当前位置:首页>文档>(55)--7.7笔记小结_01.2026考研数学有道武忠祥刘金峰全程班_01.2026考研数学武忠祥刘金峰全程班_00.书籍和讲义_{3}--全部课件

(55)--7.7笔记小结_01.2026考研数学有道武忠祥刘金峰全程班_01.2026考研数学武忠祥刘金峰全程班_00.书籍和讲义_{3}--全部课件

  • 2026-04-09 15:09:32 2026-02-25 14:57:18

文档预览

(55)--7.7笔记小结_01.2026考研数学有道武忠祥刘金峰全程班_01.2026考研数学武忠祥刘金峰全程班_00.书籍和讲义_{3}--全部课件
(55)--7.7笔记小结_01.2026考研数学有道武忠祥刘金峰全程班_01.2026考研数学武忠祥刘金峰全程班_00.书籍和讲义_{3}--全部课件
(55)--7.7笔记小结_01.2026考研数学有道武忠祥刘金峰全程班_01.2026考研数学武忠祥刘金峰全程班_00.书籍和讲义_{3}--全部课件
(55)--7.7笔记小结_01.2026考研数学有道武忠祥刘金峰全程班_01.2026考研数学武忠祥刘金峰全程班_00.书籍和讲义_{3}--全部课件
(55)--7.7笔记小结_01.2026考研数学有道武忠祥刘金峰全程班_01.2026考研数学武忠祥刘金峰全程班_00.书籍和讲义_{3}--全部课件
(55)--7.7笔记小结_01.2026考研数学有道武忠祥刘金峰全程班_01.2026考研数学武忠祥刘金峰全程班_00.书籍和讲义_{3}--全部课件

文档信息

文档格式
pdf
文档大小
1.453 MB
文档页数
6 页
上传时间
2026-02-25 14:57:18

文档内容

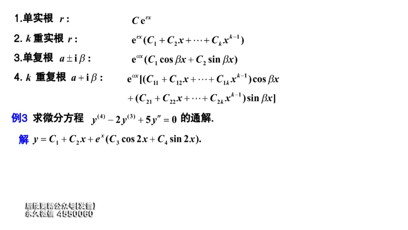
第七章 微分方程 第二节 常系数齐次线性微分方程 主讲 武忠祥 教授二阶齐次线性方程 特征方程 设 是特征方程两个根 1)不等实根: 2)相等实根: 3)共轭复根:例1 求微分方程 的通解. 例2 求微分方程 的通解. 例3 求微分方程 的通解.1.单实根 2. 重实根 3.单复根 4. 重复根 例3 求微分方程 的通解. 解内容小结 特征方程 设 是特征方程两个根 1)不等实根: 2)相等实根: 3)共轭复根: 可推广到高阶常系数线性齐次方程求通解 .作业 P346 1 ; (3) , (6) , (10) 2 3 (2) , (3) , (6) ;