当前位置:首页>文档>重难点13力学实验-2023年高考物理热点·重点·难点专练(全国通用)(原卷版)_4.2025物理总复习_赠品通用版(老高考)复习资料_专项复习

重难点13力学实验-2023年高考物理热点·重点·难点专练(全国通用)(原卷版)_4.2025物理总复习_赠品通用版(老高考)复习资料_专项复习

  • 2026-04-03 06:36:27 2026-03-11 02:25:28

文档预览

重难点13力学实验-2023年高考物理热点·重点·难点专练(全国通用)(原卷版)_4.2025物理总复习_赠品通用版(老高考)复习资料_专项复习
重难点13力学实验-2023年高考物理热点·重点·难点专练(全国通用)(原卷版)_4.2025物理总复习_赠品通用版(老高考)复习资料_专项复习
重难点13力学实验-2023年高考物理热点·重点·难点专练(全国通用)(原卷版)_4.2025物理总复习_赠品通用版(老高考)复习资料_专项复习
重难点13力学实验-2023年高考物理热点·重点·难点专练(全国通用)(原卷版)_4.2025物理总复习_赠品通用版(老高考)复习资料_专项复习
重难点13力学实验-2023年高考物理热点·重点·难点专练(全国通用)(原卷版)_4.2025物理总复习_赠品通用版(老高考)复习资料_专项复习
重难点13力学实验-2023年高考物理热点·重点·难点专练(全国通用)(原卷版)_4.2025物理总复习_赠品通用版(老高考)复习资料_专项复习
重难点13力学实验-2023年高考物理热点·重点·难点专练(全国通用)(原卷版)_4.2025物理总复习_赠品通用版(老高考)复习资料_专项复习
重难点13力学实验-2023年高考物理热点·重点·难点专练(全国通用)(原卷版)_4.2025物理总复习_赠品通用版(老高考)复习资料_专项复习
重难点13力学实验-2023年高考物理热点·重点·难点专练(全国通用)(原卷版)_4.2025物理总复习_赠品通用版(老高考)复习资料_专项复习
重难点13力学实验-2023年高考物理热点·重点·难点专练(全国通用)(原卷版)_4.2025物理总复习_赠品通用版(老高考)复习资料_专项复习
重难点13力学实验-2023年高考物理热点·重点·难点专练(全国通用)(原卷版)_4.2025物理总复习_赠品通用版(老高考)复习资料_专项复习

文档信息

文档格式
docx
文档大小
0.872 MB
文档页数
11 页
上传时间
2026-03-11 02:25:28

文档内容

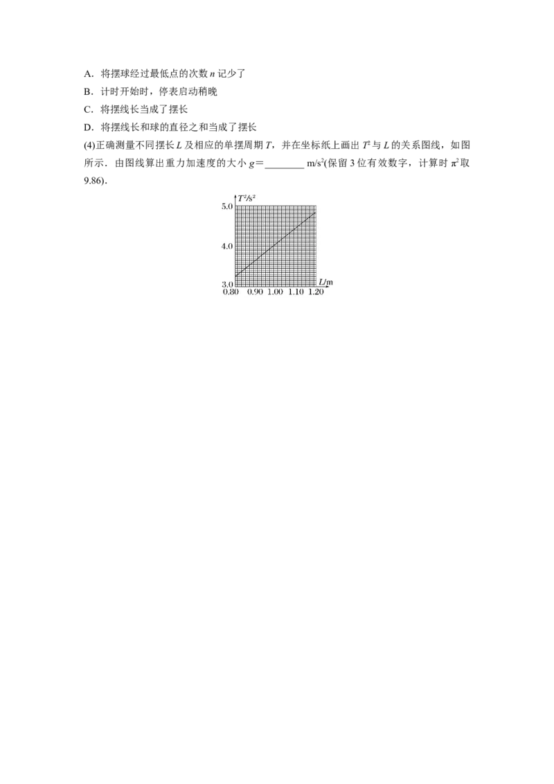
重难点 13 力学实验 力学实验时高中实验的基础,涉及到很多实验方法,像控制变量法,等效替代法; 涉及到很多实验数据的处理方法,像多次测量求平均值法,图像法。力学实验要首 先根据实验原理,设计实验,正确处理实验数据,得出实验结论。力学实验还是很 多基本物理量的测量问题,像长度的测量,时间的测量,速度的测量,加速度的测 量,力的测量,动能的测量, 重力势能的测量,动量的测量。 例题1. 用如图所示的实验装置验证机械能守恒定律,实验所用的电源为学生电源,可输 出交流电和直流电.重锤从高处由静止开始下落,打点计时器在重锤拖着的纸带上打出一 系列的点,对图中纸带上的点迹进行测量,即可验证机械能守恒定律. (1)下列几个操作步骤中: A.按照图示,安装好实验装置 B.将打点计时器接到电源的“交流输出”上 C.用天平测出重锤的质量 D.先释放重锤,后接通电源,纸带随着重锤运动,打点计时器在纸带上打下一系列的点 E.测量纸带上某些点间的距离 F.根据测量的结果计算重锤下落过程中减少的重力势能是否等于增加的动能 没有必要的是________,操作错误的是________.(填步骤前相应的字母) (2)在使用质量为m的重锤和打点计时器验证机械能守恒定律的实验中,在选定的纸带上依 次取计数点如图所示,纸带上所打的点记录了重锤在不同时刻的位置,那么纸带的 ________(填“左”或“右”)端与重锤相连.设打点计时器的打点周期为 T,且“0”为打 下的第一个点,当打点计时器打点“3”时,重锤的动能表达式为________________,若以 重锤的运动起点“0”为参考点,当打点“3”时重锤的机械能表达式为________________. 题2. 用如图所示的装置可以验证动量守恒定律,在滑块 A和B相碰的端面上装上弹性碰撞架,它们的上端装有等宽的挡光片. (1)实验前需要调节气垫导轨水平,借助光电门来检验气垫导轨是否水平的方法是 _________. (2)为了研究两滑块所组成的系统在弹性碰撞和完全非弹性碰撞两种情况下的动量关系,实 验分两次进行. 第一次:将滑块A置于光电门1的左侧,滑块B静置于两光电门间的某一适当位置.给A 一个向右的初速度,通过光电门1的时间为Δt ,A与B碰撞后又分开,滑块A再次通过光 1 电门1的时间为Δt,滑块B通过光电门2的时间为Δt. 2 3 第二次:在两弹性碰撞架的前端贴上双面胶,同样让滑块 A置于光电门1的左侧,滑块B 静置于两光电门间的某一适当位置.给A一个向右的初速度,通过光电门1的时间为Δt , 4 A与B碰撞后粘连在一起,滑块B通过光电门2的时间为Δt. 5 为完成该实验,还必须测量的物理量有________(填选项前的字母). A.挡光片的宽度d B.滑块A的总质量m 1 C.滑块B的总质量m 2 D.光电门1到光电门2的距离L (3)在第二次实验中若滑块 A 和 B 在碰撞的过程中动量守恒,则应该满足的表达式为 ________________(用已知量和测量量表示). (4)在第一次实验中若滑块 A和B在碰撞的过程中机械能守恒,则应该满足的表达式为 ________________(用已知量和测量量表示). 一、速度与加速度的测量 ①利用平均速度求瞬时速度:v==. n ②利用逐差法求解平均加速度 a=,a=,a=⇒a==. 1 2 3 ③利用速度—时间图像求加速度 a.作出速度—时间图像,通过图像的斜率求解物体的加速度; b.剪下相邻计数点的纸带紧排在一起求解加速度.二、胡克定律实验原理 (1)如图所示,弹簧下端悬挂钩码时会伸长,平衡时弹簧产生的弹力与所挂钩码的重力大小 相等. (2)用刻度尺测出弹簧在不同钩码拉力下的伸长量x,建立直角坐标系,以纵坐标表示弹力 大小F,以横坐标表示弹簧的伸长量x,在坐标系中描出实验所测得的各组(x,F)对应的点, 用平滑的曲线连接起来,根据实验所得的图线,就可探知弹力大小与形变量间的关系. 三、平行四边形定则实验原理 (1)等效法:一个力F′的作用效果和两个力F 、F 的作用效果都是让同一条一端固定的橡 1 2 皮条伸长到同一点,所以一个力F′就是这两个力F 和F 的合力,作出力F′的图示,如 1 2 图所示. (2)平行四边形定则:根据平行四边形定则作出力F 和F 的合力F的图示. 1 2 (3)验证:比较F和F′的大小和方向,若在误差允许的范围内相等,则验证了力的平行四 边形定则. 四、牛顿第二定律实验原理 (1)保持质量不变,探究加速度跟合外力的关系. (2)保持合外力不变,探究加速度与质量的关系. (3)作出a-F图像和a-图像,确定a与F、m的关系. 五、平抛运动实验原理 计算平抛物体的初速度 情景1:若原点O为抛出点,利用公式x=vt和y=gt2即可求出多个初速度v =x,最后求 0 0 出初速度的平均值,这就是做平抛运动的物体的初速度. 情景2:若原点O不是抛出点 ①在轨迹曲线上取三点A、B、C,使x =x =x,如图所示.A到B与B到C的时间相等, AB BC设为T. ②用刻度尺分别测出y 、y 、y ,则有y =y -y ,y =y -y . A B C AB B A BC C B ③y -y =gT2,且vT=x,由以上两式得v=x. BC AB 0 0 六、向心力实验原理 本实验探究了向心力与多个物理量之间的关系,因而实验方法采用了控制变量法,如图所 示,匀速转动手柄,可以使塔轮、长槽和短槽匀速转动,槽内的小球也就随之做匀速圆周 运动,此时小球向外挤压挡板,挡板对小球有一个向内的(指向圆周运动圆心)的弹力作为 小球做匀速圆周运动的向心力,可以通过标尺上露出的红白相间等分标记,粗略计算出两 球所需向心力的比值. 在实验过程中可以通过两个小球同时做圆周运动对照,分别分析下列情形: (1)在质量、半径一定的情况下,探究向心力大小与角速度的关系. (2)在质量、角速度一定的情况下,探究向心力大小与半径的关系. (3)在半径、角速度一定的情况下,探究向心力大小与质量的关系. 七、机械能守恒定律实验原理 通过实验,求出做自由落体运动物体的重力势能的减少量和对应过程动能的增加量,在实 验误差允许范围内,若二者相等,说明机械能守恒,从而验证机械能守恒定律. 八、动量守恒定律实验原理 在一维碰撞中,测出相碰的两物体的质量m 、m 和碰撞前、后物体的速度v 、v 、v′、 1 2 1 2 1 v′,算出碰撞前的动量p=mv+mv 及碰撞后的动量p′=mv′+mv′,看碰撞前、 2 1 1 2 2 1 1 2 2 后动量是否相等. 九、单摆测重力加速度原理 当摆角较小时,单摆做简谐运动,其运动周期为T=2π,由此得到g=,因此,只要测出摆 长l和振动周期T,就可以求出当地的重力加速度g的值.(建议用时:30分钟) 1.某同学用如图(a)所示的装置测量重力加速度. 实验器材:有机玻璃条(白色是透光部分,黑色是宽度均为d=1.00 cm的挡光片),铁架台, 数字计时器(含光电门),刻度尺.主要实验过程如下: (1)将光电门安装在铁架台上,下方放置承接玻璃条下落的缓冲物; (2)用刻度尺测量两挡光片间的距离,刻度尺的示数如图(b)所示,读出两挡光片间的距离L =________ cm; (3)手提玻璃条上端使它静止在________方向上,让光电门的光束从玻璃条下端的透光部分 通过; (4)让玻璃条自由下落,测得两次挡光的时间分别为t=10.003 ms和t=5.000 ms; 1 2 (5)根据以上测量的数据计算出重力加速度g=________ m/s2(结果保留三位有效数字). 2.如图为一同学利用压力传感器探究弹力与弹簧伸长量关系的装置示意图,水平放置的 压力传感器上叠放着连接轻弹簧的重物,左侧固定有竖直刻度尺.静止时弹簧上端的指针 指示如图所示,表格中记录此时压力传感器的示数为 6.00 N;竖直向上缓慢地拉动弹簧, 分别记录指针示数和对应的传感器示数如表中所示. 传感器示数 6.00 4.00 3.00 1.00 0 F (N) N 指针示数 14.60 15.81 18.19 19.40 x(cm) (1)补充完整表格中直尺的读数; (2)在以传感器示数F 为纵轴、指针示数x为横轴的坐标系中,描点画出F -x图像,并根 N N据图像求得弹簧的劲度系数为________ N/m(结果保留3位有效数字). 3.某同学用如图所示的实验装置来验证“力的平行四边形定则”.弹簧测力计A挂于固 定点P,下端用细线挂一重物M.弹簧测力计B的一端用细线系于O点,手持另一端向左拉, 使结点O静止在某位置.分别读出弹簧测力计A和B的示数,并在贴于竖直木板的白纸上 记录O点的位置和细线的方向. (1)本实验用的弹簧测力计示数的单位为N,图中A的示数为________ N. (2)下列不必要的实验要求是________.(请填写选项前对应的字母) A.应测量重物M所受的重力 B.弹簧测力计应在使用前调零 C.细线方向应与木板平面平行 D.改变拉力,进行多次实验,每次都要使O点静止在同一位置 (3)某次实验中,该同学发现弹簧测力计A的指针稍稍超出量程,在保证现有器材不变的情 况下怎样调整水平拉力B.___________________ ________________. 4.某同学利用图(a)所示装置研究平抛运动的规律.实验时该同学使用频闪仪和照相机对 做平抛运动的小球进行拍摄,频闪仪每隔0.05 s发出一次闪光,某次拍摄后得到的照片如 图(b)所示(图中未包括小球刚离开轨道的影像).图中的背景是放在竖直平面内的带有方格 的纸板,纸板与小球轨迹所在平面平行,其上每个方格的边长为 5 cm.该同学在实验中测得 的小球影像的高度差已经在图(b)中标出.完成下列填空:(结果均保留2位有效数字) (1)小球运动到图(b)中位置A时,其速度的水平分量大小为____________m/s,竖直分量大 小为____________m/s; (2)根据图(b)中数据可得,当地重力加速度的大小为________ m/s2. 5.向心力演示器如图所示,用来探究小球做圆周运动所需向心力的大小 F与质量m、角 速度ω和半径r之间的关系.两个变速塔轮通过皮带连接,匀速转动手柄使长槽和短槽分 别随变速塔轮1和变速塔轮2匀速转动,槽内的钢球就做匀速圆周运动.横臂的挡板对钢 球的压力提供向心力,钢球对挡板的反作用力通过横臂的杠杆作用使弹簧测力套筒下降, 从而露出标尺,标尺上的红白相间的等分格显示出两个钢球所受向心力的比值.如图是探 究过程中某次实验时装置的状态. (1)在研究向心力的大小F与质量m、角速度ω和半径r之间的关系时主要用到了物理学中 的________. A.理想实验法 B.等效替代法 C.控制变量法 D.演绎法 (2)若两个钢球质量和运动半径相等,则是在研究向心力的大小F与________的关系; A.钢球质量m B.运动半径r C.角速度ω (3)若两个钢球质量和运动半径相等,标尺上红白相间的等分格显示出钢球1和钢球2所受 向心力的比值为1∶9,则与皮带连接的变速塔轮1和变速塔轮2的半径之比为________. A.1∶3 B.3∶1 C.1∶9 D.9∶16.某物理小组对轻弹簧的弹性势能进行探究,实验装置如图(a)所示:轻弹簧放置在光滑 水平桌面上,弹簧左端固定,右端与一物块接触而不连接,纸带穿过打点计时器并与物块 连接.向左推物块使弹簧压缩一段距离,由静止释放物块,通过测量和计算,可求得弹簧 被压缩后的弹性势能. (1)实验中涉及下列操作步骤: ①把纸带向左拉直 ②松手释放物块 ③接通打点计时器电源 ④向左推物块使弹簧压缩,并测量弹簧压缩量 上述步骤正确的操作顺序是________(填入代表步骤的序号). (2)图(b)中M和L纸带是分别把弹簧压缩到不同位置后所得到的实际打点结果.打点计时器 所用交流电的频率为50 Hz.由M纸带所给的数据,可求出在该纸带对应的实验中物块脱离 弹簧时的速度为________m/s.比较两纸带可知,________(填“M”或“L”)纸带对应的实 验中弹簧被压缩后的弹性势能大. 7.如图,用“碰撞实验器”可以验证动量守恒定律,即研究两个小球在轨道水平部分碰 撞前后的动量关系. (1)实验中直接测定小球碰撞前后的速度是不容易的,但是,可以通过仅测量________(填选 项前的符号),间接地解决这个问题. A.小球开始释放高度h B.小球抛出点距地面的高度H C.小球做平抛运动的射程 (2)图中O点是小球抛出点在地面上的垂直投影.实验时,先让入射球m 多次从斜轨上S位 1 置由静止释放,找到其平均落地点的位置P,测量平抛射程OP.然后,把被碰小球m 静置 2于轨道的水平部分,再将入射球m 从斜轨上S位置由静止释放,与小球m 相碰,并多次重 1 2 复. 接下来要完成的必要步骤是________.(填选项前的符号) A.用天平测量两个小球的质量m、m 1 2 B.测量小球m 开始释放高度h 1 C.测量抛出点距地面的高度H D.分别找到m、m 相碰后平均落地点的位置M、N 1 2 E.测量平抛射程OM、ON (3)若两球相碰前后的动量守恒,其表达式可表示为________________(用(2)中测量的量表 示). (4)经测定,m=45.0 g,m=7.5 g,小球落地点的平均位置距O点的距离如图所示.碰撞前 1 2 后m 的动量分别为p 与p′,则p∶p′=________∶11;若碰撞结束时m 的动量为 1 1 1 1 1 2 p′,则p′∶p′=11∶________.实验结果说明,碰撞前、后总动量的比值为________. 2 1 2 8.在“用单摆测量重力加速度的大小”的实验中. (1)安装好实验装置后,先用游标卡尺测量摆球直径 d,测量的示数如图所示,则摆球直径 d=________ cm,再测量摆线长l,则单摆摆长L=________(用d、l表示); (2)摆球摆动稳定后,当它到达________(填“最低点”或“最高点”)时启动停表开始计时, 并记录此后摆球再次经过最低点的次数n(n=1、2、3…),当n=60时刚好停表.停止计时 的停表如图所示,其读数为________ s,该单摆的周期为T=________ s(周期要求保留三位 有效数字); (3)计算重力加速度测量值的表达式为g=______(用T、L表示),如果测量值小于真实值, 可能原因是________;A.将摆球经过最低点的次数n记少了 B.计时开始时,停表启动稍晚 C.将摆线长当成了摆长 D.将摆线长和球的直径之和当成了摆长 (4)正确测量不同摆长L及相应的单摆周期T,并在坐标纸上画出T2与L的关系图线,如图 所示.由图线算出重力加速度的大小 g=________ m/s2(保留3位有效数字,计算时π2取 9.86).