025年中考数学几何模型综合训练(通用版)专题29解直角三角形模型之新定义模型解读与提分精练(学生版)_02中考总复习(2026版更新中)_02-数学-中考总复习_2025中考复习资料
2025年中考数学几何模型综合训练(通用版)专题29解直角三角形模型之新定义模型解读与提分精练(学生版)_02中考总复习(2026版更新中)_02-数学-中考总复习_2025中考复习资料
2025年中考数学几何模型综合训练(通用版)专题29解直角三角形模型之新定义模型解读与提分精练(学生版)_02中考总复习(2026版更新中)_02-数学-中考总复习_2025中考复习资料
2025年中考数学几何模型综合训练(通用版)专题29解直角三角形模型之新定义模型解读与提分精练(学生版)_02中考总复习(2026版更新中)_02-数学-中考总复习_2025中考复习资料
2025年中考数学几何模型综合训练(通用版)专题29解直角三角形模型之新定义模型解读与提分精练(学生版)_02中考总复习(2026版更新中)_02-数学-中考总复习_2025中考复习资料
2025年中考数学几何模型综合训练(通用版)专题29解直角三角形模型之新定义模型解读与提分精练(学生版)_02中考总复习(2026版更新中)_02-数学-中考总复习_2025中考复习资料
2025年中考数学几何模型综合训练(通用版)专题29解直角三角形模型之新定义模型解读与提分精练(学生版)_02中考总复习(2026版更新中)_02-数学-中考总复习_2025中考复习资料
2025年中考数学几何模型综合训练(通用版)专题29解直角三角形模型之新定义模型解读与提分精练(学生版)_02中考总复习(2026版更新中)_02-数学-中考总复习_2025中考复习资料

文档信息

文档格式
docx
文档大小
1.444 MB
文档页数
21 页
上传时间
2026-03-01 08:59:41

文档内容

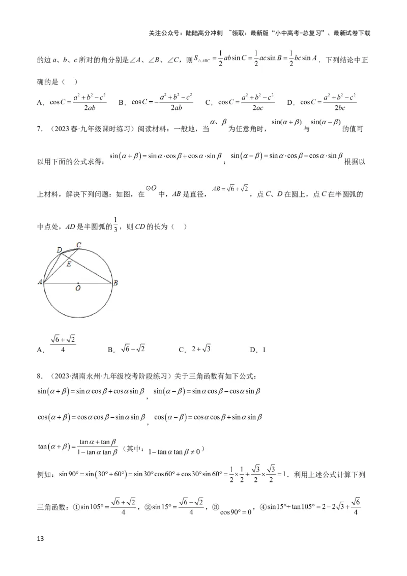
关注公众号:陆陆高分冲刺 ~领取:最新版“小中高考-总复习”、最新试卷下载 专题29 解直角三角形模型之新定义模型 解直角三角形的新定义模型,是体现选拔功能的试题中对初高中知识衔接的考查。高中数学为这类试 题的命制提供了广阔的空间背景,命题者将高中数学的一些概念、定理、法则、公式等初中化(用初中数 学知识内容包装、初中试题命制技术设置)处理,命制出具有高中数学背景味道的试题。这类试题往往对 学生思维能力和创新能力要求较高,能有效检验学生是否具备进入高中学习的潜能,所以平时教学挖掘这 方面解题技能及功效尤为重要。恰当地构建模型可以拓宽解题思路,优化解题过程,丰富解题内涵。 .........................................................................................................................................................................................1 模型1.新定义模型...........................................................................................................................................1 ..................................................................................................................................................17 模型1.新定义模型 新定义模型主要包含高中数学中的三角函数和解三角形的相关公式定理(如:正弦定理、余弦定理、 面积公式、同角三角函数基本关系、和、差、二倍角公式等),而这些大部分定理(公式)也可利用 初中数学知识证明。 若无特殊说明,一般认为△ABC的3个角∠A、∠B、∠C,分别对应边a、b、c; 1关注公众号:陆陆高分冲刺 ~领取:最新版“小中高考-总复习”、最新试卷下载 图1 图2 图3 a b c = = =2R sinA sinB sinC 1)正弦定理:如图1, (其中R是三角形外接圆的半径)。 证明:作△ABC的外接圆,记圆心为O,作直径 ,连接 ,如图2, 则 , ,∴ ,∴ , 同理, , ,∴ ; 1 1 1 S = absinC= bcsinA= acsinB Δ 2 2 2 2)正弦面积公式:如图1, . 证明:如图3,过点A作AD⊥BC,垂足为D, 在 中, ,∴ ,∴ , 在 中, ,∴ .∴ . 同理可得 .因此有 . 3 ) 余 弦 定 理 : 如 图 2 , . 证明:如图3,在 中, , , 的对边分别是 , , 过点A作 于点 , 则 ,即 ,于是 . 在 中, ,在 中, , 2关注公众号:陆陆高分冲刺 ~领取:最新版“小中高考-总复习”、最新试卷下载 ,整理得 。 同理: ; 。 图4 图5 4)同角三角函数的基本关系式: , 。 证明:如图4,设∠A= ,∵在Rt ABC中,∠C=90°,∴a2+b2=c2。 △ 又∵ , ,∴ ; 。 5)和(差)、二倍角角公式(只作部分公式证明): ; (已证). ; . (已证). 证明:如图4,在 中,在Rt ABC中,∠C=90°,设∠A= 。 △ 如图5,取 的中点 ,连接 ,即: ,过点 作 于点 ,则 , 利用锐角三角函数在 中表示 , 。 ∵ (等面积),即 ; 在 中, ,则 。 3关注公众号:陆陆高分冲刺 ~领取:最新版“小中高考-总复习”、最新试卷下载 例1.(2024·山西大同·三模)阅读与思考 阅读下列材料,并解决后面的问题. 在锐角 中, , , 的对边分别是a,b,c,过C作 于E(如图1),则 , ,即 , ,于是 ,即 .同理有 , ,所以 .即:在一个锐角三角形中,各边和它所对角的正弦 的比相等. 运用上述结论和有关定理,在锐角三角形中,已知三个元素(至少有一条边),就可以求出其余三个未知 元素.根据上述材料,完成下列各题:(1)如图1,在 中, , , ,则 ______; (2)如图2,一艘轮船位于灯塔P的南偏东 方向,距离灯塔50海里的A处,它沿正北方向航行一段时间 后,到达位于灯塔北偏东 方向上的B处,此时B处与灯塔的距离为______海里;(结果保留根号) (3)在(2)的条件下,试求 的正弦值.(结果保留根号) 例2.(2024·湖南衡阳·模拟预测)【材料阅读】如图1,在△ABC中,设 的对边分别为a, b,c,过点A作 ,垂足为D,会有 ,则 = ,即 ,同理 , .有以上三式可得: 4关注公众号:陆陆高分冲刺 ~领取:最新版“小中高考-总复习”、最新试卷下载 正弦定理: ,通过推理还可以得到另一个表达三角形边角关系的定理-余弦定理 如图2,在 中,设 的对边分别为a,b,c,则① ② ③ 用以上的公式和定理解决问题: 【简单应用】(1)在锐角 中,设 的对边分别为a,b,c,且 ,求 ; (2)如图3,在 中, , ,求 的面积与周长. 【灵活应用】(3)如图4,在 中,角 所对的边分别为 ,已知 , 的面积 为 ,设 为 的中点,且 ,求 的周长.(参考数据: ) 例3.(2024·广东·二模)问题提出:已知任意三角形的两边及夹角,求三角形的面积. 问题探究:为了解决上述问题,我们先由特殊到一般来进行探究. 探究一:如图1,在 中, , , , ,求 的面积. 在 中, , . . 探究二:如图2, 中, , , ,求 的面积(用含 、 、 代数式 表示),写出探究过程. 探究三:如图3, 中, , , ,求 的面积(用 、 、 表示)写出探 究过程. 问题解决:已知任意三角形的两边及夹角,求三角形的面积方法是:___________(用文字叙述). 问题应用:如图4,已知平行四边形 中, , , ,求平行四边形 的面积 (用 、 、 表示)写出解题过程. 问题拓广:如图5所示,利用你所探究的结论直接写出任意四边形的面积(用 、 、 、 、 、 表 示),其中 , , , , , . 5关注公众号:陆陆高分冲刺 ~领取:最新版“小中高考-总复习”、最新试卷下载 例4.(2023·云南昆明·二模)【问题引入】古希腊几何学家海伦和我国南宋数学家秦九韶都曾提出利用三 角形的三边求面积的公式,称为海伦-秦九韶公式,如果一个三角形的三边长分别是 ,记 ,那么三角形的面积为: ,在 中, , , 所对的 边长分别为 ,若 , , ,则 的面积为6; 【问题探索】如图一,在 中,设 , , , , 是 的内切圆, 分别与 的延长线、 的延长线以及线段 均只有一个公共点, 的半径为 , 的半径为 . 6关注公众号:陆陆高分冲刺 ~领取:最新版“小中高考-总复习”、最新试卷下载 (1)分析与证明:如图二,连接 ,则 被划分为三个小三角形,用 表示 的面积, 即 .那么 是否成立?请证明你的结论. (2)理解与应用:当 , , 时,求 的面积. 例5.(2024·山东济宁·一模)关于三角函数有如下的公式: ①cos(α+β)=cosαcosβ﹣sinαsinβ;②sin(α+β)=sinαcosβ+cosαsinβ; ③tan(α+β)= . 利用这些公式可以将一些不是特殊角的三角函数转化为特殊角的三角函数来求值,如tan105°=tan(45° +60°)= = = = = . 根据上面的知识,你可以选择适当的公式解决下面的实际问题: (1)求cos75°的值;(2)如图,直升机在一建筑物CD上方的点A处测得建筑物顶端点D的俯角α为 60°,底端点C的俯角β为75°,此时直升机与建筑物CD的水平距离BC为42m,求建筑物CD的高. 例6.(2024·重庆·校考一模)材料一:证明: . 证明:如图,作∠BAC=∠a,在射线AC上任意取一点D(异于点A),过点D作DE⊥AB,垂足为E. 7关注公众号:陆陆高分冲刺 ~领取:最新版“小中高考-总复习”、最新试卷下载 ∵DE⊥AB于点E , ∵在Rt ADE中,DE2+AE2=AD2 △ ∵∠BAC=∠a ∴ . 材料二:学习了三角函数之后,我们知道,在直角三角形中,知道了一个直角三角形的两条边的长或知道 直角三角形的一条边的长及其一个锐角的度数,我们可以求出这个直角三角形其它边的长度和其它角的度 数;由“SAS”定理可知,如果一个三角形的两条边的长度及其这两条边的夹角的度数知道了,那么这个三 角形的第三条边一定可以求出来. 应用以上材料,完成下列问题:(1)如图,在△ABC中,AC=4,BC=6,∠C=60°,求AB的长. (2)在(1)题图中,如果AC=b,BC=a,∠C=a,你能用a,b和cosa表示AB的长度吗?如果可以,写出 推导过程;如果不可以,说明理由. 例7.(23-24九年级上·江苏苏州·期中)通过学习三角函数,我们知道在直角三角形中,一个锐角的大小 与两条边长的比值相互唯一确定,因此边长与角的大小之间可以相互转化.类似的,可以在等腰三角形中 建立边角之间的联系.我们定义:等腰三角形中底边与腰的比叫做顶角的正对( ). 如图①:在 中, ,顶角 的正对记作 ,这时 .容易知道一个角的大 小与这个角的正对值也是相互唯一确定的.根据上述角的正对定义,解下列问题: 8关注公众号:陆陆高分冲刺 ~领取:最新版“小中高考-总复习”、最新试卷下载 (1) ;(2)对于 , 的正对值 的取值范围是 ; (3)如图②,已知 ,其中 为锐角,试求 的值. 例8.(23-24九年级下·四川达州·期中)在学习完锐角三角函数后,老师提出一个这样的问题:如图1, 在 中, ,求 (用含 的式子表示). 聪明的小雯同学是这样考虑的:如图2,取 的中点 ,连接 ,过点 作 于点 ,则 ,然后利用锐角三角函数在 中表示出 ,在 中表示出 ,则可以求 出 . 阅读以上内容,回答下列问题:在 中, . (1)如图③ ,若 ,则 __, _____;. (2)请你参考阅读材料中的推导思路,求出 的表达式.(用含 的式子表示) 例9.(2024·宁夏银川·二模)阅读、理解、应用 研究 间的角的三角函数,在初中我们学习过锐角的正弦余弦和正切三种三角函数,即在图 所示 9关注公众号:陆陆高分冲刺 ~领取:最新版“小中高考-总复习”、最新试卷下载 的直角三角形 , 是锐角,那么 , , .为了 研究需要,我们再从另一个角度来规定一个角的三角函数的意义: 设有一个角α,我们以它的顶点作为原点,以它的始边作为 轴的正半轴 ,建立直角坐标系(图 ), 在角α的终边 上任取一点 ,它的横坐标是 ,纵坐标是 ,终边 可以看作是将射线 绕点 逆 时针旋转 后所得到的, 和原点O(0,0)的距离为 ( 总是正的)然后把角α的三角函数规定 为: , , (其中 , 分别是点 的横、纵坐标)我们知道,图 的三个比值 的大小与角 的大小有关,而与直角三角形的大小无关,同样图 中四个比值的大小也仅与角α的大小有 关,三个比值的正、负取决于角α的终边所在的象限,而与点 在角α的终边位置无关. 比较图 与图 ,可以看出一个角的三角函数的意义的两种规定实际上是一样的,根据第二种定义回答下列 问题.(1)如图3,若 ,则角α的三角函数值 α、 α、 α,其中取正值的是 . (2)已知 α是钝角,则下列说法正确的是 . . . . α . α>0 (3)若角α的终边与直线 重合,则 α α . (4)若角α是锐角,其终边上一点 且 ,试求 和 α的值. 10关注公众号:陆陆高分冲刺 ~领取:最新版“小中高考-总复习”、最新试卷下载 1.(2023·四川巴中·模拟预测)规定: , 则下列结论正确的是( ) A. B. C. D. 2.(22-23九年级下·浙江杭州·阶段练习)如图,在 中, ,定义:斜边与 的对边的比 叫做 的余割,用“ ”表示.如设该直角三角形的三边分别为a,b,c,则 ,那么下列说 法正确的是( ) A. B. C. D. 3.(23-24九年级·福建龙岩·自主招生)已知有公式: 且 ,则锐角θ的值为( ) A. B. C. D. 11关注公众号:陆陆高分冲刺 ~领取:最新版“小中高考-总复习”、最新试卷下载 4.(2024·广东深圳·模拟预测)阅读材料:坐标平面内,把点 绕原点 逆时针旋转 度,得到点 ,若已知 点坐标及 的大小,我们可根据公式 来计算点 的坐标.根据 材料完成:如图, , , 是 上的三点且 ,若 点坐标为 ,则 点坐标为 ( ) A. B. C. D. 5.(2023秋·广东东莞·九年级校考阶段练习)阅读材料:余弦定理是描述三角形中三边长度与一个角余弦 值关系的数学定理,运用它可以解决一类已知三角形两边及夹角求第三边或者已知三边求角的问题.余弦 定理是这样描述的:在 中, 、 、 所对的边分别为a、b、c,则三角形中任意一边的平方 等于另外两边的平方和减去这两边及这两边的夹角的余弦值的乘积的2倍.用公式可描述为: ; ; ;现已知在 中, , , ,则 的长为( ) A. B. C. D. 6.(2023年湖南省娄底市中考数学真题)我国南宋著名数学家秦九韶在他的著作《数学九章》一书中, 给出了这样的一个结论:三边分别为a、b、c的 的面积为 . 12关注公众号:陆陆高分冲刺 ~领取:最新版“小中高考-总复习”、最新试卷下载 的边a、b、c所对的角分别是∠A、∠B、∠C,则 .下列结论中正 确的是( ) A. B. C. D. 7.(2023春·九年级课时练习)阅读材料:一般地,当 为任意角时, 与 的值可 以用下面的公式求得: : 根据以 上材料,解决下列问题:如图,在 中,AB是直径, ,点C、D在圆上,点C在半圆弧的 中点处,AD是半圆弧的 ,则CD的长为( ) A. B. C. D.1 8.(2023·湖南永州·九年级校考阶段练习)关于三角函数有如下公式: , , (其中: ) 例如: .利用上述公式计算下列 三角函数:① ,② ,③ ,④ 13关注公众号:陆陆高分冲刺 ~领取:最新版“小中高考-总复习”、最新试卷下载 其中正确的个数为( ) A.1 B.2 C.3 D.4 9.(2023·湖南·统考一模)已知 , (其中 和 都表示角度), 比如求 ,可利用公式得 ,又如求 ,可利用公式得 ,请你结合材料,若 ( 为锐角),则 的度 数是 . 10.(23-24九年级·浙江杭州·期中)如图, 是 的角平分线, 、 分别是边 , 上的点, 与 交于点 ,若 , , , ,则 .(提示三角形面积公式: .) 11.(2024·山东临沂·校考一模)规定:sin(﹣x)=﹣sinx,cos(﹣x)=cosx,cos(x+y)=cosxcosy﹣sinxsiny, 给出以下四个结论:(1)sin(﹣30°) ;(2)cos2x=cos2x﹣sin2x;(3)cos(x﹣y)=cosxcosy+sinxsiny; (4)cos15° .其中正确的结论的个数为 . 12.(2024·山东济南·统考模拟预测)通过学习三角函数,我们知道在直角三角形中,一个锐角的大小与 两条边长的比值相互唯一确定,因此边长与角的大小之间可以相互转化.类似的,可以在等腰三角形中建 立边角之间的联系.我们定义:等腰三角形中底边与腰的比叫做顶角的正对( ).如果 中, 14关注公众号:陆陆高分冲刺 ~领取:最新版“小中高考-总复习”、最新试卷下载 ,那么顶角A的正对记作 ,这时 = .容易知道一个角的大小与这个角的正对 值也是相互唯一确定的.根据上述角的正对定义,填空:如果 的正弦函数值为 ,那么 的值为 ___________. 13.(23-24九年级上·吉林白城·阶段练习)《梦溪笔谈》是我国古代科技著作,其中它记录了计算圆弧长 度的“会圆术”.如图, 是以点O为圆心、OA为半径的圆弧,N是 的中点. .“会圆 术”给出 的弧长l的近似值计算公式: .当 , 时,利用“会圆术”给 出的公式计算 的弧长l的值为 . 14.(23-24九年级·福建泉州·阶段练习)如果已知两个角的正弦值和余弦值,我们可以利用和的正弦公式 来求已知两角的正弦值,其公式为:sin( + )= sin cos + cos sin ,请利用这个公式,解决下列问 题:(1)计算sin75°的值;(2)利用公式证明:sin2 =2 sin cos ;并在已知sin = 的条件下,求sin2 的 值. 15.(23-24九年级·湖南怀化·期末)阅读材料:在 中, , ,求 的值. 解题思路:在 上截取 ,再连接AD,可证 为等腰三角形,设 ,则 15关注公众号:陆陆高分冲刺 ~领取:最新版“小中高考-总复习”、最新试卷下载 ,.......,则 , . 16.(2023春·山东济宁·九年级校考阶段练习)定义:在△ABC中,若AB=c,AC=b,BC=a,则存在余 弦定理: , , ,即三角形一边的平方等 于另两边的平方和减去这两边与这两边夹角的余弦的积的2倍. 例如:在图1中, ,∴AC= 请你利用余弦定理解答下列问题:(1)应用新知:在图2中,①若a=2,b=3,∠C=60°,则c=______; ②若 , , ,求∠A; (2)迁移发散:如图3,某客轮在A处看港口D在客轮的北偏东50°方向上,在A处看灯塔B在客轮的北偏 西30°方向距离 海里处,客轮由A处向正北方向航行到C处时,再看港口D在客轮的南偏东80°距离6 海里处,求此时C处到灯塔B的距离. 17.(2023秋·江苏常州·九年级统考期末)关于三角函数有如下的公式: ; ; ,利用这些公式可将某些不是特殊角的三角函 数转化为特殊角的三角函数来求值 16关注公众号:陆陆高分冲刺 ~领取:最新版“小中高考-总复习”、最新试卷下载 如: 根据上面的知识,你可以选择适当的公式解决下面的实际问题: (1)求 的值;(2)激光测速是目前道路测速方法中最为精准的一种,它是对被测车辆进行两次有特定时 间间隔的激光测距,取得该一时段内被测车辆的移动距离,从而得到该车辆的移动速度.如图,在一条限 速为80千米/小时的国道边上有一个激光测速仪P,该测速仪与车道中心的垂直距离 米,在某一时刻 测得某辆汽车从点A到点B的时间间隔为0.5秒,而第一次的点A在点P的北偏东75°,第二次的B点在点 P的北偏东45°,请问该汽车是否超速?为什么?( 1.732) 18.(2023·福建厦门·统考模拟预测)阅读理解:如图,Rt 中, , , 分别是 , , 的对边, ,其外接圆半径为 根据锐角三角函数的定义: , ,可得 ,即: ,(规定 ). 探究活动:如图,在锐角 中, , , 分别是 , , 的对边,其外接圆半径为 ,试证 明: . 学以致用:如图,在某次数学活动中,小凤同学测量一古塔 的高度,在 处用测角仪测得塔顶 的仰 角为15°,又沿古塔的方向前行了 到达 处,此时 , , 三点在一条直线上,在 处测得塔顶 的仰角为45°,求古塔 的高度(结果保留小数点后一位).( , ) 17关注公众号:陆陆高分冲刺 ~领取:最新版“小中高考-总复习”、最新试卷下载 19.(23-24九年级·江苏南京·自主招生)(1)如图,已知三角形 , , . ① , _______② , _______(2)正弦定理证明_ ; (3)在 中, ① _______ ;②当 时, 的最大值为_______. 20.(23-24九年级·安徽亳州·期末)如图,在△ABC中,∠C=90°,a,b,c分别∠A,∠B,∠C的对边. (1)求 的值;(2)填空:当 为锐角时, ______; (3)利用上述规律,求下列式子的值: . 18关注公众号:陆陆高分冲刺 ~领取:最新版“小中高考-总复习”、最新试卷下载 21.(23-24九年级上·山西·阶段练习)阅读与思考 请阅读下列材料,并完成相应的任务. 巧用锐角三角函数的定义解题 锐角的正弦、余弦、正切统称为锐角三角函数,锐角三角函数是解直角三角形的基础.如图,在 中, ,则 .利用锐角三角函数的定义解题,可以使计算方便简 洁.下面举例说明:在 中, ,求 的值.下面是小明的部分解答 过程: 解:设 的对边为a,斜边为c,邻边为b, , 任务:(1)请完成剩余部分的解题过程. (2)在 中, 的对边分别为a,b,c.求证: . 22.(2024·浙江金华·二模)【兴趣引发】万佛塔是老金华城地标性建筑,始建于北宋嘉佑七年(1062) 至治平元年(1064)之间,学完三角函数知识后,某校数学小组的同学决定利用所学知识测量万佛塔的高 度. 【查阅资料】为了得到非特殊角的三角函数的准确值,同学们提前做了功课,得到两角和的正切值公式: ,利用公式可以将一些不是特殊角的三角函数转化为特殊角的三角函数来求值, 19关注公众号:陆陆高分冲刺 ~领取:最新版“小中高考-总复习”、最新试卷下载 如 . 【学以致用】根据上面的知识,解决下面的实际问题:如图,在另一建筑物楼顶D处用测角仪测得塔顶A 的仰角为 ,塔底B的俯角为 ,测得万佛塔与这一建筑之间的距离 为 . (1)求 的值.(2)根据测量结果,求万佛塔 的高度.(结果保留根号) (3)通过查阅资料得知,万佛塔的实际高度是 ,请利用 根据本次测量结果求出万佛塔 的近似值,再计算本次测量结果的误差,并提出一条减少误差的合理化建议. 20关注公众号:陆陆高分冲刺 ~领取:最新版“小中高考-总复习”、最新试卷下载 21
基本 文件 流程 错误 SQL 调试
  1. 请求信息 : 2026-03-01 10:01:54 HTTP/1.1 GET : https://www.yeyulingfeng.com/wendang/330023.html
  2. 运行时间 : 0.080634s [ 吞吐率:12.40req/s ] 内存消耗:6,170.95kb 文件加载:144
  3. 缓存信息 : 0 reads,0 writes
  4. 会话信息 : SESSION_ID=3b773542c2d7d371355750a955cfc6b2
  1. /yingpanguazai/ssd/ssd1/www/wwww.yeyulingfeng.com/public/index.php ( 0.79 KB )
  2. /yingpanguazai/ssd/ssd1/www/wwww.yeyulingfeng.com/vendor/autoload.php ( 0.17 KB )
  3. /yingpanguazai/ssd/ssd1/www/wwww.yeyulingfeng.com/vendor/composer/autoload_real.php ( 2.49 KB )
  4. /yingpanguazai/ssd/ssd1/www/wwww.yeyulingfeng.com/vendor/composer/platform_check.php ( 0.90 KB )
  5. /yingpanguazai/ssd/ssd1/www/wwww.yeyulingfeng.com/vendor/composer/ClassLoader.php ( 14.03 KB )
  6. /yingpanguazai/ssd/ssd1/www/wwww.yeyulingfeng.com/vendor/composer/autoload_static.php ( 6.05 KB )
  7. /yingpanguazai/ssd/ssd1/www/wwww.yeyulingfeng.com/vendor/topthink/think-helper/src/helper.php ( 8.34 KB )
  8. /yingpanguazai/ssd/ssd1/www/wwww.yeyulingfeng.com/vendor/topthink/think-validate/src/helper.php ( 2.19 KB )
  9. /yingpanguazai/ssd/ssd1/www/wwww.yeyulingfeng.com/vendor/ralouphie/getallheaders/src/getallheaders.php ( 1.60 KB )
  10. /yingpanguazai/ssd/ssd1/www/wwww.yeyulingfeng.com/vendor/topthink/think-orm/src/helper.php ( 1.47 KB )
  11. /yingpanguazai/ssd/ssd1/www/wwww.yeyulingfeng.com/vendor/topthink/think-orm/stubs/load_stubs.php ( 0.16 KB )
  12. /yingpanguazai/ssd/ssd1/www/wwww.yeyulingfeng.com/vendor/topthink/framework/src/think/Exception.php ( 1.69 KB )
  13. /yingpanguazai/ssd/ssd1/www/wwww.yeyulingfeng.com/vendor/topthink/think-container/src/Facade.php ( 2.71 KB )
  14. /yingpanguazai/ssd/ssd1/www/wwww.yeyulingfeng.com/vendor/symfony/deprecation-contracts/function.php ( 0.99 KB )
  15. /yingpanguazai/ssd/ssd1/www/wwww.yeyulingfeng.com/vendor/symfony/polyfill-mbstring/bootstrap.php ( 8.26 KB )
  16. /yingpanguazai/ssd/ssd1/www/wwww.yeyulingfeng.com/vendor/symfony/polyfill-mbstring/bootstrap80.php ( 9.78 KB )
  17. /yingpanguazai/ssd/ssd1/www/wwww.yeyulingfeng.com/vendor/symfony/var-dumper/Resources/functions/dump.php ( 1.49 KB )
  18. /yingpanguazai/ssd/ssd1/www/wwww.yeyulingfeng.com/vendor/topthink/think-dumper/src/helper.php ( 0.18 KB )
  19. /yingpanguazai/ssd/ssd1/www/wwww.yeyulingfeng.com/vendor/symfony/var-dumper/VarDumper.php ( 4.30 KB )
  20. /yingpanguazai/ssd/ssd1/www/wwww.yeyulingfeng.com/vendor/guzzlehttp/guzzle/src/functions_include.php ( 0.16 KB )
  21. /yingpanguazai/ssd/ssd1/www/wwww.yeyulingfeng.com/vendor/guzzlehttp/guzzle/src/functions.php ( 5.54 KB )
  22. /yingpanguazai/ssd/ssd1/www/wwww.yeyulingfeng.com/vendor/topthink/framework/src/think/App.php ( 15.30 KB )
  23. /yingpanguazai/ssd/ssd1/www/wwww.yeyulingfeng.com/vendor/topthink/think-container/src/Container.php ( 15.76 KB )
  24. /yingpanguazai/ssd/ssd1/www/wwww.yeyulingfeng.com/vendor/psr/container/src/ContainerInterface.php ( 1.02 KB )
  25. /yingpanguazai/ssd/ssd1/www/wwww.yeyulingfeng.com/app/provider.php ( 0.19 KB )
  26. /yingpanguazai/ssd/ssd1/www/wwww.yeyulingfeng.com/vendor/topthink/framework/src/think/Http.php ( 6.04 KB )
  27. /yingpanguazai/ssd/ssd1/www/wwww.yeyulingfeng.com/vendor/topthink/think-helper/src/helper/Str.php ( 7.29 KB )
  28. /yingpanguazai/ssd/ssd1/www/wwww.yeyulingfeng.com/vendor/topthink/framework/src/think/Env.php ( 4.68 KB )
  29. /yingpanguazai/ssd/ssd1/www/wwww.yeyulingfeng.com/app/common.php ( 0.03 KB )
  30. /yingpanguazai/ssd/ssd1/www/wwww.yeyulingfeng.com/vendor/topthink/framework/src/helper.php ( 18.78 KB )
  31. /yingpanguazai/ssd/ssd1/www/wwww.yeyulingfeng.com/vendor/topthink/framework/src/think/Config.php ( 5.54 KB )
  32. /yingpanguazai/ssd/ssd1/www/wwww.yeyulingfeng.com/config/alipay.php ( 3.59 KB )
  33. /yingpanguazai/ssd/ssd1/www/wwww.yeyulingfeng.com/vendor/topthink/framework/src/think/facade/Env.php ( 1.67 KB )
  34. /yingpanguazai/ssd/ssd1/www/wwww.yeyulingfeng.com/config/app.php ( 0.95 KB )
  35. /yingpanguazai/ssd/ssd1/www/wwww.yeyulingfeng.com/config/cache.php ( 0.78 KB )
  36. /yingpanguazai/ssd/ssd1/www/wwww.yeyulingfeng.com/config/console.php ( 0.23 KB )
  37. /yingpanguazai/ssd/ssd1/www/wwww.yeyulingfeng.com/config/cookie.php ( 0.56 KB )
  38. /yingpanguazai/ssd/ssd1/www/wwww.yeyulingfeng.com/config/database.php ( 2.48 KB )
  39. /yingpanguazai/ssd/ssd1/www/wwww.yeyulingfeng.com/config/filesystem.php ( 0.61 KB )
  40. /yingpanguazai/ssd/ssd1/www/wwww.yeyulingfeng.com/config/lang.php ( 0.91 KB )
  41. /yingpanguazai/ssd/ssd1/www/wwww.yeyulingfeng.com/config/log.php ( 1.35 KB )
  42. /yingpanguazai/ssd/ssd1/www/wwww.yeyulingfeng.com/config/middleware.php ( 0.19 KB )
  43. /yingpanguazai/ssd/ssd1/www/wwww.yeyulingfeng.com/config/route.php ( 1.89 KB )
  44. /yingpanguazai/ssd/ssd1/www/wwww.yeyulingfeng.com/config/session.php ( 0.57 KB )
  45. /yingpanguazai/ssd/ssd1/www/wwww.yeyulingfeng.com/config/trace.php ( 0.34 KB )
  46. /yingpanguazai/ssd/ssd1/www/wwww.yeyulingfeng.com/config/view.php ( 0.82 KB )
  47. /yingpanguazai/ssd/ssd1/www/wwww.yeyulingfeng.com/app/event.php ( 0.25 KB )
  48. /yingpanguazai/ssd/ssd1/www/wwww.yeyulingfeng.com/vendor/topthink/framework/src/think/Event.php ( 7.67 KB )
  49. /yingpanguazai/ssd/ssd1/www/wwww.yeyulingfeng.com/app/service.php ( 0.13 KB )
  50. /yingpanguazai/ssd/ssd1/www/wwww.yeyulingfeng.com/app/AppService.php ( 0.26 KB )
  51. /yingpanguazai/ssd/ssd1/www/wwww.yeyulingfeng.com/vendor/topthink/framework/src/think/Service.php ( 1.64 KB )
  52. /yingpanguazai/ssd/ssd1/www/wwww.yeyulingfeng.com/vendor/topthink/framework/src/think/Lang.php ( 7.35 KB )
  53. /yingpanguazai/ssd/ssd1/www/wwww.yeyulingfeng.com/vendor/topthink/framework/src/lang/zh-cn.php ( 13.70 KB )
  54. /yingpanguazai/ssd/ssd1/www/wwww.yeyulingfeng.com/vendor/topthink/framework/src/think/initializer/Error.php ( 3.31 KB )
  55. /yingpanguazai/ssd/ssd1/www/wwww.yeyulingfeng.com/vendor/topthink/framework/src/think/initializer/RegisterService.php ( 1.33 KB )
  56. /yingpanguazai/ssd/ssd1/www/wwww.yeyulingfeng.com/vendor/services.php ( 0.14 KB )
  57. /yingpanguazai/ssd/ssd1/www/wwww.yeyulingfeng.com/vendor/topthink/framework/src/think/service/PaginatorService.php ( 1.52 KB )
  58. /yingpanguazai/ssd/ssd1/www/wwww.yeyulingfeng.com/vendor/topthink/framework/src/think/service/ValidateService.php ( 0.99 KB )
  59. /yingpanguazai/ssd/ssd1/www/wwww.yeyulingfeng.com/vendor/topthink/framework/src/think/service/ModelService.php ( 2.04 KB )
  60. /yingpanguazai/ssd/ssd1/www/wwww.yeyulingfeng.com/vendor/topthink/think-trace/src/Service.php ( 0.77 KB )
  61. /yingpanguazai/ssd/ssd1/www/wwww.yeyulingfeng.com/vendor/topthink/framework/src/think/Middleware.php ( 6.72 KB )
  62. /yingpanguazai/ssd/ssd1/www/wwww.yeyulingfeng.com/vendor/topthink/framework/src/think/initializer/BootService.php ( 0.77 KB )
  63. /yingpanguazai/ssd/ssd1/www/wwww.yeyulingfeng.com/vendor/topthink/think-orm/src/Paginator.php ( 11.86 KB )
  64. /yingpanguazai/ssd/ssd1/www/wwww.yeyulingfeng.com/vendor/topthink/think-validate/src/Validate.php ( 63.20 KB )
  65. /yingpanguazai/ssd/ssd1/www/wwww.yeyulingfeng.com/vendor/topthink/think-orm/src/Model.php ( 23.55 KB )
  66. /yingpanguazai/ssd/ssd1/www/wwww.yeyulingfeng.com/vendor/topthink/think-orm/src/model/concern/Attribute.php ( 21.05 KB )
  67. /yingpanguazai/ssd/ssd1/www/wwww.yeyulingfeng.com/vendor/topthink/think-orm/src/model/concern/AutoWriteData.php ( 4.21 KB )
  68. /yingpanguazai/ssd/ssd1/www/wwww.yeyulingfeng.com/vendor/topthink/think-orm/src/model/concern/Conversion.php ( 6.44 KB )
  69. /yingpanguazai/ssd/ssd1/www/wwww.yeyulingfeng.com/vendor/topthink/think-orm/src/model/concern/DbConnect.php ( 5.16 KB )
  70. /yingpanguazai/ssd/ssd1/www/wwww.yeyulingfeng.com/vendor/topthink/think-orm/src/model/concern/ModelEvent.php ( 2.33 KB )
  71. /yingpanguazai/ssd/ssd1/www/wwww.yeyulingfeng.com/vendor/topthink/think-orm/src/model/concern/RelationShip.php ( 28.29 KB )
  72. /yingpanguazai/ssd/ssd1/www/wwww.yeyulingfeng.com/vendor/topthink/think-helper/src/contract/Arrayable.php ( 0.09 KB )
  73. /yingpanguazai/ssd/ssd1/www/wwww.yeyulingfeng.com/vendor/topthink/think-helper/src/contract/Jsonable.php ( 0.13 KB )
  74. /yingpanguazai/ssd/ssd1/www/wwww.yeyulingfeng.com/vendor/topthink/think-orm/src/model/contract/Modelable.php ( 0.09 KB )
  75. /yingpanguazai/ssd/ssd1/www/wwww.yeyulingfeng.com/vendor/topthink/framework/src/think/Db.php ( 2.88 KB )
  76. /yingpanguazai/ssd/ssd1/www/wwww.yeyulingfeng.com/vendor/topthink/think-orm/src/DbManager.php ( 8.52 KB )
  77. /yingpanguazai/ssd/ssd1/www/wwww.yeyulingfeng.com/vendor/topthink/framework/src/think/Log.php ( 6.28 KB )
  78. /yingpanguazai/ssd/ssd1/www/wwww.yeyulingfeng.com/vendor/topthink/framework/src/think/Manager.php ( 3.92 KB )
  79. /yingpanguazai/ssd/ssd1/www/wwww.yeyulingfeng.com/vendor/psr/log/src/LoggerTrait.php ( 2.69 KB )
  80. /yingpanguazai/ssd/ssd1/www/wwww.yeyulingfeng.com/vendor/psr/log/src/LoggerInterface.php ( 2.71 KB )
  81. /yingpanguazai/ssd/ssd1/www/wwww.yeyulingfeng.com/vendor/topthink/framework/src/think/Cache.php ( 4.92 KB )
  82. /yingpanguazai/ssd/ssd1/www/wwww.yeyulingfeng.com/vendor/psr/simple-cache/src/CacheInterface.php ( 4.71 KB )
  83. /yingpanguazai/ssd/ssd1/www/wwww.yeyulingfeng.com/vendor/topthink/think-helper/src/helper/Arr.php ( 16.63 KB )
  84. /yingpanguazai/ssd/ssd1/www/wwww.yeyulingfeng.com/vendor/topthink/framework/src/think/cache/driver/File.php ( 7.84 KB )
  85. /yingpanguazai/ssd/ssd1/www/wwww.yeyulingfeng.com/vendor/topthink/framework/src/think/cache/Driver.php ( 9.03 KB )
  86. /yingpanguazai/ssd/ssd1/www/wwww.yeyulingfeng.com/vendor/topthink/framework/src/think/contract/CacheHandlerInterface.php ( 1.99 KB )
  87. /yingpanguazai/ssd/ssd1/www/wwww.yeyulingfeng.com/app/Request.php ( 0.09 KB )
  88. /yingpanguazai/ssd/ssd1/www/wwww.yeyulingfeng.com/vendor/topthink/framework/src/think/Request.php ( 55.78 KB )
  89. /yingpanguazai/ssd/ssd1/www/wwww.yeyulingfeng.com/app/middleware.php ( 0.25 KB )
  90. /yingpanguazai/ssd/ssd1/www/wwww.yeyulingfeng.com/vendor/topthink/framework/src/think/Pipeline.php ( 2.61 KB )
  91. /yingpanguazai/ssd/ssd1/www/wwww.yeyulingfeng.com/vendor/topthink/think-trace/src/TraceDebug.php ( 3.40 KB )
  92. /yingpanguazai/ssd/ssd1/www/wwww.yeyulingfeng.com/vendor/topthink/framework/src/think/middleware/SessionInit.php ( 1.94 KB )
  93. /yingpanguazai/ssd/ssd1/www/wwww.yeyulingfeng.com/vendor/topthink/framework/src/think/Session.php ( 1.80 KB )
  94. /yingpanguazai/ssd/ssd1/www/wwww.yeyulingfeng.com/vendor/topthink/framework/src/think/session/driver/File.php ( 6.27 KB )
  95. /yingpanguazai/ssd/ssd1/www/wwww.yeyulingfeng.com/vendor/topthink/framework/src/think/contract/SessionHandlerInterface.php ( 0.87 KB )
  96. /yingpanguazai/ssd/ssd1/www/wwww.yeyulingfeng.com/vendor/topthink/framework/src/think/session/Store.php ( 7.12 KB )
  97. /yingpanguazai/ssd/ssd1/www/wwww.yeyulingfeng.com/vendor/topthink/framework/src/think/Route.php ( 23.73 KB )
  98. /yingpanguazai/ssd/ssd1/www/wwww.yeyulingfeng.com/vendor/topthink/framework/src/think/route/RuleName.php ( 5.75 KB )
  99. /yingpanguazai/ssd/ssd1/www/wwww.yeyulingfeng.com/vendor/topthink/framework/src/think/route/Domain.php ( 2.53 KB )
  100. /yingpanguazai/ssd/ssd1/www/wwww.yeyulingfeng.com/vendor/topthink/framework/src/think/route/RuleGroup.php ( 22.43 KB )
  101. /yingpanguazai/ssd/ssd1/www/wwww.yeyulingfeng.com/vendor/topthink/framework/src/think/route/Rule.php ( 26.95 KB )
  102. /yingpanguazai/ssd/ssd1/www/wwww.yeyulingfeng.com/vendor/topthink/framework/src/think/route/RuleItem.php ( 9.78 KB )
  103. /yingpanguazai/ssd/ssd1/www/wwww.yeyulingfeng.com/route/app.php ( 3.52 KB )
  104. /yingpanguazai/ssd/ssd1/www/wwww.yeyulingfeng.com/vendor/topthink/framework/src/think/facade/Route.php ( 4.70 KB )
  105. /yingpanguazai/ssd/ssd1/www/wwww.yeyulingfeng.com/vendor/topthink/framework/src/think/route/dispatch/Controller.php ( 4.74 KB )
  106. /yingpanguazai/ssd/ssd1/www/wwww.yeyulingfeng.com/vendor/topthink/framework/src/think/route/Dispatch.php ( 10.44 KB )
  107. /yingpanguazai/ssd/ssd1/www/wwww.yeyulingfeng.com/app/controller/Index.php ( 10.53 KB )
  108. /yingpanguazai/ssd/ssd1/www/wwww.yeyulingfeng.com/app/BaseController.php ( 2.05 KB )
  109. /yingpanguazai/ssd/ssd1/www/wwww.yeyulingfeng.com/vendor/topthink/think-orm/src/facade/Db.php ( 0.93 KB )
  110. /yingpanguazai/ssd/ssd1/www/wwww.yeyulingfeng.com/vendor/topthink/think-orm/src/db/connector/Mysql.php ( 5.44 KB )
  111. /yingpanguazai/ssd/ssd1/www/wwww.yeyulingfeng.com/vendor/topthink/think-orm/src/db/PDOConnection.php ( 52.47 KB )
  112. /yingpanguazai/ssd/ssd1/www/wwww.yeyulingfeng.com/vendor/topthink/think-orm/src/db/Connection.php ( 8.39 KB )
  113. /yingpanguazai/ssd/ssd1/www/wwww.yeyulingfeng.com/vendor/topthink/think-orm/src/db/ConnectionInterface.php ( 4.57 KB )
  114. /yingpanguazai/ssd/ssd1/www/wwww.yeyulingfeng.com/vendor/topthink/think-orm/src/db/builder/Mysql.php ( 16.58 KB )
  115. /yingpanguazai/ssd/ssd1/www/wwww.yeyulingfeng.com/vendor/topthink/think-orm/src/db/Builder.php ( 24.06 KB )
  116. /yingpanguazai/ssd/ssd1/www/wwww.yeyulingfeng.com/vendor/topthink/think-orm/src/db/BaseBuilder.php ( 27.50 KB )
  117. /yingpanguazai/ssd/ssd1/www/wwww.yeyulingfeng.com/vendor/topthink/think-orm/src/db/Query.php ( 15.71 KB )
  118. /yingpanguazai/ssd/ssd1/www/wwww.yeyulingfeng.com/vendor/topthink/think-orm/src/db/BaseQuery.php ( 45.13 KB )
  119. /yingpanguazai/ssd/ssd1/www/wwww.yeyulingfeng.com/vendor/topthink/think-orm/src/db/concern/TimeFieldQuery.php ( 7.43 KB )
  120. /yingpanguazai/ssd/ssd1/www/wwww.yeyulingfeng.com/vendor/topthink/think-orm/src/db/concern/AggregateQuery.php ( 3.26 KB )
  121. /yingpanguazai/ssd/ssd1/www/wwww.yeyulingfeng.com/vendor/topthink/think-orm/src/db/concern/ModelRelationQuery.php ( 20.07 KB )
  122. /yingpanguazai/ssd/ssd1/www/wwww.yeyulingfeng.com/vendor/topthink/think-orm/src/db/concern/ParamsBind.php ( 3.66 KB )
  123. /yingpanguazai/ssd/ssd1/www/wwww.yeyulingfeng.com/vendor/topthink/think-orm/src/db/concern/ResultOperation.php ( 7.01 KB )
  124. /yingpanguazai/ssd/ssd1/www/wwww.yeyulingfeng.com/vendor/topthink/think-orm/src/db/concern/WhereQuery.php ( 19.37 KB )
  125. /yingpanguazai/ssd/ssd1/www/wwww.yeyulingfeng.com/vendor/topthink/think-orm/src/db/concern/JoinAndViewQuery.php ( 7.11 KB )
  126. /yingpanguazai/ssd/ssd1/www/wwww.yeyulingfeng.com/vendor/topthink/think-orm/src/db/concern/TableFieldInfo.php ( 2.63 KB )
  127. /yingpanguazai/ssd/ssd1/www/wwww.yeyulingfeng.com/vendor/topthink/think-orm/src/db/concern/Transaction.php ( 2.77 KB )
  128. /yingpanguazai/ssd/ssd1/www/wwww.yeyulingfeng.com/vendor/topthink/framework/src/think/log/driver/File.php ( 5.96 KB )
  129. /yingpanguazai/ssd/ssd1/www/wwww.yeyulingfeng.com/vendor/topthink/framework/src/think/contract/LogHandlerInterface.php ( 0.86 KB )
  130. /yingpanguazai/ssd/ssd1/www/wwww.yeyulingfeng.com/vendor/topthink/framework/src/think/log/Channel.php ( 3.89 KB )
  131. /yingpanguazai/ssd/ssd1/www/wwww.yeyulingfeng.com/vendor/topthink/framework/src/think/event/LogRecord.php ( 1.02 KB )
  132. /yingpanguazai/ssd/ssd1/www/wwww.yeyulingfeng.com/vendor/topthink/think-helper/src/Collection.php ( 16.47 KB )
  133. /yingpanguazai/ssd/ssd1/www/wwww.yeyulingfeng.com/vendor/topthink/framework/src/think/facade/View.php ( 1.70 KB )
  134. /yingpanguazai/ssd/ssd1/www/wwww.yeyulingfeng.com/vendor/topthink/framework/src/think/View.php ( 4.39 KB )
  135. /yingpanguazai/ssd/ssd1/www/wwww.yeyulingfeng.com/vendor/topthink/framework/src/think/Response.php ( 8.81 KB )
  136. /yingpanguazai/ssd/ssd1/www/wwww.yeyulingfeng.com/vendor/topthink/framework/src/think/response/View.php ( 3.29 KB )
  137. /yingpanguazai/ssd/ssd1/www/wwww.yeyulingfeng.com/vendor/topthink/framework/src/think/Cookie.php ( 6.06 KB )
  138. /yingpanguazai/ssd/ssd1/www/wwww.yeyulingfeng.com/vendor/topthink/think-view/src/Think.php ( 8.38 KB )
  139. /yingpanguazai/ssd/ssd1/www/wwww.yeyulingfeng.com/vendor/topthink/framework/src/think/contract/TemplateHandlerInterface.php ( 1.60 KB )
  140. /yingpanguazai/ssd/ssd1/www/wwww.yeyulingfeng.com/vendor/topthink/think-template/src/Template.php ( 46.61 KB )
  141. /yingpanguazai/ssd/ssd1/www/wwww.yeyulingfeng.com/vendor/topthink/think-template/src/template/driver/File.php ( 2.41 KB )
  142. /yingpanguazai/ssd/ssd1/www/wwww.yeyulingfeng.com/vendor/topthink/think-template/src/template/contract/DriverInterface.php ( 0.86 KB )
  143. /yingpanguazai/ssd/ssd1/www/wwww.yeyulingfeng.com/runtime/temp/10a0c909b6afa23b5a52a2e2d58c3c0f.php ( 21.70 KB )
  144. /yingpanguazai/ssd/ssd1/www/wwww.yeyulingfeng.com/vendor/topthink/think-trace/src/Html.php ( 4.42 KB )
  1. CONNECT:[ UseTime:0.000448s ] mysql:host=127.0.0.1;port=3306;dbname=wenku;charset=utf8mb4
  2. SHOW FULL COLUMNS FROM `fenlei` [ RunTime:0.000652s ]
  3. SELECT * FROM `fenlei` WHERE `fid` = 0 [ RunTime:0.000278s ]
  4. SELECT * FROM `fenlei` WHERE `fid` = 63 [ RunTime:0.000348s ]
  5. SHOW FULL COLUMNS FROM `set` [ RunTime:0.000636s ]
  6. SELECT * FROM `set` [ RunTime:0.000212s ]
  7. SHOW FULL COLUMNS FROM `wendang` [ RunTime:0.000667s ]
  8. SELECT * FROM `wendang` WHERE `id` = 330023 LIMIT 1 [ RunTime:0.000408s ]
  9. UPDATE `wendang` SET `liulancishu` = 3 WHERE `id` = 330023 [ RunTime:0.001797s ]
  10. UPDATE `wendang` SET `lasttime` = 1772330514 WHERE `id` = 330023 [ RunTime:0.000577s ]
  11. SELECT * FROM `wendang` WHERE `id` < 330023 ORDER BY `id` DESC LIMIT 1 [ RunTime:0.000824s ]
  12. SELECT * FROM `wendang` WHERE `id` > 330023 ORDER BY `id` ASC LIMIT 1 [ RunTime:0.000418s ]
  13. SELECT * FROM `wendang` WHERE `id` <> 330023 ORDER BY `id` DESC LIMIT 10 [ RunTime:0.001827s ]
  14. SELECT * FROM `wendang` WHERE `id` <> 330023 ORDER BY `id` DESC LIMIT 10,10 [ RunTime:0.001276s ]
  15. SELECT * FROM `wendang` WHERE `id` <> 330023 ORDER BY `id` DESC LIMIT 20,10 [ RunTime:0.003536s ]
0.082243s