当前位置:首页>文档>2023届高三数学专题三角函数与解三角形讲义三、三角恒等变换_02高考数学_新高考复习资料_2023年新高考资料_专项复习_2023届高三数学专题三角函数与解三角形讲义

2023届高三数学专题三角函数与解三角形讲义三、三角恒等变换_02高考数学_新高考复习资料_2023年新高考资料_专项复习_2023届高三数学专题三角函数与解三角形讲义

  • 2026-04-06 04:21:05 2026-04-06 04:12:43

文档预览

2023届高三数学专题三角函数与解三角形讲义三、三角恒等变换_02高考数学_新高考复习资料_2023年新高考资料_专项复习_2023届高三数学专题三角函数与解三角形讲义
2023届高三数学专题三角函数与解三角形讲义三、三角恒等变换_02高考数学_新高考复习资料_2023年新高考资料_专项复习_2023届高三数学专题三角函数与解三角形讲义
2023届高三数学专题三角函数与解三角形讲义三、三角恒等变换_02高考数学_新高考复习资料_2023年新高考资料_专项复习_2023届高三数学专题三角函数与解三角形讲义
2023届高三数学专题三角函数与解三角形讲义三、三角恒等变换_02高考数学_新高考复习资料_2023年新高考资料_专项复习_2023届高三数学专题三角函数与解三角形讲义
2023届高三数学专题三角函数与解三角形讲义三、三角恒等变换_02高考数学_新高考复习资料_2023年新高考资料_专项复习_2023届高三数学专题三角函数与解三角形讲义
2023届高三数学专题三角函数与解三角形讲义三、三角恒等变换_02高考数学_新高考复习资料_2023年新高考资料_专项复习_2023届高三数学专题三角函数与解三角形讲义

文档信息

文档格式
docx
文档大小
0.210 MB
文档页数
3 页
上传时间
2026-04-06 04:12:43

文档内容

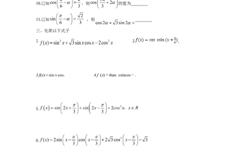
三、三角恒等变换 1.两角和与差的正弦、余弦和正切公式 sin(α±β)=sinαcosβ±cosαsinβ. cos(α∓β)=cosαcosβ±sinαsinβ. tan(α±β)=____________. 2.二倍角的正弦、余弦、正切公式 sin 2α=____________ cos 2α=___________=___________=___________ tan 2α=____________. 变形::cos2α=___________,sin2α=____________. 3.化一公式:函数f(α)=asin α+bcos α(a,b为常数),可以化为 f(α)=sin(α+φ) 题型一、三角函数式的化简 1.化简:sin(α+β)cos(γ-β)-cos(β+α)sin(β-γ)=________. 2.cos(α+β)cos β+sin(α+β)sin β=( ) A.sin(α+2β) B.sin α C.cos(α+2β) D.cos α 3.tan 20°+tan 40°+tan 20°·tan 40°=________. 4.若cos α=-,α是第三象限的角,则sin等于( ) A.- B. C.- D. 5.若=·sin 2θ,则sin 2θ=( ) A. B. C.- D.- 题型二、三角函数式的求值 1.计算: =_________ cos200°cos80°+cos110°cos10°= . 2,已知 则 等于( ) A. B.0或 C. D.0或- 3.已知cos α=,cos(α-β)=,若0<β<α<,则β=________. 4. 已知 , , , . (1)求 的值.(2)求 的值. 5. 已知 , 都是锐角, , ,则 ( ) A. B. C. D. 6.已知α,β为锐角,cos α=,且sin(α+β)=,则角β=________.7.若 ,则 ________ 8.已知 ,则 _________ 9. 已知 ,则 ( ) A. B. C. D. 10.已知 ,则 的值为________ 11.已知 ,则 ________ 三、化简以下式子 1. 2. . 3.f(x)=sin+cos. 4.f (x)=4tan xsincos-. 5. 6.