当前位置:首页>文档>专题3圆锥曲线中的长度问题(原卷版)-学霸养成.2022高考数学圆锥曲线压轴大题必杀技_02高考数学_新高考复习资料_2023年新高考资料_专项复习

专题3圆锥曲线中的长度问题(原卷版)-学霸养成.2022高考数学圆锥曲线压轴大题必杀技_02高考数学_新高考复习资料_2023年新高考资料_专项复习

  • 2026-04-14 01:59:05 2026-04-14 01:30:39

文档预览

专题3圆锥曲线中的长度问题(原卷版)-学霸养成.2022高考数学圆锥曲线压轴大题必杀技_02高考数学_新高考复习资料_2023年新高考资料_专项复习
专题3圆锥曲线中的长度问题(原卷版)-学霸养成.2022高考数学圆锥曲线压轴大题必杀技_02高考数学_新高考复习资料_2023年新高考资料_专项复习
专题3圆锥曲线中的长度问题(原卷版)-学霸养成.2022高考数学圆锥曲线压轴大题必杀技_02高考数学_新高考复习资料_2023年新高考资料_专项复习
专题3圆锥曲线中的长度问题(原卷版)-学霸养成.2022高考数学圆锥曲线压轴大题必杀技_02高考数学_新高考复习资料_2023年新高考资料_专项复习
专题3圆锥曲线中的长度问题(原卷版)-学霸养成.2022高考数学圆锥曲线压轴大题必杀技_02高考数学_新高考复习资料_2023年新高考资料_专项复习
专题3圆锥曲线中的长度问题(原卷版)-学霸养成.2022高考数学圆锥曲线压轴大题必杀技_02高考数学_新高考复习资料_2023年新高考资料_专项复习
专题3圆锥曲线中的长度问题(原卷版)-学霸养成.2022高考数学圆锥曲线压轴大题必杀技_02高考数学_新高考复习资料_2023年新高考资料_专项复习
专题3圆锥曲线中的长度问题(原卷版)-学霸养成.2022高考数学圆锥曲线压轴大题必杀技_02高考数学_新高考复习资料_2023年新高考资料_专项复习
专题3圆锥曲线中的长度问题(原卷版)-学霸养成.2022高考数学圆锥曲线压轴大题必杀技_02高考数学_新高考复习资料_2023年新高考资料_专项复习
专题3圆锥曲线中的长度问题(原卷版)-学霸养成.2022高考数学圆锥曲线压轴大题必杀技_02高考数学_新高考复习资料_2023年新高考资料_专项复习
专题3圆锥曲线中的长度问题(原卷版)-学霸养成.2022高考数学圆锥曲线压轴大题必杀技_02高考数学_新高考复习资料_2023年新高考资料_专项复习
专题3圆锥曲线中的长度问题(原卷版)-学霸养成.2022高考数学圆锥曲线压轴大题必杀技_02高考数学_新高考复习资料_2023年新高考资料_专项复习
专题3圆锥曲线中的长度问题(原卷版)-学霸养成.2022高考数学圆锥曲线压轴大题必杀技_02高考数学_新高考复习资料_2023年新高考资料_专项复习
专题3圆锥曲线中的长度问题(原卷版)-学霸养成.2022高考数学圆锥曲线压轴大题必杀技_02高考数学_新高考复习资料_2023年新高考资料_专项复习
专题3圆锥曲线中的长度问题(原卷版)-学霸养成.2022高考数学圆锥曲线压轴大题必杀技_02高考数学_新高考复习资料_2023年新高考资料_专项复习
专题3圆锥曲线中的长度问题(原卷版)-学霸养成.2022高考数学圆锥曲线压轴大题必杀技_02高考数学_新高考复习资料_2023年新高考资料_专项复习
专题3圆锥曲线中的长度问题(原卷版)-学霸养成.2022高考数学圆锥曲线压轴大题必杀技_02高考数学_新高考复习资料_2023年新高考资料_专项复习
专题3圆锥曲线中的长度问题(原卷版)-学霸养成.2022高考数学圆锥曲线压轴大题必杀技_02高考数学_新高考复习资料_2023年新高考资料_专项复习
专题3圆锥曲线中的长度问题(原卷版)-学霸养成.2022高考数学圆锥曲线压轴大题必杀技_02高考数学_新高考复习资料_2023年新高考资料_专项复习
专题3圆锥曲线中的长度问题(原卷版)-学霸养成.2022高考数学圆锥曲线压轴大题必杀技_02高考数学_新高考复习资料_2023年新高考资料_专项复习

文档信息

文档格式
docx
文档大小
0.932 MB
文档页数
16 页
上传时间
2026-04-14 01:30:39

文档内容

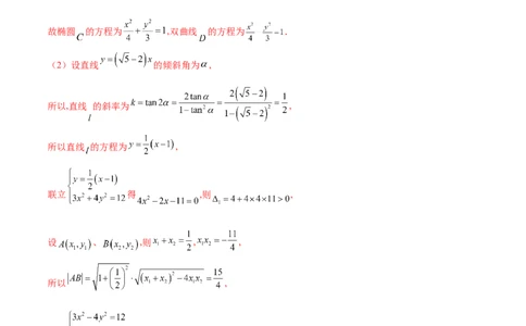
专题 3 圆锥曲线中的长度问题 一、考情分析 圆锥曲线中的长度问题是直线与圆锥曲线中最基本的问题,一般出现在解答题第2问,常见的有焦半径、弦长、 两点间距离、点到直线距离、三角形周长等,求解方法可以用两点间距离公式、弦长公式、点到直线距离公 式、函数求最值等. 二、解题秘籍 (一) 利用两点间距离公式求线段长度 若直线与圆锥曲线的交点坐标已知或可求,可直线利用两点间距离公式求线段长度. 【例1】(2022届山西省吕梁市高三上学期12月月考)在平面直角坐标系 中,已知椭圆 的右准线为 (定义:椭圆C的右准线方程为 ,其中 ).点P 是右准线上的动点,过点P作椭圆C的两条切线,分别与y轴交于M,N两点.当P在x轴上时, . (1)求椭圆C的方程; (2)求 的最小值. 【解析】(1)由题意可知,当P点坐标为 时, , 不妨设点M在点N上方,则 , 所以直线 与椭圆C相切,将直线 与椭圆方程联立, 消去y,整理得 , 则 ,整理得 , 又 ,解得 或 (舍去),所以 , 即椭圆C的方程为 ;(2)设 ,切线方程为 , 将切线方程与椭圆联立, 消去y,整理得 , 则 , 整理得 , 设切线 斜率为 ,直线 斜率为 , 则 , ,且 , , 所以 , 将 , 代入上式,整理得 , 当 时,上述等号成立,即 的最小值为4. (二) 利用 求距离 设斜率为k(k≠0)的直线l与圆锥曲线C相交于A(x,y),B(x,y)两点,则|AB|=|x-x|. 1 1 2 2 2 1 其中求|x-x|通常使用根与系数的关系,即作如下变形:|x-x|= , 2 1 2 1 【例2】(2022届陕西省安康市高三下学期联考)已知椭圆 长轴的顶点与双曲线 实轴的顶点相同,且 的右焦点 到 的渐近线的距离为 . (1)求 与 的方程; (2)若直线 的倾斜角是直线 的倾斜角的 倍,且 经过点 , 与 交于 、 两点,与 交于 、两点,求 . 【解析】(1)由题意可得 ,则 . 因为 的渐近线方程为 ,即 , 椭圆 的右焦点为 ,由题意可得 , ,解得 , 故椭圆 的方程为 ,双曲线 的方程为 . (2)设直线 的倾斜角为 , 所以,直线 的斜率为 , 所以直线 的方程为 , 联立 得 ,则 , 设 、 ,则 , , 所以 , 联立 可得 , , 设点 、 ,则 , , 所以, ,故 .(三) 利用 求距离 设斜率为k(k≠0)的直线l与圆锥曲线C相交于A(x,y),B(x,y)两点,则|AB|=|y-y|.当消去x整理方程为关于y 1 1 2 2 2 1 的一元二次方程常用此结论.其中求|y -y|时通常使用根与系数的关系,即作如下变形:|y -y|= 2 1 2 1 . 【例3】(2023届重庆市巴蜀中学校高三上学期月考)已知椭圆 的离心率 ; 上顶点为A,右顶点为 ,直线 与圆 相切. (1)求椭圆 的标准方程; (2)设与圆 相切的直线 与椭圆相交于 两点, 为弦 的中点, 为坐标原点.求 的取值范 围. 【解析】(1)由 知 , 原点 到直线 的距离为 ,故 , 故椭圆 的标准方程为 . (2) 时: ,或 ,故 ; 直线 斜率不存在时, ,或 .故 ; 直线 斜率存在且不为0时:设直线 的方程为 ( ), 由直线 与圆 相切,所以 ,即 , 联立 得 , 设 ,由韦达定理: , , , 所以 中点 的坐标为 , 故 , 故 , ,当且仅当 , 时等号成立, 综上: 的取值范围是 . (四) 利用点到直线距离公式求垂线段的长 1.若已知定点P,点Q在动直线上,求 最小值,常利用点到直线距离公式; 2.若点P在定直线上,点Q为曲线上,求 最小值,有时可转换为与定直线平行的切线的切点到定直线的距 离. 【例4】(2023届上海市华东师范大学第二附属中学高三上学期考试)设有椭圆方程,直线 , 下端点为 ,左、右焦点分别为 在 上. (1)若 中点在 轴上,求点 的坐标; (2)直线 与 轴交于 ,直线 经过右焦点 ,且 ,求 ; (3)在椭圆 上存在一点 到 距离为 ,使 ,当 变化时,求 的最小值. 【解析】(1)因为左焦点 ,所以 ,由题知 ,所以 , , 又因为 中点在 轴上,所以点 的纵坐标为1,代入 中的 , 所以点 坐标为 . (2) 如图,设直线 与 轴交点为 , 因为直线 为 ,所以直线 的倾斜角为 , ①, 由题意知, , , ,所以在 中, , ,所以 ,整理可得 ,解得 或 , 又因为 ,所以 , 舍去, . (3)设直线 平移后与椭圆相切的直线 方程为 ,联立 , 得 , ,所以 , 因为椭圆上存在点 到直线 的距离为 , ,即 所以 ①,同时 , 又因为 ,所以①式右侧肯定成立,左侧可以整理为 , 解得 , 因为 ,所以当 取得最小值 时, 有最大值,最大值为 . (五) 利用函数思想求距离最值 求圆锥曲线上的动点到一定点距离的最值,有时可设出动点坐标,利用距离公式把问题转化为函数求最值. 【例5】已知椭圆 的长轴长为 ,点 在 上. (1)求 的方程; (2)设 的上顶点为A,右顶点为B,直线 与 平行,且与 交于 , 两点, ,点 为 的右焦点, 求 的最小值.【解析】(1)因为 的长轴长为 ,所以 ,即 . 又点 在 上,所以 ,代入 ,解得 , 故 的方程为 . (2)由(1)可知,A,B的坐标分别为 , , 直线 的方程为 , 设 , 联立 得 , 由 ,得 , 设 , , ,因为 ,所以D为MN的中点, 则 , 因为 ,所以 , 又 的坐标为 , 所以 , 因为 ,所以当 时, 取得最小值,且最小值为 . (六) 利用圆锥曲线定义求长度 与圆锥曲线焦点弦或焦半径有关的长度计算可利用圆锥曲线定义求解.【例6】(2022届湖南省长沙市宁乡市高三下学期5月模拟)已知抛物线 的焦点与椭圆 的右焦点 重合,椭圆 的长轴长为 . (1)求椭圆 的方程; (2)过点 且斜率为 的直线 交椭圆 于 两点,交抛物线 于 两点,请问是否存在实常数 ,使 为定值?若存在,求出 的值;若不存在,说明理由. 【解析】(1)因为抛物线 的焦点为 , 所以 ,又 ,则 , 故椭圆 的方程为: ; (2)设 、 、 、 , 设直线 的方程为 ,与椭圆 的方程联立 , 得 , ∴ , , ∴ ,设直线 的方程 ,与抛物线G的方程联立 , 得 , ∴ , , ∴ , ∴ , 要使 为常数,则 ,解得 , 故存在 ,使得 为定值 . 【例7】(2023届江苏省南京市高三上学期测试)已知点B是圆C: 上的任意一点,点F( ,0),线段BF的垂直平分线交BC于点P. (1)求动点Р的轨迹E的方程; (2)设曲线E与x轴的两个交点分别为A,A,Q为直线x=4上的动点,且Q不在x轴上,QA 与E的另一个交点 1 2 1 为M,QA 与E的另一个交点为N,证明: FMN的周长为定值. 2 【解析】(1)因为点P在BF垂直平分△线上,所以有 , 所以: ,即PF+PC为定值4 , 所以轨迹E为椭圆,且 ,所以 , 所以轨迹E的方程为: . (2)由题知: , 设 则 , ,所以QA 方程为: ,QA 方程为: , 1 2 联立方程: ,可以得出M: 同理可以计算出点N坐标: , 当 存在,即 ,即 时, 所以直线MN的方程为: 即: ,所以直线过定点 , 即过椭圆的右焦点 ,所以 FMN的周长为4a=8. △ 当 不存在,即 ,即 时, 可以计算出 ,周长也等于8. 所以 FMN的周长为定值8. 三、△跟踪检测 1.(2023届北京市高三上学期入学定位考试)已知椭圆C: (其中 )的离心率为 , 左右焦点分别为 , . (1)求椭圆C的方程; (2)过点 作斜率为k的直线与椭圆C交于不同的A,B两点,过原点作AB的垂线,垂足为D.若点D恰好是 与A的中点,求线段AB的长度. 2.(2023届福建省部分名校高三上学期9月联考)已知两点 , ,动点 在 轴的投影为 ,且,记动点 的轨迹为曲线 . (1)求 的方程. (2)过点 的直线与曲线 在 轴右侧相交于 , 两点,线段 的垂直平分线与 轴相交于点 ,试 问 是否为定值?若是,求出该定值;若不是,请说明理由. 3.(2023届四川省巴中市高三上学期考试)已知椭圆 : 的左、右顶点分别为 、 ,点 在椭圆 上,且直线 的斜率与直线 的斜率之积为 . (1)求椭圆 的方程; (2)若圆 的切线 与椭圆 交于 、 两点,求 的最大值及此时直线 的斜率. 4.(2023届安徽省部分校高三上学期摸底考)已知 为坐标原点,椭圆 过点 ,记线段 的中点为 . (1)若直线 的斜率为 3 ,求直线 的斜率; (2)若四边形 为平行四边形,求 的取值范围. 5.(2023届辽宁省朝阳市高三上学期9月月考)已知双曲线 的离心率为 ,点 在双曲线 上. (1)求双曲线 的方程; (2)点 , 在双曲线 上,直线 , 与 轴分别相交于 两点,点 在直线 上,若坐标原点 为线段 的中点, ,证明:存在定点 ,使得 为定值.6.(2023届北京市房山区高三上学期考试)已知椭圆 的长轴的两个端点分别为 离心率为 . (1)求椭圆C的标准方程; (2)M为椭圆C上除A,B外任意一点,直线 交直线 于点N,点O为坐标原点,过点O且与直线 垂直 的直线记为l,直线 交y轴于点P,交直线l于点Q,求证: 为定值. 7.(2022届浙江省“数海漫游”高三上学期模拟)已知斜率为k的直线l与抛物线y2=4x交于A、B两点,y 轴上的点P使得△ABP是等边三角形. (1)若k>0,证明:点P在y轴正半轴上; (2)当 取到最大值时,求实数k的值. 8.(2022届上海市建平中学高三上学期考试)设实数 ,椭圆D: 的右焦点为F,过F且斜率 为k的直线交D于P、Q两点,若线段PQ的中为N,点O是坐标原点,直线ON交直线 于点M. (1)若点P的横坐标为1,求点Q的横坐标; (2)求证: ; (3)求 的最大值. 9.(2022届江苏省南京高三上学期12月联考)已知椭圆C: 0)的离心率为 ,右顶点 为A,过点B(a,1)的直线l与椭圆C交于不同的两点M,N,其中点M在第一象限当点M,N关于原点对称时,点M的横坐标为 . (1)求椭圆C的方程; (2)过点N作x轴的垂线,与直线AM交于点P,Q为线段NP的中点,求直线AQ的斜率,并求线段AQ长度的 最大值. 10.(2022届广东省华南师范大学附属中学高三上学期综合测试)已知椭圆 经过 点 ,离心率为 . (1)求椭圆 的方程; (2)直线 与椭圆 相交于 两点,求 的最大值. 11.(2022届百校联盟高三上学期11月质监)在平面直角坐标系 中,动点 ,满足 ,记点 的轨迹为 . (1)请说明 是什么曲线,并写出它的方程; (2)设不过原点 且斜率为 的直线 与 交于不同的两点 , ,线段 的中点为 ,直线 与 交于两 点 , ,请判断 与 的关系,并证明你的结论. 12.(2022届河南省县级示范性高中高三上学期11月尖子生对抗赛)已知椭圆 : ( )与过原点的直线相交于 , 两点,上顶点 满足 (其中 表示直线的概率). (1)求椭圆 的标准方程; (2)若与直线 平行且过椭圆 的右焦点 的直线 交椭圆 于 , 两点,证明: 为定值. 13.(2022届江苏省泰州市高三上学期12月阶段性测试)已知椭圆 ,短轴长为 ,离心率为 .过右焦点 且不与坐标轴垂直的直线 交椭圆于 、 两点, 的中垂线交 轴于点 ,交直 线 于点 . (1)求 的方程; (2)求 的大小; (3)证明: 、 、 、 四点共圆. 14.(2022届上海市黄浦区高三一模)设常数 且 ,椭圆 : ,点 是 上的动点. (1)若点 的坐标为 ,求 的焦点坐标; (2)设 ,若定点 的坐标为 ,求 的最大值与最小值; (3)设 ,若 上的另一动点 满足 ( 为坐标原点),求证: 到直线PQ的距离是定值. 15.(2022届重庆市巴蜀中学高三上学期月考)已知圆 : , , 为圆 上的动点, 若线段 的垂直平分线交 于点 . (1)求动点 的轨迹 的方程; (2)已知 为 上一点,过 作斜率互为相反数且不为0的两条直线 , 分别交曲线 于 , ,求 的取值范围.