当前位置:首页>文档>2025年全国普通高等学校运动训练、武术与民族传统体育单招考试数学模拟试卷_006体育资料_数学2018-2025真题+57套模拟卷_2025(新考纲)全国体育单招全真模拟卷(数学)(6套)

2025年全国普通高等学校运动训练、武术与民族传统体育单招考试数学模拟试卷_006体育资料_数学2018-2025真题+57套模拟卷_2025(新考纲)全国体育单招全真模拟卷(数学)(6套)

  • 2026-03-17 20:25:32 2026-01-29 11:32:27

文档预览

2025年全国普通高等学校运动训练、武术与民族传统体育单招考试数学模拟试卷_006体育资料_数学2018-2025真题+57套模拟卷_2025(新考纲)全国体育单招全真模拟卷(数学)(6套)
2025年全国普通高等学校运动训练、武术与民族传统体育单招考试数学模拟试卷_006体育资料_数学2018-2025真题+57套模拟卷_2025(新考纲)全国体育单招全真模拟卷(数学)(6套)
2025年全国普通高等学校运动训练、武术与民族传统体育单招考试数学模拟试卷_006体育资料_数学2018-2025真题+57套模拟卷_2025(新考纲)全国体育单招全真模拟卷(数学)(6套)
2025年全国普通高等学校运动训练、武术与民族传统体育单招考试数学模拟试卷_006体育资料_数学2018-2025真题+57套模拟卷_2025(新考纲)全国体育单招全真模拟卷(数学)(6套)

文档信息

文档格式
docx
文档大小
0.081 MB
文档页数
2 页
上传时间
2026-01-29 11:32:27

文档内容

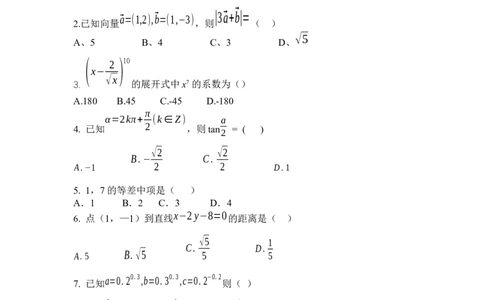
2025年全国普通高等学校运动训练、武术与民族传统 体育专业单独统一招生考试 数学模拟卷 一选择题本题共8小题,每小题8分共64分。在每小题给出的四个选项中只有一项是符合题 目要求的。请将所选答案的字母在答题卡上涂黑。 M={x|x>−1},N={x|x2 >1},则M∩N= 1.已知集合 ( ) {x|x>−1} {x|x>1或x<−1} A. B. {x|x>1} {x|−12 1 10. 不等式 2 的解集是______. 11.已知二次函数 f(x)=ax2 −3a2x−1 ,若 f (x)在(1,+∞)单调递增,则a的取值 范围是 _______. 12. 在ΔABC中,AC=2,BC=3,AB=4,则cosC=________; 三、解答题:本题共3小题,每小题18分,共54分。解答应写出文字说明、证明过程或演算步 骤。请将各题的答案写在答题卡上的相应位置。 13. 已知ΔABC的内角 A,B,C 成等差数列 (1)求B sinA+√3cosA (2)求 的最大值 14. 如图,四棱柱 P-ABCD 的底边是边长为 2 的正方形,侧面 PAD⊥底面 ABCD,且PA=PD=,E、F分别是PC,BD的中点 (1)证明:EF∥平面PAD; (2)求二面角P-DB-A的正切值 P E D C F A B 15.已知椭圆C:+=1(a>b>0)的离心率为,焦距是4 (1)求C的方程; (2)过点(-3,0)且斜率为k的直线l与C相交于A,B两点,O为坐标原点,当 AO⊥OB时,求k的值