当前位置:首页>文档>3.1.1电离平衡(分层作业)(原卷版)_高化_595801221724高中化学新人教版选择性必修一二三电子版教案PPT课件高中试卷_选择性必修1册(人教版)_分层作业

3.1.1电离平衡(分层作业)(原卷版)_高化_595801221724高中化学新人教版选择性必修一二三电子版教案PPT课件高中试卷_选择性必修1册(人教版)_分层作业

  • 2026-05-07 23:05:57 2026-04-01 04:58:17

文档预览

3.1.1电离平衡(分层作业)(原卷版)_高化_595801221724高中化学新人教版选择性必修一二三电子版教案PPT课件高中试卷_选择性必修1册(人教版)_分层作业
3.1.1电离平衡(分层作业)(原卷版)_高化_595801221724高中化学新人教版选择性必修一二三电子版教案PPT课件高中试卷_选择性必修1册(人教版)_分层作业
3.1.1电离平衡(分层作业)(原卷版)_高化_595801221724高中化学新人教版选择性必修一二三电子版教案PPT课件高中试卷_选择性必修1册(人教版)_分层作业
3.1.1电离平衡(分层作业)(原卷版)_高化_595801221724高中化学新人教版选择性必修一二三电子版教案PPT课件高中试卷_选择性必修1册(人教版)_分层作业
3.1.1电离平衡(分层作业)(原卷版)_高化_595801221724高中化学新人教版选择性必修一二三电子版教案PPT课件高中试卷_选择性必修1册(人教版)_分层作业
3.1.1电离平衡(分层作业)(原卷版)_高化_595801221724高中化学新人教版选择性必修一二三电子版教案PPT课件高中试卷_选择性必修1册(人教版)_分层作业
3.1.1电离平衡(分层作业)(原卷版)_高化_595801221724高中化学新人教版选择性必修一二三电子版教案PPT课件高中试卷_选择性必修1册(人教版)_分层作业
3.1.1电离平衡(分层作业)(原卷版)_高化_595801221724高中化学新人教版选择性必修一二三电子版教案PPT课件高中试卷_选择性必修1册(人教版)_分层作业

文档信息

文档格式
docx
文档大小
0.734 MB
文档页数
4 页
上传时间
2026-04-01 04:58:17

文档内容

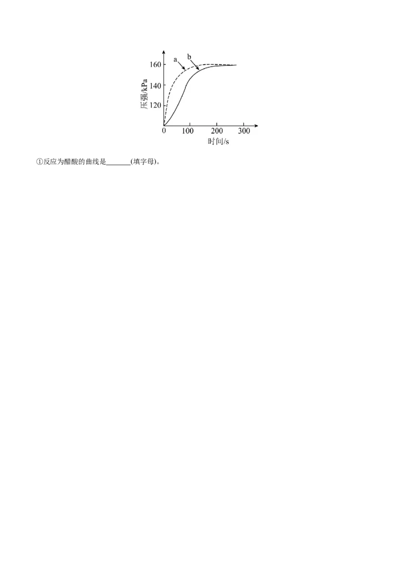
3.1.1电离平衡(分层作业) 1.在离子方程式中可能用H+表示的物质是 A.HO B.NaHSO C.NaHCO D.CHCOOH 2 4 3 3 2.下列说法正确的是 A.1mol•L-1CHCOOH溶液加水稀释或加热均可促进电离,使CHCOO-的物质的量浓度增大 3 3 B.等体积等浓度的盐酸、硫酸、醋酸与NaOH溶液生成正盐时,消耗NaOH溶液的体积相同 C.等体积等浓度的盐酸、硫酸、醋酸与足量的锌反应时,盐酸与醋酸产生氢气的体积相同 D.物质的量浓度相同的磷酸钠溶液和磷酸中PO 的浓度相同 3.下列事实中一定能证明CHCOOH是弱电解质的是 3 ①用CHCOOH溶液做导电实验,灯泡很暗 3 ②0.1mol·L-1 CHCOOH溶液中c(H+)<0.1mol·L-1 3 ③往NaHCO 溶液中滴加CHCOOH溶液,产生大量气泡 3 3 ④20mL0.2mol·L-1 CHCOOH溶液恰好与20mL 0.2mol·L-1 NaOH溶液完全反应 3 ⑤1mL c(H+)=0.01mol·L-1的CHCOOH溶液稀释至1L,c(H+)>1.0×10-5mol·L-1 3 A.①② B.②③ C.②⑤ D.③④ 4.在氨水中,NH ·H O的电离达到平衡的标志是 3 2 A.溶液呈电中性 B.溶液中无氨水分子 C.c(OH-)保持不变 D.溶液中NH+ 和OH-共存 4 5.在一定温度下,对冰醋酸加水稀释的过程中,溶液的导电能力I随加入水的体积V变化的曲线如图所示。 下列说法正确的是 A.a、b、c三点对应的溶液中,c(H+)由小到大的顺序为c