当前位置:首页>文档>(51)--7.3笔记小结_01.2026考研数学有道武忠祥刘金峰全程班_01.2026考研数学武忠祥刘金峰全程班_00.书籍和讲义_{3}--全部课件

(51)--7.3笔记小结_01.2026考研数学有道武忠祥刘金峰全程班_01.2026考研数学武忠祥刘金峰全程班_00.书籍和讲义_{3}--全部课件

  • 2026-04-03 17:38:53 2026-02-25 14:56:03

文档预览

(51)--7.3笔记小结_01.2026考研数学有道武忠祥刘金峰全程班_01.2026考研数学武忠祥刘金峰全程班_00.书籍和讲义_{3}--全部课件
(51)--7.3笔记小结_01.2026考研数学有道武忠祥刘金峰全程班_01.2026考研数学武忠祥刘金峰全程班_00.书籍和讲义_{3}--全部课件
(51)--7.3笔记小结_01.2026考研数学有道武忠祥刘金峰全程班_01.2026考研数学武忠祥刘金峰全程班_00.书籍和讲义_{3}--全部课件
(51)--7.3笔记小结_01.2026考研数学有道武忠祥刘金峰全程班_01.2026考研数学武忠祥刘金峰全程班_00.书籍和讲义_{3}--全部课件

文档信息

文档格式
pdf
文档大小
2.285 MB
文档页数
4 页
上传时间
2026-02-25 14:56:03

文档内容

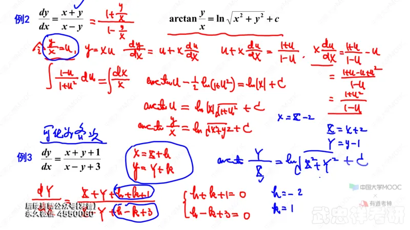
C C C C C C C C C C C O O O O O O O O O O O O O O O O O O O O O O M M M M M M M M M M M 学 学 学 学 学 学 学 学 学 学 学 大 大 大 大 大 大 大 大 大 大 大 国 国 国 国 国 国 国 国 国 国 国 中 中 中 中 中 中 中 中 中 中 中 C C C C C C C C C C C O O O O O O O O O O O O O O O O O O O O O O M M M M M M M M M M M 学 学 学 学 学 学 学 学 学 学 学 大 大 大 大 大 大 大 大 大 大 大 国 国 国 国 国 国 国 国 国 国 国 中 中 中 中 中 中 中 中 中 中 中 C C C C C C C C C C C O O O O O O O O O O O O O O O O O O O O O O M M M M M M M M M M M 学 学 学 学 学 学 学 学 学 学 学 大 大 大 大 大 大 大 大 大 大 大 国 国 国 国 国 国 国 国 国 国 国 中 中 中 中 中 中 中 中 中 中 中 C C C C C C C C C C C O O O O O O O O O O O O O O O O O O O O O O M M M M M M M M M M M 学 学 学 学 学 学 学 学 学 学 学 大 大 大 大 大 大 大 大 大 大 大 国 国 国 国 国 国 国 国 国 国 国 中 中 中 中 中 中 中 中 中 中 中 C C C C C C C C C C C O O O O O O O O O O O O O O O O O O O O O O M M M M M M M M M M M 学 学 学 学 学 学 学 学 学 学 学 大 大 大 大 大 大 大 大 大 大 大 国 国 国 国 国 国 国 国 国 国 国 中 中 中 中 中 中 中 中 中 中 中 C C C C C C C C C C C O O O O O O O O O O O O O O O O O O O O O O M M M M M M M M M M M 学 学 学 学 学 学 学 学 学 学 学 大 大 大 大 大 大 大 大 大 大 大 国 国 国 国 国 国 国 国 国 国 国 中 中 中 中 中 中 中 中 中 中 中 C C C C C C C C C C C O O O O O O O O O O O O O O O O O O O O O O M M M M M M M M M M M 学 学 学 学 学 学 学 学 学 学 学 大 大 大 大 大 大 大 大 大 大 大 国 国 国 国 国 国 国 国 国 国 国 中 中 中 中 中 中 中 中 中 中 中 C C C C C C C C C C C O O O O O O O O O O O O O O O O O O O O O O M M M M M M M M M M M 学 学 学 学 学 学 学 学 学 学 学 大 大 大 大 大 大 大 大 大 大 大 国 国 国 国 国 国 国 国 国 国 国 中 中 中 中 中 中 中 中 中 中 中 C C C C C C C C C C C O O O O O O O O O O O O O O O O O O O O O O M M M M M M M M M M M 学 学 学 学 学 学 学 学 学 学 学 大 大 大 大 大 大 大 大 大 大 大 国 国 国 国 国 国 国 国 国 国 国 中 中 中 中 中 中 中 中 中 中 中 C C C C C C C C C C C O O O O O O O O O O O O O O O O O O O O O O M M M M M M M M M M M 学 学 学 学 学 学 学 学 学 学 学 大 大 大 大 大 大 大 大 大 大 大 国 国 国 国 国 国 国 国 国 国 国 中 中 中 中 中 中 中 中 中 中 中 C C C C C C C C C C C O O O O O O O O O O O O O O O O O O O O O O M M M M M M M M M M M 学 学 学 学 学 学 学 学 学 学 学 大 大 大 大 大 大 大 大 大 大 大 国 国 国 国 国 国 国 国 国 国 国 中 中 中 中 中 中 中 中 中 中 中 C C C C C C C C C C C O O O O O O O O O O O O O O O O O O O O O O M M M M M M M M M M M 学 学 学 学 学 学 学 学 学 学 学 大 大 大 大 大 大 大 大 大 大 大 国 国 国 国 国 国 国 国 国 国 国 中 中 中 中 中 中 中 中 中 中 中 C C C C C C C C C C C O O O O O O O O O O O O O O O O O O O O O O M M M M M M M M M M M 学 学 学 学 学 学 学 学 学 学 学 大 大 大 大 大 大 大 大 大 大 大 国 国 国 国 国 国 国 国 国 国 国 中 中 中 中 中 中 中 中 中 中 中 C C C C C C C C C C C O O O O O O O O O O O O O O O O O O O O O O M M M M M M M M M M M 学 学 学 学 学 学 学 学 学 学 学 大 大 大 大 大 大 大 大 大 大 大 国 国 国 国 国 国 国 国 国 国 国 中 中 中 中 中 中 中 中 中 中 中 C C C C C C C C C C C O O O O O O O O O O O O O O O O O O O O O O M M M M M M M M M M M 学 学 学 学 学 学 学 学 学 学 学 大 大 大 大 大 大 大 大 大 大 大 国 国 国 国 国 国 国 国 国 国 国 中 中 中 中 中 中 中 中 中 中 中 C C C C C C C C C C C O O O O O O O O O O O O O O O O O O O O O O M M M M M M M M M M M 学 学 学 学 学 学 学 学 学 学 学 大 大 大 大 大 大 大 大 大 大 大 国 国 国 国 国 国 国 国 国 国 国 中 中 中 中 中 中 中 中 中 中 中 C C C C C C C C C C C 第七章 微分方程 O O O O O O O O O O O O O O O O O O O O O O M M M M M M M M M M M 学 学 学 学 学 学 学 学 学 学 学 大 大 大 大 大 大 大 大 大 大 大 国 国 国 国 国 国 国 国 国 国 国 中 中 中 中 中 中 中 中 中 中 中 C C C C C C C C C C C O O O O O O O O O O O O O O O O O O O O O O 第三节 齐次方程 M M M M M M M M M M M 学 学 学 学 学 学 学 学 学 学 学 大 大 大 大 大 大 大 大 大 大 大 国 国 国 国 国 国 国 国 国 国 国 中 中 中 中 中 中 中 中 中 中 中 C C C C C C C C C C C O O O O O O O O O O O O O O O O O O O O O O M M M M M M M M M M M 学 学 学 学 学 学 学 学 学 学 学 大 大 大 大 大 大 大 大 大 大 大 国 国 国 国 国 国 国 国 国 国 国 主讲 武忠祥 教授 中 中 中 中 中 中 中 中 中 中 中 CC CC CC CC CC CC CC CC CC CC CC OO OO OO OO OO OO OO OO OO OO OO OO OO OO OO OO OO OO OO OO OO OO MM MM MM MM MM MM MM MM MM MM MM 学学 学学 学学 学学 学学 学学 学学 学学 学学 学学 学学 大大 大大 大大 大大 大大 大大 大大 大大 大大 大大 大大 国国 国国 国国 国国 国国 国国 国国 国国 国国 国国 国国 中中 中中 中中 中中 中中 中中 中中 中中 中中 中中 中中C C C C C C C C C C C O O O O O O O O O O O O O O O O O O O O O O M M M M M M M M M M M 学 学 学 学 学 学 学 学 学 学 学 大 大 大 大 大 大 大 大 大 大 大 国 国 国 国 国 国 国 国 国 国 国 中 中 中 中 中 中 中 中 中 中 中 C C C C C C C C C C C O O O O O O O O O O O O O O O O O O O O O O M M M M M M M M M M M 学 学 学 学 学 学 学 学 学 学 学 大 大 大 大 大 大 大 大 大 大 大 国 国 国 国 国 国 国 国 国 国 国 中 中 中 中 中 中 中 中 中 中 中 C C C C C C C C C C C O O O O O O O O O O O O O O O O O O O O O O M M M M M M M M M M M 学 学 学 学 学 学 学 学 学 学 学 大 大 大 大 大 大 大 大 大 大 大 国 国 国 国 国 国 国 国 国 国 国 中 中 中 中 中 中 中 中 中 中 中 C C C C C C C C C C C O O O O O O O O O O O O O O O O O O O O O O M M M M M M M M M M M 学 学 学 学 学 学 学 学 学 学 学 大 大 大 大 大 大 大 大 大 大 大 国 国 国 国 国 国 国 国 国 国 国 中 中 中 中 中 中 中 中 中 中 中 C C C C C C C C C C C O O O O O O O O O O O O O O O O O O O O O O M M M M M M M M M M M 学 学 学 学 学 学 学 学 学 学 学 大 大 大 大 大 大 大 大 大 大 大 国 国 国 国 国 国 国 国 国 国 国 中 中 中 中 中 中 中 中 中 中 中 C C C C C C C C C C C O O O O O O O O O O O O O O O O O O O O O O M M M M M M M M M M M 学 学 学 学 学 学 学 学 学 学 学 大 大 大 大 大 大 大 大 大 大 大 国 国 国 国 国 国 国 国 国 国 国 中 中 中 中 中 中 中 中 中 中 中 C C C C C C C C C C C O O O O O O O O O O O O O O O O O O O O O O M M M M M M M M M M M 学 学 学 学 学 学 学 学 学 学 学 大 大 大 大 大 大 大 大 大 大 大 国 国 国 国 国 国 国 国 国 国 国 中 中 中 中 中 中 中 中 中 中 中 C C C C C C C C C C C O O O O O O O O O O O O O O O O O O O O O O M M M M M M M M M M M 学 学 学 学 学 学 学 学 学 学 学 大 大 大 大 大 大 大 大 大 大 大 国 国 国 国 国 国 国 国 国 国 国 中 中 中 中 中 中 中 中 中 中 中 C C C C C C C C C C C O O O O O O O O O O O O O O O O O O O O O O M M M M M M M M M M M 学 学 学 学 学 学 学 学 学 学 学 大 大 大 大 大 大 大 大 大 大 大 国 国 国 国 国 国 国 国 国 国 国 中 中 中 中 中 中 中 中 中 中 中 C C C C C C C C C C C O O O O O O O O O O O O O O O O O O O O O O M M M M M M M M M M M 学 学 学 学 学 学 学 学 学 学 学 大 大 大 大 大 大 大 大 大 大 大 国 国 国 国 国 国 国 国 国 国 国 中 中 中 中 中 中 中 中 中 中 中 C C C C C C C C C C C O O O O O O O O O O O O O O O O O O O O O O M M M M M M M M M M M 学 学 学 学 学 学 学 学 学 学 学 大 大 大 大 大 大 大 大 大 大 大 国 国 国 国 国 国 国 国 国 国 国 中 中 中 中 中 中 中 中 中 中 中 C C C C C C C C C C C O O O O O O O O O O O O O O O O O O O O O O M M M M M M M M M M M 学 学 学 学 学 学 学 学 学 学 学 大 大 大 大 大 大 大 大 大 大 大 国 国 国 国 国 国 国 国 国 国 国 中 中 中 中 中 中 中 中 中 中 中 C C C C C C C C C C C O O O O O O O O O O O O O O O O O O O O O O M M M M M M M M M M M 学 学 学 学 学 学 学 学 学 学 学 大 大 大 大 大 大 大 大 大 大 大 国 国 国 国 国 国 国 国 国 国 国 中 中 中 中 中 中 中 中 中 中 中 C C C C C C C C C C C O O O O O O O O O O O O O O O O O O O O O O M M M M M M M M M M M 学 学 学 学 学 学 学 学 学 学 学 大 大 大 大 大 大 大 大 大 大 大 国 国 国 国 国 国 国 国 国 国 国 中 中 中 中 中 中 中 中 中 中 中 C C C C C C C C C C C O O O O O O O O O O O O O O O O O O O O O O M M M M M M M M M M M 学 学 学 学 学 学 学 学 学 学 学 大 大 大 大 大 大 大 大 大 大 大 国 国 国 国 国 国 国 国 国 国 国 中 中 中 中 中 中 中 中 中 中 中 C C C C C C C C C C C O O O O O O O O O O O O O O O O O O O O O O M M M M M M M M M M M 学 学 学 学 学 学 学 学 学 学 学 大 大 大 大 大 大 大 大 大 大 大 国 国 dy y国 国 国 国 国 国 国 国 国 中 齐次方中程  f ( 中 ) 中 中 中 中 中 中 中 中 dx x C C C C C C C C C C C O O O O O O O O O O O O O O O O O O O O O O M M M M M M M M M M M 学 学 学 学 学 学 学 学 学 学 学 大例1 y 2  x 大2 y   xyy  大 大 大 大 大 大 大 大 大 国 国 国 国 国 国 国 国 国 国 国 中 中 中 中 中 中 中 中 中 中 中 C C C C C C C C C C C O O O O O O O O O O O O O O O O O O O O O O M M M M M M M M M M M 学 学 学 学 学 学 学 学 学 学 学 大 大 大 大 大 大 大 大 大 大 大 国 国 国 国 国 国 国 国 国 国 国 中 中 中 中 中 中 中 中 中 中 中 C C C C C C C C C C C O O O O O O O O O O O O O O O O O O O O O O M M M M M M M M M M M 学 学 学 学 学 学 学 学 学 学 学 大 大 大 大 大 大 大 大 大 大 大 国 国 国 国 国 国 国 国 国 国 国 中 中 中 中 中 中 中 中 中 中 中 CC CC CC CC CC CC CC CC CC CC CC OO OO OO OO OO OO OO OO OO OO OO OO OO OO OO OO OO OO OO OO OO OO MM MM MM MM MM MM MM MM MM MM MM 武忠祥考研 学学 学学 学学 学学 学学 学学 学学 学学 学学 学学 学学 大大 大大 大大 大大 大大 大大 大大 大大 大大 大大 大大 国国 国国 国国 国国 国国 国国 国国 国国 国国 国国 国国 中中 中中 中中 中中 中中 中中 中中 中中 中中 中中 中中C C C C C C C C C C C O O O O O O O O O O O O O O O O O O O O O O M M M M M M M M M M M 学 学 学 学 学 学 学 学 学 学 学 大 大 大 大 大 大 大 大 大 大 大 国 国 国 国 国 国 国 国 国 国 国 中 中 中 中 中 中 中 中 中 中 中 C C C C C C C C C C C O O O O O O O O O O O O O O O O O O O O O O M M M M M M M M M M M 学 学 学 学 学 学 学 学 学 学 学 大 大 大 大 大 大 大 大 大 大 大 国 国 国 国 国 国 国 国 国 国 国 中 中 中 中 中 中 中 中 中 中 中 C C C C C C C C C C C O O O O O O O O O O O O O O O O O O O O O O M M M M M M M M M M M 学 学 学 学 学 学 学 学 学 学 学 大 大 大 大 大 大 大 大 大 大 大 国 国 国 国 国 国 国 国 国 国 国 中 中 中 中 中 中 中 中 中 中 中 C C C C C C C C C C C O O O O O O O O O O O O O O O O O O O O O O M M M M M M M M M M M 学 学 学 学 学 学 学 学 学 学 学 大 大 大 大 大 大 大 大 大 大 大 国 国 国 国 国 国 国 国 国 国 国 中 中 中 中 中 中 中 中 中 中 中 C C C C C C C C C C C O O O O O O O O O O O O O O O O O O O O O O M M M M M M M M M M M 学 学 学 学 学 学 学 学 学 学 学 大 大 大 大 大 大 大 大 大 大 大 国 国 国 国 国 国 国 国 国 国 国 中 中 中 中 中 中 中 中 中 中 中 C C C C C C C C C C C O O O O O O O O O O O O O O O O O O O O O O M M M M M M M M M M M 学 学 学 学 学 学 学 学 学 学 学 大 大 大 大 大 大 大 大 大 大 大 国 国 国 国 国 国 国 国 国 国 国 中 中 中 中 中 中 中 中 中 中 中 C C C C C C C C C C C O O O O O O O O O O O O O O O O O O O O O O M M M M M M M M M M M 学 学 学 学 学 学 学 学 学 学 学 大 大 大 大 大 大 大 大 大 大 大 国 国 国 国 国 国 国 国 国 国 国 中 中 中 中 中 中 中 中 中 中 中 C C C C C C C C C C C O O O O O O O O O O O O O O O O O O O O O O M M M M M M M M M M M 学 学 学 学 学 学 学 学 学 学 学 大 大 大 大 大 大 大 大 大 大 大 国 国 国 国 国 国 国 国 国 国 国 中 中 中 中 中 中 中 中 中 中 中 C C C C C C C C C C C O O O O O O O O O O O O O O O O O O O O O O M M M M M M M M M M M 学 学 学 学 学 学 学 学 学 学 学 大 大 大 大 大 大 大 大 大 大 大 国 国 国 国 国 国 国 国 国 国 国 中 中 中 中 中 中 中 中 中 中 中 C C C C C C C C C C C O O O O O O O O O O O O O O O O O O O O O O M M M M M M M M M M M 学 学 学 学 学 学 学 学 学 学 学 大 大 大 大 大 大 大 大 大 大 大 国 国 国 国 国 国 国 国 国 国 国 中 中 中 中 中 中 中 中 中 中 中 C C C C C C C C C C C O O O O O O O O O O O O O O O O O O O O O O M M M M M M M M M M M 学 学 学 学 学 学 学 学 学 学 学 大 大 大 大 大 大 大 大 大 大 大 国 国 国 国 国 国 国 国 国 国 国 中 中 中 中 中 中 中 中 中 中 中 C C C C C C C C C C C O O O O O O O O O O O O O O O O O O O O O O M M M M M M M M M M M 学 学 学 学 学 学 学 学 学 学 学 大 大 大 大 大 大 大 大 大 大 大 国 国 国 国 国 国 国 国 国 国 国 中 中 中 中 中 中 中 中 中 中 中 C C C C C C C C C C C O O O O O O O O O O O O O O O O O O O O O O M M M M M M M M M M M 学 学 学 学 学 学 学 学 学 学 学 大 大 大 大 大 大 大 大 大 大 大 国 国 国 国 国 国 国 国 国 国 国 中 中 中 中 中 中 中 中 中 中 中 C C C C C C C C C C C O O O O O O O O O O O O O O O O O O O O O O M M M M M M M M M M M 学 学 学 学 学 学 学 学 学 学 学 大 大 大 大 大 大 大 大 大 大 大 国 国 国 国 国 国 国 国 国 国 国 中 中 中 中 中 中 中 中 中 中 中 C C C C C C C C C C C O O O O O O O O O O O O O O O O O O O O O O M M M M M M M M M M M 学 学 学 学 学 学 学 学 学 学 学 大 大 大 大 大 大 大 大 大 大 大 国 国 国 国 国 国 国 国 国 国 国 中 中 中 中 中 中 中 中 中 中 中 C C C C C C C C C C C O O O O O O O O O O O O O O O O O O O O O O M M M M M M M M M M M 学 学 学 学 学 学 学 学 学 学 学 大 dy 大x  y 大 大 y 大 大 大 大 大 大 大 国 例2 国 国 国 arctan 国 ln x 2  y 2 国 c 国 国 国 国 国 中 中 中 中 中 中 中 中 中 中 中 dx x  y x C C C C C C C C C C C O O O O O O O O O O O O O O O O O O O O O O M M M M M M M M M M M 学 学 学 学 学 学 学 学 学 学 学 大 大 大 大 大 大 大 大 大 大 大 国 国 国 国 国 国 国 国 国 国 国 中 中 中 中 中 中 中 中 中 中 中 C C C C C C C C C C C O O O O O O O O O O O O O O O O O O O O O O M M M M M M M M M M M 学 学 学 学 学 学 学 学 学 学 学 大 大 大 大 大 大 大 大 大 大 大 国 国 国 国 国 国 国 国 国 国 国 中 中 中 中 中 中 中 中 中 中 中 C C C C C C C C C C C O O O O O O O O O O O O dy x O  y  1 O O O O O O O O O M例3  M M M M M M M M M M 学 学 学 学 学 学 学 学 学 学 学 大 dx 大x  y  3 大 大 大 大 大 大 大 大 大 国 国 国 国 国 国 国 国 国 国 国 中 中 中 中 中 中 中 中 中 中 中 CC CC CC CC CC CC CC CC CC CC CC OO OO OO OO OO OO OO OO OO OO OO OO OO OO OO OO OO OO OO OO OO OO MM MM MM MM MM MM MM MM MM MM MM 武忠祥考研 学学 学学 学学 学学 学学 学学 学学 学学 学学 学学 学学 大大 大大 大大 大大 大大 大大 大大 大大 大大 大大 大大 国国 国国 国国 国国 国国 国国 国国 国国 国国 国国 国国 中中 中中 中中 中中 中中 中中 中中 中中 中中 中中 中中C C C C C C C C C C C O O O O O O O O O O O O O O O O O O O O O O M M M M M M M M M M M 学 学 学 学 学 学 学 学 学 学 学 大 大 大 大 大 大 大 大 大 大 大 国 国 国 国 国 国 国 国 国 国 国 中 中 中 中 中 中 中 中 中 中 中 C C C C C C C C C C C O O O O O O O O O O O O O O O O O O O O O O M M M M M M M M M M M 学 学 学 学 学 学 学 学 学 学 学 大 大 大 大 大 大 大 大 大 大 大 国 国 国 国 国 国 国 国 国 国 国 中 中 中 中 中 中 中 中 中 中 中 C C C C C C C C C C C O O O O O O O O O O O O O O O O O O O O O O M M M M M M M M M M M 学 学 学 学 学 学 学 学 学 学 学 大 大 大 大 大 大 大 大 大 大 大 国 国 国 国 国 国 国 国 国 国 国 中 中 中 中 中 中 中 中 中 中 中 C C C C C C C C C C C O O O O O O O O O O O O O O O O O O O O O O M M M M M M M M M M M 学 学 学 学 学 学 学 学 学 学 学 大 大 大 大 大 大 大 大 大 大 大 国 国 国 国 国 国 国 国 国 国 国 中 中 中 中 中 中 中 中 中 中 中 C C C C C C C C C C C O O O O O O O O O O O O O O O O O O O O O O M M M M M M M M M M M 学 学 学 学 学 学 学 学 学 学 学 大 大 大 大 大 大 大 大 大 大 大 国 国 国 国 国 国 国 国 国 国 国 中 中 中 中 中 中 中 中 中 中 中 C C C C C C C C C C C O O O O O O O O O O O O O O O O O O O O O O M M M M M M M M M M M 学 学 学 学 学 学 学 学 学 学 学 大 大 大 大 大 大 大 大 大 大 大 国 国 国 国 国 国 国 国 国 国 国 中 中 中 中 中 中 中 中 中 中 中 C C C C C C C C C C C O O O O O O O O O O O O O O O O O O O O O O M M M M M M M M M M M 学 学 学 学 学 学 学 学 学 学 学 大 大 大 大 大 大 大 大 大 大 大 国 国 国 国 国 国 国 国 国 国 国 中 中 中 中 中 中 中 中 中 中 中 C C C C C C C C C C C O O O O O O O O O O O O O O O O O O O O O O M M M M M M M M M M M 学 学 学 学 学 学 学 学 学 学 学 大 大 大 大 大 大 大 大 大 大 大 国 国 国 国 国 国 国 国 国 国 国 中 中 中 中 中 中 中 中 中 中 中 C C C C C C C C C C C O O O O O O O O O O O O O O O O O O O O O O M M M M M M M M M M M 学 学 学 学 学 学 学 学 学 学 学 大 大 大 大 大 大 大 大 大 大 大 国 国 国 国 国 国 国 国 国 国 国 中 中 中 中 中 中 中 中 中 中 中 C C C C C C C C C C C O O O O O O O O O O O O O O O O O O O O O O M M M M M M M M M M M 学 学 学 学 学 学 学 学 学 学 学 大 大 大 大 大 大 大 大 大 大 大 国 国 国 国 国 国 国 国 国 国 国 中 中 中 中 中 中 中 中 中 中 中 C C C C C C C C C C C O O O O O O O O O O O O O O O O O O O O O O M M M M M M M M M M M 学 学 学 学 学 学 学 学 学 学 学 大 大 大 大 大 大 大 大 大 大 大 国 国 国 国 国 国 国 国 国 国 国 中 中 中 中 中 中 中 中 中 中 中 C C C C C C C C C C C O O O O O O O O O O O O O O O O O O O O O O M M M M M M M M M M M 学 学 学 学 学 学 学 学 学 学 学 大 大 大 大 大 大 大 大 大 大 大 国 国 国 国 国 国 国 国 国 国 国 中 中 中 中 中 中 中 中 中 中 中 C C C C C C C C C C C O O O O O O O O O O O O O O O O O O O O O O M M M M M M M M M M M 学 学 学 学 学 学 学 学 学 学 学 大 大 大 大 大 大 大 大 大 大 大 国 国 国 国 国 国 国 国 国 国 国 中 中 中 中 中 中 中 中 中 中 中 C C C C C C C C C C C O O O O O O O O O O O O O O O O O O O O O O M M M M M M M M M M M 学 学 学 学 学 学 学 学 学 学 学 大 大 大 大 大 大 大 大 大 大 大 国 国 国 国 国 国 国 国 国 国 国 中 中 中 中 中 中 中 中 中 中 中 C C C C C C C C C C C O O O O O O O O O O O O O O O O O O O O O O M M M M M M M M M M M 学 学 学 学 学 学 学 学 学 学 学 大 大 大 大 大 大 大 大 大 大 大 国 国 国 国 国 国 国 国 国 国 国 中 中 中 中 中 中 中 中 中 中 中 C C C C C C C C C C C O O O O O O O O O O O O O O O O O O O O O O M M M M M M M M M M M 学 学 学 学 学 学 学 学 学 学 学 大 大 大 大 大 大 大 大 大 大 大 国 国 国 国 国 国 国 国 国 国 国 中 中 中 中 中 中 中 中 中 中 中 作业 C C C C C C C C C C C O O O O O O O O O O O O O O O O O O O O O O M M M M M M M M M M M 学 学 学 学 学 学 学 学 学 学 学 大 大 大 大 大 大 大 大 大 大 大 国 国 国 国 国 国 国 国 国 国 国 中 中 中 中 中 中 中 中 中 中 中 P314 1 (1), (3) ; 2 (2), (3) ; C C C C C C C C C C C O O O O O O O O O O O O O O O O O O O O O O M M M M M M M M M M M 学 学 3 ; 学 学 学 学 学 学 学 学 学 大 大 大 大 大 大 大 大 大 大 大 国 国 国 国 国 国 国 国 国 国 国 中 中 中 中 中 中 中 中 中 中 中 C C C C C C C C C C C O O O O O O O O O O O O O O O O O O O O O O M M M M M M M M M M M 学 学 学 学 学 学 学 学 学 学 学 大 大 大 大 大 大 大 大 大 大 大 国 国 国 国 国 国 国 国 国 国 国 中 中 中 中 中 中 中 中 中 中 中 CC CC CC CC CC CC CC CC CC CC CC OO OO OO OO OO OO OO OO OO OO OO OO OO OO OO OO OO OO OO OO OO OO MM MM MM MM MM MM MM MM MM MM MM 武忠祥考研 学学 学学 学学 学学 学学 学学 学学 学学 学学 学学 学学 大大 大大 大大 大大 大大 大大 大大 大大 大大 大大 大大 国国 国国 国国 国国 国国 国国 国国 国国 国国 国国 国国 中中 中中 中中 中中 中中 中中 中中 中中 中中 中中 中中