当前位置:首页>文档>第一次月考A卷(考试版)(测试范围:第二十一章、第二十二章)(人教版)A4版_初中数学_九年级数学上册(人教版)_知识点汇总-U105_2024版

第一次月考A卷(考试版)(测试范围:第二十一章、第二十二章)(人教版)A4版_初中数学_九年级数学上册(人教版)_知识点汇总-U105_2024版

  • 2026-04-05 03:35:31 2026-03-28 06:00:14

文档预览

第一次月考A卷(考试版)(测试范围:第二十一章、第二十二章)(人教版)A4版_初中数学_九年级数学上册(人教版)_知识点汇总-U105_2024版
第一次月考A卷(考试版)(测试范围:第二十一章、第二十二章)(人教版)A4版_初中数学_九年级数学上册(人教版)_知识点汇总-U105_2024版
第一次月考A卷(考试版)(测试范围:第二十一章、第二十二章)(人教版)A4版_初中数学_九年级数学上册(人教版)_知识点汇总-U105_2024版
第一次月考A卷(考试版)(测试范围:第二十一章、第二十二章)(人教版)A4版_初中数学_九年级数学上册(人教版)_知识点汇总-U105_2024版
第一次月考A卷(考试版)(测试范围:第二十一章、第二十二章)(人教版)A4版_初中数学_九年级数学上册(人教版)_知识点汇总-U105_2024版
第一次月考A卷(考试版)(测试范围:第二十一章、第二十二章)(人教版)A4版_初中数学_九年级数学上册(人教版)_知识点汇总-U105_2024版
第一次月考A卷(考试版)(测试范围:第二十一章、第二十二章)(人教版)A4版_初中数学_九年级数学上册(人教版)_知识点汇总-U105_2024版
第一次月考A卷(考试版)(测试范围:第二十一章、第二十二章)(人教版)A4版_初中数学_九年级数学上册(人教版)_知识点汇总-U105_2024版
第一次月考A卷(考试版)(测试范围:第二十一章、第二十二章)(人教版)A4版_初中数学_九年级数学上册(人教版)_知识点汇总-U105_2024版
第一次月考A卷(考试版)(测试范围:第二十一章、第二十二章)(人教版)A4版_初中数学_九年级数学上册(人教版)_知识点汇总-U105_2024版
第一次月考A卷(考试版)(测试范围:第二十一章、第二十二章)(人教版)A4版_初中数学_九年级数学上册(人教版)_知识点汇总-U105_2024版
第一次月考A卷(考试版)(测试范围:第二十一章、第二十二章)(人教版)A4版_初中数学_九年级数学上册(人教版)_知识点汇总-U105_2024版
第一次月考A卷(考试版)(测试范围:第二十一章、第二十二章)(人教版)A4版_初中数学_九年级数学上册(人教版)_知识点汇总-U105_2024版

文档信息

文档格式
docx
文档大小
3.116 MB
文档页数
9 页
上传时间
2026-03-28 06:00:14

文档内容

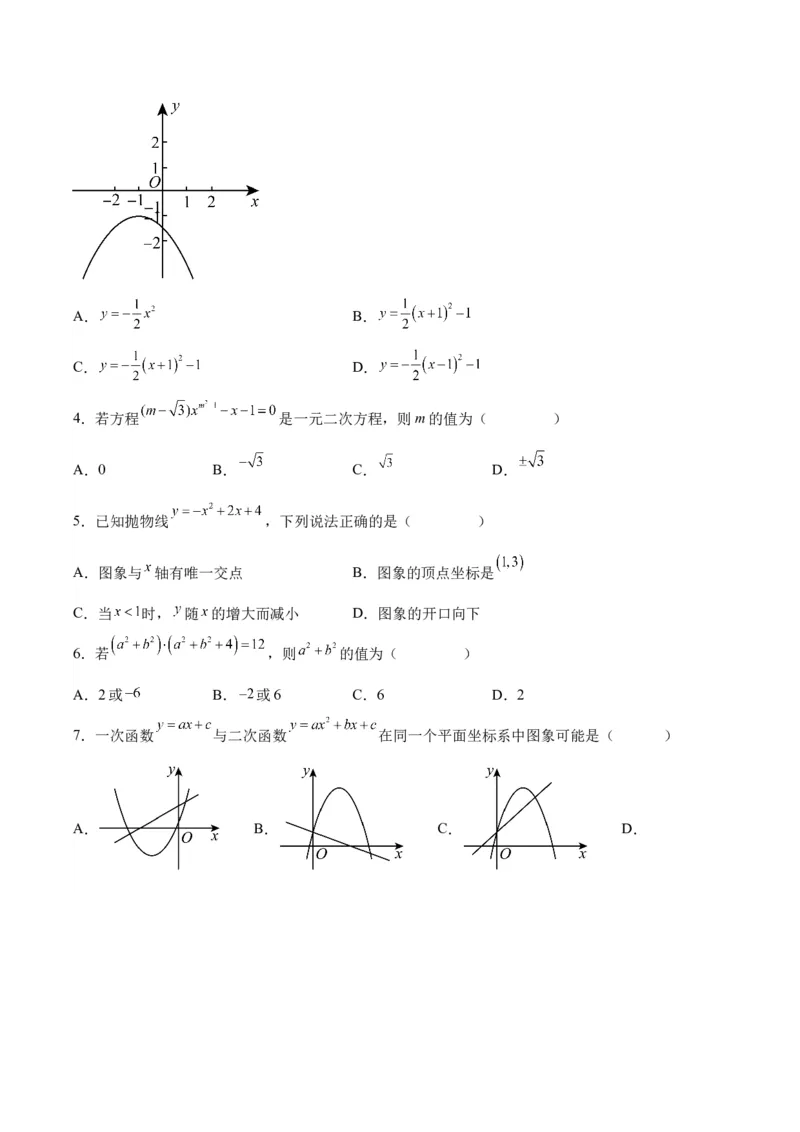
2023-2024 学年九年级数学上学期第一次月考 A 卷 基础知识达标测 · (考试时间:90分钟 试卷满分:100分) 注意事项: 1.本试卷分第Ⅰ卷(选择题)和第Ⅱ卷(非选择题)两部分。答卷前,考生务必将自己的姓名、准 考证号填写在答题卡上。 2.回答第Ⅰ卷时,选出每小题答案后,用2B铅笔把答题卡上对应题目的答案标号涂黑。如需改动, 用橡皮擦干净后,再选涂其他答案标号。写在本试卷上无效。 3.回答第Ⅱ卷时,将答案写在答题卡上。写在本试卷上无效。 4.测试范围:第二十一章、第二十二章(人教版)。 5.考试结束后,将本试卷和答题卡一并交回。 第Ⅰ卷 一、选择题(本大题共10小题,每小题2分,共20分)在每小题所给出的四个选项中,只有一项是 符合题目要求的. 1.一元二次方程 的根的情况是( ) A.有两个不等的实数根 B.有两个相等的实数根 C.无实数根 D.无法确定 2.如果关于x的一元二次方程 的一个解是 ,则 的值为( ) A.2018 B.2019 C.2020 D.2021 3.如图,平面直角坐标系中的二次函数图象所对应的函数解析式可能为( )A. B. C. D. 4.若方程 是一元二次方程,则m的值为( ) A.0 B. C. D. 5.已知抛物线 ,下列说法正确的是( ) A.图象与 轴有唯一交点 B.图象的顶点坐标是 C.当 时, 随 的增大而减小 D.图象的开口向下 6.若 ,则 的值为( ) A.2或 B. 或6 C.6 D.2 7.一次函数 与二次函数 在同一个平面坐标系中图象可能是( ) A. B. C. D.8.如图,要围一个矩形菜园 ,其中一边 是墙,且 的长不能超过 ,其余的三边 , , 用篱笆,且这三边的和为 .有下列结论: ① 的长可以为 ; ② 的长有两个不同的值满足菜园 面积为 ; ③菜园 面积的不可能为 . 其中,正确结论的个数是( ) A.0 B.1 C.2 D.3 9.为了让甲、乙两名运动员在自由式滑雪大跳台比赛中取得优异成绩,需要研究他们从起跳至落在 雪坡过程中的运动状态,如图,以起跳点 为原点,水平方向为 轴建立平面直角坐标系.我们研究 发现甲运动员跳跃时,空中飞行的高度 (米)与水平距离 (米)具有二次函数关系,记点 为该 二次函数图象与 轴的交点,点 为该运动员的落地点, 轴于点 .测得相关数据如下: 米, 米,抛物线最高点到 轴距离为4米.若乙运动员跳跃时高度 (米)与水平距 离 (米)满足 ,则他们跳跃时起跳点与落地点的水平距离( ) A.甲>乙 B.甲<乙 C.甲=乙 D.无法确定 10.如图①,在正方形 中,点E是 的中点,点P是对角线 上一动点,设 ,,图②是y关于x的函数图象,且图象上最低点Q的坐标为 ,则正方形 的 边长为( ) A. B. C.4 D.5 第Ⅱ卷 二、填空题(本大题共6小题,每小题3分,共18分)请把答案直接填写在横线上 11.已知关于x的方程 的两个根是0和 ,则 的值为 . 12.一元二次方程 配方后得 ,则 , . 13.已知二次函数 ,当 时, 取得最大值. 14.如图,二次函数 图象的一部分与x轴的一个交点坐标为 ,对称轴为 ,结合图象给出下列结论:① , ② , ③ , ④ (m 为任意实数),其中正确的结论有 .(请把正确结论的序号填在横线上)15.如图,在 中, , 的平分线交 于点D, ,交 于点E, 于点F, ,则下列结论正确的是 .(填序号) ① ② ③ ④ 16.如图,在斜坡 底部点O处设置一个可移动的自动喷水装置,喷水装置的高度 为 米,喷 水装置从A点喷射出的水流可以近似地看成抛物线.当喷射出的水流与喷水装置的水平距离为6米时, 达到最大高度5米.以点O为原点,喷水装置所在的直线为y轴,建立平面直角坐标系.斜坡上距离 O水平距离为8米处有一棵高度为 米的小树 , 垂直水平地面且M点到水平地面的距离为 米.如果要使水流恰好喷射到小树顶端的点N,请求出自动喷水装置应向后平移(即抛物线向左平 移) 米. 三、解答题(本大题共7小题,共62分.解答时应写出文字说明、证明过程或演算步骤) 17.解方程: (1) (公式法) (2) (配方法) 18.已知关于 的方程 . (1)求证:无论 取任何实数,方程总有实数根; (2)若等腰三角形的一边长为4,另两边长恰好是这个方程的两个根,求此时的 值和这个等腰三角形 的周长. 19.已知抛物线 经过 三点.(1)求这条抛物线的关系式; (2)写出这条抛物线的开口方向看、顶点D的坐标及对称轴,并说明它的变化情况. 20.二次函数 的图象如图所示,根据图象解答下列问题: (1)直接写出不等式 的解集; (2)求二次函数解析式,直接写出当 时,y的最小值; (3)若方程 有两个不相等的正实数根,直接写出 的取值范围. 21.威宁火腿是贵州的传统特产,距今已有600多年的历史,早就闻名海内外.某火腿经销商统计了 某款威宁火腿4月份到6月份的销售量,该款火腿4月份销售量为 ,6月份销售量为 ,且 从4月份到6月份销售量的月增长率相同. (1)求该款火腿销售量的月增长率; (2)若该款火腿的进价为120元 ,经在市场中测算,当售价为160元 时,月销售量为 ,若 在此基础上售价每上涨0.5元 ,则月销售量将减少 ,为使月销售利润达到9800元,则该款火腿 的实际售价应定为多少?(利润=售价-进价) 22.2023年8月5日,在成都举行的第31届世界大学生夏季运动会女子篮球金牌赛中,中国队以99 比91战胜日本队,夺得冠军.女篮最重要的球员之一韩旭在日常训练中也迎难而上,勇往直前.投 篮时篮球以一定速度斜向上抛出,不计空气阻力,在空中划过的运动路线可以看作是抛物线的一部分. 建立平面直角坐标系 ,篮球从出手到进入篮筐的过程中,它的竖直高度y(单位: )与水平距离x(单位: )近似满足二次函数关系,篮筐中心距离地面的竖直高度是 ,韩旭进行了两次投篮 训练. (1)第一次训练时,韩旭投出的篮球的水平距离x与竖直高度y的几组数据如下: 水平距离 0 1 2 3 4 … x/m 竖直高度 … y/m ①在平面直角坐标系xOy中,描出上表中各对对应值为坐标的点,并用平滑的曲线连接; ②结合表中数据或所画图象,直接写出篮球运行的最高点距离地面的竖直高度是______ ,并求y与 x满足的函数解析式; ③已知此时韩旭距篮筐中心的水平距离 ,韩旭第一次投篮练习是否成功,请说明理由; (2)第二次训练时,韩旭出手时篮球的竖直高度与第一次训练相同,此时投出的篮球的竖直高度y与水 平距离x近似满足函数关系 ,若投篮成功,此时韩旭距篮筐中心的水平距离 d_____5(填“ ”,“ ”或“ ”). 23.如图,在平面直角坐标系中,二次函数 的图象与x轴交于A、B两点,A点在原点的 左侧,B点的坐标为 ,与y轴交于 点. (1)求此二次函数的解析式;(2)若点P在抛物线上,且 ,求点P的坐标; (3)设点E是线段 上的动点,作 轴交抛物线于点D,求线段 长度的最大值.