当前位置:首页>文档>第10章 必刷大题20 概率与统计_2.2025数学总复习_2024年新高考资料_1.2024一轮复习_2024年高考数学一轮复习讲义(新高考版)_学生版在此文件夹_学生用书Word版文档_高考必刷题专练

第10章 必刷大题20 概率与统计_2.2025数学总复习_2024年新高考资料_1.2024一轮复习_2024年高考数学一轮复习讲义(新高考版)_学生版在此文件夹_学生用书Word版文档_高考必刷题专练

  • 2026-03-30 06:30:40 2026-03-25 03:53:07

文档预览

第10章 必刷大题20 概率与统计_2.2025数学总复习_2024年新高考资料_1.2024一轮复习_2024年高考数学一轮复习讲义(新高考版)_学生版在此文件夹_学生用书Word版文档_高考必刷题专练
第10章 必刷大题20 概率与统计_2.2025数学总复习_2024年新高考资料_1.2024一轮复习_2024年高考数学一轮复习讲义(新高考版)_学生版在此文件夹_学生用书Word版文档_高考必刷题专练
第10章 必刷大题20 概率与统计_2.2025数学总复习_2024年新高考资料_1.2024一轮复习_2024年高考数学一轮复习讲义(新高考版)_学生版在此文件夹_学生用书Word版文档_高考必刷题专练
第10章 必刷大题20 概率与统计_2.2025数学总复习_2024年新高考资料_1.2024一轮复习_2024年高考数学一轮复习讲义(新高考版)_学生版在此文件夹_学生用书Word版文档_高考必刷题专练

文档信息

文档格式
docx
文档大小
0.150 MB
文档页数
4 页
上传时间
2026-03-25 03:53:07

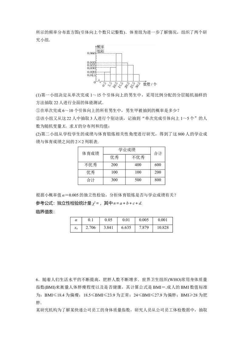
文档内容

1.已知条件①采用无放回抽取;②采用有放回抽取,请在上述两个条件中任选一个,补充 在下面问题中横线上并作答,选两个条件作答的以条件①评分. 问题:在一个口袋中装有3个红球和4个白球,这些球除颜色外完全相同,若________,从 这7个球中随机抽取3个球,记取出的3个球中红球的个数为X,求随机变量X的分布列和 均值. 2.(2023·毕节模拟)某市全体高中学生参加某项测试,从中抽取部分学生的测试分数绘制成 茎叶图和频率分布直方图如图所示,后来茎叶图受到了污损,可见部分信息如图所示. (1)求频率分布直方图中a的值,并根据频率分布直方图估计该市全体高中学生的测试分数 的中位数和平均数(同一组中的数据以这组数据所在区间的中点值作代表,结果保留一位小 数); (2)用频率代替概率,若从该市全体高中学生中抽取 4人,记这4人中测试分数不低于90分 的人数为X,求X的分布列及均值.3.根据统计发现,疑似病例核酸检测呈阳性的概率为 p(0