当前位置:首页>文档>第十三章三角形测试·提升卷(教师版)_初中数学_八年级数学上册(人教版)_知识点汇总-U105_2026版

第十三章三角形测试·提升卷(教师版)_初中数学_八年级数学上册(人教版)_知识点汇总-U105_2026版

  • 2026-04-01 10:40:11 2026-03-29 02:57:01

文档预览

第十三章三角形测试·提升卷(教师版)_初中数学_八年级数学上册(人教版)_知识点汇总-U105_2026版
第十三章三角形测试·提升卷(教师版)_初中数学_八年级数学上册(人教版)_知识点汇总-U105_2026版
第十三章三角形测试·提升卷(教师版)_初中数学_八年级数学上册(人教版)_知识点汇总-U105_2026版
第十三章三角形测试·提升卷(教师版)_初中数学_八年级数学上册(人教版)_知识点汇总-U105_2026版
第十三章三角形测试·提升卷(教师版)_初中数学_八年级数学上册(人教版)_知识点汇总-U105_2026版
第十三章三角形测试·提升卷(教师版)_初中数学_八年级数学上册(人教版)_知识点汇总-U105_2026版
第十三章三角形测试·提升卷(教师版)_初中数学_八年级数学上册(人教版)_知识点汇总-U105_2026版
第十三章三角形测试·提升卷(教师版)_初中数学_八年级数学上册(人教版)_知识点汇总-U105_2026版
第十三章三角形测试·提升卷(教师版)_初中数学_八年级数学上册(人教版)_知识点汇总-U105_2026版
第十三章三角形测试·提升卷(教师版)_初中数学_八年级数学上册(人教版)_知识点汇总-U105_2026版
第十三章三角形测试·提升卷(教师版)_初中数学_八年级数学上册(人教版)_知识点汇总-U105_2026版
第十三章三角形测试·提升卷(教师版)_初中数学_八年级数学上册(人教版)_知识点汇总-U105_2026版
第十三章三角形测试·提升卷(教师版)_初中数学_八年级数学上册(人教版)_知识点汇总-U105_2026版
第十三章三角形测试·提升卷(教师版)_初中数学_八年级数学上册(人教版)_知识点汇总-U105_2026版
第十三章三角形测试·提升卷(教师版)_初中数学_八年级数学上册(人教版)_知识点汇总-U105_2026版
第十三章三角形测试·提升卷(教师版)_初中数学_八年级数学上册(人教版)_知识点汇总-U105_2026版
第十三章三角形测试·提升卷(教师版)_初中数学_八年级数学上册(人教版)_知识点汇总-U105_2026版
第十三章三角形测试·提升卷(教师版)_初中数学_八年级数学上册(人教版)_知识点汇总-U105_2026版
第十三章三角形测试·提升卷(教师版)_初中数学_八年级数学上册(人教版)_知识点汇总-U105_2026版
第十三章三角形测试·提升卷(教师版)_初中数学_八年级数学上册(人教版)_知识点汇总-U105_2026版
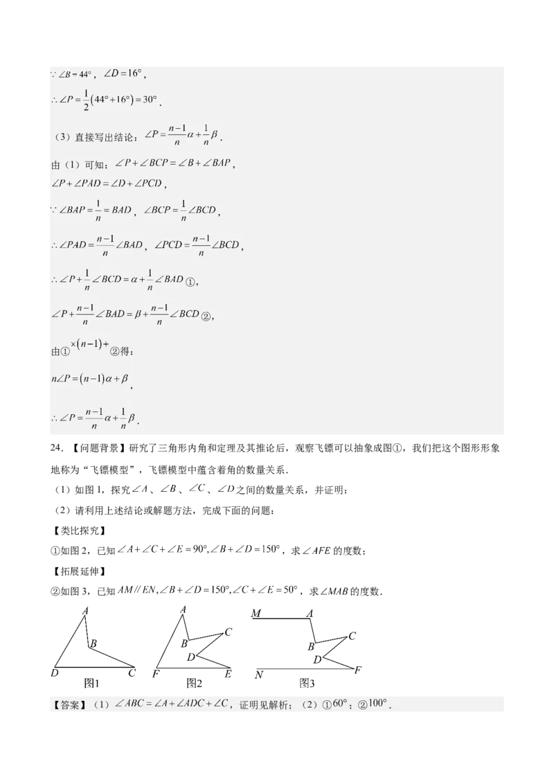
第十三章三角形测试·提升卷(教师版)_初中数学_八年级数学上册(人教版)_知识点汇总-U105_2026版
第十三章三角形测试·提升卷(教师版)_初中数学_八年级数学上册(人教版)_知识点汇总-U105_2026版
第十三章三角形测试·提升卷(教师版)_初中数学_八年级数学上册(人教版)_知识点汇总-U105_2026版
第十三章三角形测试·提升卷(教师版)_初中数学_八年级数学上册(人教版)_知识点汇总-U105_2026版
第十三章三角形测试·提升卷(教师版)_初中数学_八年级数学上册(人教版)_知识点汇总-U105_2026版
第十三章三角形测试·提升卷(教师版)_初中数学_八年级数学上册(人教版)_知识点汇总-U105_2026版
第十三章三角形测试·提升卷(教师版)_初中数学_八年级数学上册(人教版)_知识点汇总-U105_2026版
第十三章三角形测试·提升卷(教师版)_初中数学_八年级数学上册(人教版)_知识点汇总-U105_2026版
第十三章三角形测试·提升卷(教师版)_初中数学_八年级数学上册(人教版)_知识点汇总-U105_2026版

文档信息

文档格式
docx
文档大小
2.675 MB
文档页数
25 页
上传时间
2026-03-29 02:57:01

文档内容

2025-2026 学年八年级上册数学单元检测卷 第十三章 三角形·能力提升 建议用时:120分钟,满分:120分 一、选择题(本大题共10小题,每小题3分,共30分) 1.在一个直角三角形中,有一个锐角等于 ,则另一个锐角的度数是( ) A. B. C. D. 【答案】D 【分析】本题考查了直角三角形,根据直角三角形两锐角互余的性质,已知一个锐角为 ,另一个锐角 的度数即为 减去已知锐角的度数. 【详解】解:∵在直角三角形中,两个锐角的和为 , ∴ . 故选:D. 2.下列长度的三条线段能组成三角形的是( ) A. , , B. , , C. , , D. , , 【答案】D 【分析】本题考查了三角形的三边关系,根据三角形三边关系定理,任意两边之和大于第三边,对各选项 逐一验证,判断是否满足条件. 【详解】解:A、 , , , 最大边为 ,另两边之和为 , , ∴ 不满足两边之和大于第三边,不能组成三角形; B、 , , , 最大边为 ,另两边之和为 , , ∴ 三线段共线,无法构成三角形; C、 , , , 最大边为 ,另两边之和为 , , 不满足两边之和大于第三边,不能组成三角形;D、 , , , 最大边为 ,另两边之和为 , ,且 , 均成立, 满足三边关系,能组成三角形, 故选:D . 3.如图是跪姿射击的一种情形,由右脚尖、右膝和左脚构成的三角形支撑面,可以使射击者在射击过程 中保持稳定,其中蕴含的数学知识是( ) A.三角形的任意两边之和大于第三边 B.三角形具有稳定性 C.三角形三个内角的和等于 D.三角形的三条中线交于一点 【答案】B 【分析】本题考查了三角形具有稳定性,结合题意得跪姿射击由右脚尖、右膝和左脚构成的三角形支撑面, 可以使射击者在射击过程中保持稳定,进行作答即可. 【详解】解:依题意,跪姿射击由右脚尖、右膝和左脚构成的三角形支撑面,可以使射击者在射击过程中 保持稳定, ∴蕴含的数学知识是三角形具有稳定性, 故选:B 4.某数学兴趣小组为探究平行线的有关性质,用一副三角尺按如图所示的方式摆放,其中点A,E,C,F 在同一条直线上, .当 时, 的大小为( ) A. B. C. D. 【答案】B【分析】本题考查平行线的性质,三角形的外角的性质,根据平行线的性质得到 ,再 根据三角形的外角的性质,进行求解即可.熟练掌握相关性质,是解题的关键. 【详解】解:∵ , ∴ , ∵ , ∴ , ∵ , ∴ ; 故选:B. 5.如图, 是 的平分线, 是 的邻补角的平分线, , ,则 的度数为( ) A. B. C. D. 【答案】C 【分析】本题考查了三角形的外角性质以及角平分线的定义,牢记“三角形的一个外角等于和它不相邻的 两个内角的和”是解题的关键.利用角平分线的定义,可求出 , 的度数,由 是 的外角,利用三角形的外角性质,即可求出 的度数. 【详解】解: 是 的平分线, 是 的邻补角的平分线, , , , , 是 的外角, . 故选:C. 6.若a、b、c是三角形的三边长,则化简 的结果为( ) A. B. C. D. 【答案】A 【分析】本题考查了三角形的三边关系以及绝对值的化简. 根据三角形三边之间的关系得出a、b、c之间的大小关系,再根据绝对值的性质求值.【详解】解:∵a、b、c是三角形的三边长, ∴ , , , ∴ , , , ∴ . 故选:A. 7.如图, 的度数( ) A. B. C. D. 【答案】A 【分析】本题考查了三角形外角的性质和内角和定理,把所求的五个角转化在一个三角形中是解题的关键. 根据三角形外角的性质可得: ,再根据三角形内角和定理即即可求解. 【详解】解:如图, ∵ , 又∵ , ∴ . 故选:A. 8.如图,在 中, , 的平分线交于点 ,连接 , 平分 ,交 于点 , 若 的度数为 ,则 的度数为( )A. B. C. D. 【答案】B 【分析】在 中,由三角形内角和定理可得 ,由角平分线的定义得 ,在 中,由三角形内角和定理可得 ,由角平分线定义得 , ,进而可求得 .本题主要考查了角平分线 的定义以及三角形内角和定理.熟练掌握角平分线的定义以及三角形内角和定理是解题的关键. 【详解】解:∵ 中, , ∴ , ∵ , 分别平分 和 , ∴ , , ∴ , 在 中, , ∵ , 的平分线交于点 , ∴ 平分 , ∴ , 又∵ 平分 , ∴ , ∴ . 故选:B.9.如图,点 为线段 上一点,分别以 、 为边在线段 同侧作 和 ,且 , .若 的平分线与 的平分线的交于点 ,则 与 的数量关 系为( ) A. B. C. D. 【答案】A 【分析】本题考查了角平分线的定义,角的和差计算. 分别求出 , ,再找到可以去掉 的式子即可. 【详解】解:∵ , , ∴ , , ∴ , ∵ 的平分线与 的平分线的交于点 , ∴ , ∵ , ∴ , ∴即 . 故选:A. 10.设 的面积为1.如图①, 分别是 的中点, 相交于点 与 的面积差记为 ;如图②, 分别是 的3等分点, 相交于点 , 与 的面积差记为 ;如图③, 分别是 的4等分点, 相交于点 与 的面 积差记为 ,依此类推,则 的值为( ) A. B. C. D. 【答案】D 【分析】本题考查了图形规律探索,找出点D,E角标的序号数与等分点的关系是解题关键,由题意得 分别是 的2025等分点,再根据 , 分别求出面积 即可求出结论. 【详解】解:由题意得 分别是 的2025等分点,如下图: ,, 故选:D. 二、填空题(本大题共6小题,每小题3分,共18分) 11.一个三角形的三条边的长都是整数,其中两条边的长是1和3,则第三条边的长是 . 【答案】3 【分析】本题主要考查了三角形三边关系,求出第三边的取值范围是解题的关键.首先根据三角形的三边 关系确定第三边的取值范围,然后从中取整数即可. 【详解】解:∵两条边长分别是 和 , ∴第三边的取值范围是 第三边 , ∵三边均为整数, ∴第三边的长为3, 故答案为:3. 12.如图, 分别是 的高和角平分线,若 , ,则 . 【答案】 【分析】本题考查了三角形高线、角平分线,三角形内角和定理,熟练掌握相关知识是解题的关键. 根据高线的定义以及角平分线的定义分别得出 , ,进而得出 的度数,进而 得出答案. 【详解】解:∵ 是 的高, ∴ , ∵ , , ∴ , , ∴ , ∵ 是 的角平分线∴ , ∴ . 故答案为: . 13.如图, 是 的外角 的平分线, 交 的延长线于点 ,已知 ,则 的度数是 . 【答案】 / 度 【分析】本题考查了三角形的外角定理,角平分线的定义,解题的关键是掌握三角形的一个外角等于与它 不相邻的两个内角之和.先求出 ,再根据角平分线的定义求出 ,最后根据三角形的外角定理,即可解答. 【详解】解:∵ , ∵ 平分 , ∴ , ∴ , 故答案为: . 14.如图,在 中, , ,D、E分别在 、 上,将 沿 折叠得 ,且满足 ,则 . 【答案】 /71度 【分析】本题考查了直角三角形的性质,图形的折叠,平行线的性质,三角形的外角性质.先求出,根据折叠的性质得到 , ,由平行线的性质得到 , ,推出 ,然后根据平角的定义得 ,据此求解即可. 【详解】解:∵在 中, , , ∴ , 由折叠的性质得: , , ∵ , ∴ , , ∴ , ∵ , ∴ , ∴ , ∴ . 故答案为: . 15.定义:如果一个三角形一边长为m,另一条边长为 ,那么我们把这个三角形叫做“特征三角形”, 其中长为m的边叫作“特征边”.已知在特征三角形 中, ,边 是特征边,那么边 的长为 . 【答案】3 【分析】本题考查了新定义,掌握三角形三边关系:任意两边之和大于第三边,任意两边之差小于第三边 是解题的关键. 先根据三角形三边关系求出 ,再根据“特征边”的定义分类讨论求解即可. 【详解】解:由题意得, , ∴ , 若 ,则 (舍); 若 ,则 , ∴边 的长为3, 故答案为:3. 16.如图,在三角形 中, , 是锐角,将三角形 沿着射线 方向平移得到三 角形 (平移后点 , , 的对应点分别是 , , ),连接 ,若在整个平移过程中, 和 的度数之间存在3倍关系,则 .【答案】 或 或 【分析】本题考查了平行线的判定与性质,三角形的外角性质,平移的性质,正确掌握相关性质内容是解 题的关键.先理解 ,且当点 在线段 上,或当点 在 外时,过点 作 ,然后 进行分类讨论且作图,运用数形结合思路,结合平行线的性质进行列式计算,即可作答. 【详解】解:依题得: , 当点 在线段 上,过点 作 ,如下图 ①当 , , ∵ ; 又 , ∴ , ②当 时, 则 , ∴ ; 当点 在 外时,过点 作 ,如下图: ①当 ,, , ∵ 又 , ∴ 即 ②当 由图可知, , 此情况不成立; 综上, 或 或 , 故答案为: 或 或 , 三、解答题(第17,18,19,20题,每题6分;第21,22,23题;每题8分;第24,25题,每题12分; 共9小题,共72分) 17.已知三角形的三条边长为 和 . (1)若6是最短边长.求 的取值范围; (2)若 为整数,求三角形周长的最大值. 【答案】(1) (2) 【分析】本题主要考查了三角形三边关系的应用: (1)三角形中,任意两边之差小于第三边,任意两边之和大于第三边,据此可得 ,再由 是最短边长,可得 ; (2)根据(1)所求可得 ,则 的最大值为14,据此根据三角形周长计算公式求解即可. 【详解】(1)解:由题意得: ,即 , 是最短边长, , 的取值范围是 ; (2)解:由(1)可知, , 为整数, 的最大值为14, 三角形周长的最大值为 . 18.如图,在 的网格中,每个小正方形的边长均为 ,点A,B,C都是格点(小正方形的顶点),完 成下列画图.(1)画出 的重心P. (2)在已知网格中找出一个格点D,使 与 的面积相等. 【答案】(1)见解析 (2)见解析 【分析】本题考查了作图—应用与设计,三角形的面积,三角形的重心等知识,熟练掌握以上知识点并灵 活运用是解此题的关键. (1)重心是三角形中线的交点,作 的中线 , 交于点 ,点 即为所求; (2)根据等高模型解决问题即可. 【详解】(1)解:如图,点 即为所求, (2)解:如图,点 或( )即为所求, . 19.如图,在 中, 是高, 是 的平分线. (1)若 ,求: ① 的度数;② 的度数. (2)若 ,求 的长. 【答案】(1)① ,② (2) 【分析】本题考查了三角形内角和性质、角平分线的定义,三角形的等面积法求线段的长度,即可作答 (1)先根据三角形内角和性质得 ,再结合角平分线的定义得 ,再结合 是高, 得出 的度数,再根据角的关系进行运算得出 的度数,即可作答. (2)运用等面积法进行列式 ,代入数值进行化简,即可作答. 【详解】(1)(1)解:①∵ 是高, ∴ , ∴ , ∵ , ∴ ; ②∵ , ∴ , ∵ 是 的平分线, ∴ , ∴ ; (2)解:∵ 是高, ∴ , , ∵ , ∴ , ∴ . 20.如图,在 中, ,直线 分别交 、 和 的延长线于点 、 、 .(1)若 , ,则 ________. (2)猜想 与 的关系,并说明理由. (3)在线段 上取一点 ,使得 ,连接 ,判断 与 的位置关系,并说明理 由. 【答案】(1) (2) (3) 【分析】本题主要考查了三角形内角和定理,平行线的判定, 对于(1),根据三角形内角和定理求出 ,再根据三角形内角和定理求出答案; 对于(2),根据三角形内角和定理可得答案; 对于(3),根据三角形内角和定理可得 ,再根据“同旁内角互补,两直线平行”得出 答案. 【详解】(1)解:在 中, , ∴ . ∵ , , ∴ . 故答案为: ; (2)解: . 理由如下: ∵ , , ∴ , 即 ; (3)解: . 理由如下:∵ , ∴ , ∴ . 21.如图,在 中, 平分 交 于点 . (1)若点 为线段 上的一个点,过点 作 交 的延长线于点 . ①若 , ,则 ___________ ; ②写出 与 、 之间的数量关系,并说明理由. (2)若点 在线段 的延长线上,过点 作 交直线 于点 ,请你直接写出 与 的数量关系__________. 【答案】(1)① ;② ,理由见解析 (2) 【分析】本题考查与角平分线有关的三角形的内角和问题,三角形的外角. (1)①三角形的内角和求出 的度数,平分线求出 的度数,外角求出 的度数,再根据 直角三角形的两个锐角互余,求出 的度数即可;②仿照①法,进行求解即可; (2)利用三角形的内角和定理,角平分线的性质和三角形的外角的性质,进行求解即可. 【详解】(1)解:①∵ , , ∴ , ∵ 平分 , ∴ , ∴ ,∵ , ∴ ; 故答案为: ; ② ,证明如下: ∵ 平分 , , ∴ , ∵ , ∵ , ∴ ; (2)如图: ∵ 平分 , , ∴ , ∵ , ∵ , ∴ . 故答案为: . 22.在一个三角形中,如果一个角是另一个角的3倍,这样的三角形我们称为“灵动三角形”.如,三个 内角分别为 , , 的三角形是“灵动三角形”.如图, ,在射线 上找一点 , 过点 作 交 于点 ,以A为端点作射线 ,交线段 于点 (规定 ).(1) 的度数为_____°, _____.(填“是”或“不是”灵动三角形). (2)若 , 是“灵动三角形”吗?如果是请证明:如果不是请说明理由. (3)当 为“灵动三角形”时,直接写出 的度数. 【答案】(1)30°,是 (2) 是“灵动三角形” (3) 或 或 【分析】本题考查的是三角形内角和定理、“灵动三角形”的概念,用分类讨论的思想解决问题是解本题 的关键. (1)根据垂直的定义、三角形内角和定理求出 的度数,根据“灵动三角形”的概念判断; (2)根据“灵动三角形”的概念证明即可; (3)根据 ,点 在线段 上,根据“灵动三角形”的定义分六种情况进行计算即可. 【详解】(1)解: ∵ , ∴ , ∴ , ∵ , ∴ 为“灵动三角形”, 故答案为 ;是; (2)解: 是“灵动三角形” 理由: ∵ , , ∴ , 又 , ∴ , ∴ , ∴ 是“灵动三角形”; (3)解: ∵ 为“灵动三角形”, ∵点 在线段 上, ,∵ , ∴ , Ⅰ、当 时, , ∴ , Ⅱ、当 时, ∴ ∴此种情况不存在, Ⅲ、当 时, ∴ , ∴ , ∴ , Ⅳ、当 时, ∴ , ∴ , ∴ , Ⅴ、当 时, ∴ , ∴ , ∵点 与点 不重合, ∴此种情况不成立, Ⅵ、当 时, ∴ °, ∴ , ∴此种情况不存在, 综上所述,当 为“灵动三角形”时, 的度数为 或 或 . 23.【问题背景】(1)小明在学习多边形时,把如图1的图形看成“8”字形,并得出如下结论: ,请你说明理由; 【尝试应用】(2)如图2, 、 分别平分 、 ,若 , ,求 的度数; 【拓展延伸】(3)如图3,已知 , , , ,其中 , 且 为整数,请利用上述结论或方法直接写出 的度数.(用含n, , 的代数式表示)【答案】(1)见解析 (2)30° (3) 【分析】本题主要考查了三角形的内角和定理,角平分线的定义,对顶角相等,利用类比的思想解答是解 题的关键. (1)根据三角形的内角和定理,对顶角相等,即可求证; (2) ,得 ,再由角平分线的定义,得到 , 即可求解; (3)利用(1)的结论及(2)的思路得 、 ;结合 、 ,推出 、 ;代入得到含 、 、 的两个等式①②;对①式乘 后与②式相加,消去 、 ,整理得 。 【详解】解:(1) 和 , , . , (2) 分别平分 , , 由(1)可知: 由①+②可得 , ,即 ,, , . (3)直接写出结论: . 由(1)可知: , , , , , , ①, ②, 由① ②得: , . 24.【问题背景】研究了三角形内角和定理及其推论后,观察飞镖可以抽象成图①,我们把这个图形形象 地称为“飞镖模型”,飞镖模型中蕴含着角的数量关系. (1)如图1,探究 、 、 、 之间的数量关系,并证明: (2)请利用上述结论或解题方法,完成下面的问题: 【类比探究】 ①如图2,已知 ,求 的度数; 【拓展延伸】 ②如图3,已知 ,求 的度数. 【答案】(1) ,证明见解析;(2)① ;② .【分析】本题考查三角形的外角性质及其应用、平行线的性质,解答的关键是利用转化的思想方法解决问 题. (1)连接 ,并延长至点 ,利用三角形的外角求解即可; (2)连接 ,利用(1)中结论可得 , ,结合已知 可求解; (3)在直线 上取一点 ,连接 ,利用(2)中结论可得 ,再利用平行线的性质可得 ,进而得到 即可求解. 【详解】解:(1) . 证明:如图,连接 ,并延长至点 , ∵ , , ∵ ∴ ∴ ; (2)①如图,连接 , 由(1)可知 , , ∵ , , ∴ , ∴ , ∴ ; ②如图,在直线 上取一点 ,连接 ,由①可知 , ∵ ∴ ∵ ∴ ∴ ∴ . 25.【问题探究】 (1)已知:如图1,在 中, , , 分别平分 和 , 的度数是 ______. (2)已知:如图2, 与 分别是 的两个外角,且 ,则 ______. 【拓展与应用】 (3)如图3,在四边形 中, 为四边形 的 的平分线及外角 的平分线所在的 直线构成的锐角,若设 , ,求 的度数;(用含 , 的式子表示) (4)如图4. 平分 , 平分 ,把 折叠,使点A与点I重合,若 , 则 ______. 【答案】(1) ;(2) ;(3) ;(4) 【分析】本题考查的是角平分线的定义,三角形的内角和定理,四边形的内角和定理的应用,轴对称的性 质;(1)在 中, ,结合角平分线的含义可得 ,再进一步利用三角形的内角和定理可得答案; (2)求解 ,再进一步利用内角和定理可得答案; (3)延长 , 交于点 ,同(2)可得 ,证明 , , 结合外角的性质可得 , ,可得 , 进一步求解即可; (4)求解 , ,可得 ,由(1)得: . 【详解】解:(1)在 中, , ∴ , ∵ , 分别平分 和 , ∴ , , ∴ , ∴ ; 故答案为: . (2)∵ 与 分别是 的两个外角,且 , ∴ , ∴ ; 故答案为: . (3)延长 , 交于点 ,∵ , , 同(2)可得 , ∵ 为四边形 的 的平分线及外角 的平分线所在的直线构成的锐角, ∴ , , ∵ , , ∴ , , ∴ , ∴ ; (4)∵ ,结合折叠, ∴ , , ∴ , ∵ 平分 , 平分 , 由(1)得: .