当前位置:首页>文档>1-1高数基础真题测试_考研_数学_04.武忠祥_25武忠祥《学习包》答案_01.基础班学习包_00.高数学习包纯题版

1-1高数基础真题测试_考研_数学_04.武忠祥_25武忠祥《学习包》答案_01.基础班学习包_00.高数学习包纯题版

  • 2026-04-02 23:02:47 2026-04-02 23:00:06

文档预览

1-1高数基础真题测试_考研_数学_04.武忠祥_25武忠祥《学习包》答案_01.基础班学习包_00.高数学习包纯题版
1-1高数基础真题测试_考研_数学_04.武忠祥_25武忠祥《学习包》答案_01.基础班学习包_00.高数学习包纯题版
1-1高数基础真题测试_考研_数学_04.武忠祥_25武忠祥《学习包》答案_01.基础班学习包_00.高数学习包纯题版
1-1高数基础真题测试_考研_数学_04.武忠祥_25武忠祥《学习包》答案_01.基础班学习包_00.高数学习包纯题版

文档信息

文档格式
pdf
文档大小
1.399 MB
文档页数
2 页
上传时间
2026-04-02 23:00:06

文档内容

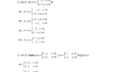
公众号:研池大叔 免费分享考研课程&书籍 1.(88-1;2)已知 , ,且 ,求 并写出它的定义域. , . 2.(92-2)设 则 (A) (B) (C) (D) 3.(97-2)设函数 则 (A) (B) (C) (D) - 1 -「公众号:研池大叔,免费分享」公众号:研池大叔 免费分享考研课程&书籍 4.(01-2)设 则 (A) . (B) . (C) (D) 5.(87-3)若函数 在区间 上严格单增,则对区间 内任何一点 有 .判断上述说法是否正确。 (A)正确 (B)错误 6.(87-2) 是 (A)有界函数. (B)单调函数. (C)周期函数. (D)偶函数. - 2 -「公众号:研池大叔,免费分享」