钢结构设计必看!3D3S软件操作指南(一)
第一章 基本分析
本章节以一个雨棚为例,快速介绍3D3S的建模、荷载施加、计算分析、构件验算等内容。雨棚的基本几何信息如下:



1.1 建立模型
1.1.1 绘制CAD几何模型
操作步骤:
Step1:选择俯视图
,在XY平面上用Line命令和Offset命令绘制下图

Step2:切换到西南轴测图
,绘制辅助线,并将斜杆移动到正确位置,然后将辅助线删除。

✒️设计建议:
3D3S模型一般可由其他软件导入,也可以将3D3S模型导出为其他软件的数据,对于简单的模型建议先用cad建立几何模型再定义截面和荷载。

1.1.2 添加杆件
点击【添加杆件】弹出的对话框中【选择线定义为杆件】来定义杆件,材性、截面及弦杆类型可以双击修改。

✒️设计建议:
属性中方位、偏心、计算长度系数、端部释放不建议在此处修改,可保持默认不修改。
弦杆类型:若为网架网壳,需要生成节点施工图时,需要定义弦杆类型,若忘记定义也可在【层面】中去定义。

1.1.3 杆件单元编辑
定义完杆件后,每根杆件会根据截面不同,显示不同的颜色,由于是采用【选择线定义】为杆件,杆件和杆件相交处没有被打断,选择【打断】弹出对话窗中的【相交打断】可将构件在相交处打断。还可以通过设定【离节点距离】、【等分】等多种方式打断杆件。

✒️设计建议:
如果需要对杆件进行更精细的分析,就需要打断杆件。
除了打断杆件外,还可以根据需要对杆件进行【合并】、【延长】等操作。当需要将多根变截面构件拟合成一个连续截面的构件时,可以采用【截面拟合】命令。
1.1.4 定义属性
通过工具栏中的【显示截面】+【真实视觉样式】可以真实显示雨棚各杆件的实际大小,可以发现雨棚各杆件上表面不齐平。

此时可以在【定义属性】栏中,点击【定位点】弹出对话框中,选择【中-上部】可将雨棚上表面定义到同一水平面上。

【定义属性】栏中其它命令的简要说明:
【层面】:通过该命令,对用户自己添加的单元进行层面号、轴线号,弦杆类型和塔架杆件类型的定义。用来快捷显示部分杆件,以及导入其他软件的层面或者软件用以生成后处理杆件类型的依据。

【方位】:相当于定义了构件的局部坐标(在构件信息显示中,可以选择显示构件局部坐标);定义方位指定义K节点坐标,从而确定由单元两端的i、j节点与K节点这三个节点所构成的平面在空间的位置(对工字形钢来说是确定了腹板平面),进而确定单元的摆放方位。

【偏心】:通过定义偏心命令来实现单元在模型中的偏心。
1.1.5 定义约束
点击【支座】弹出对话框,支座类型包括固定支座、铰支座、滑动支座、弹性支座及无定义。可根据计算假定选择不同的支座类型,本例中雨棚钢梁、斜拉杆端部均为铰接支座。

对于钢梁两端的约束,可以点击【刚接铰接】进行定义,如本例中可将下列钢次梁端部定义为铰接。

✒️设计建议:
有时杆件仅一端需要释放约束,须判断ij节点,可以选择【构件信息】弹出对话框下的【局部坐标】显示杆件的局部坐标轴,杆件1轴指向方向为j节点。


本例中,杆件端部约束释放后如下图:

1.2 显示查询
本模块主要用于各种信息查询及界面视图显示功能,此处不赘述。
1.3 施加荷载
1.3.1 荷载工况
建立完结构模型后,进入【施加荷载】,首先需定义【荷载工况】,对于雨棚,可定义恒载、活载、风压力及风吸力。


✒️设计建议:
对于不同的结构类型,选择不同荷载类型进行定义。
【风总信息】:用来定义风荷载相关信息。
基本风压、地面粗糙度、风计算用规范、建筑结构类型、房屋类型可以根据实际情况选择;风荷载计算用阻尼比可根据《荷载规范》第8.4.4条规定选取;参考点高度表示模型高度调整值,当实际工程±0.000与模型±0.000一致时,默认为0,不需更改。在本例中雨棚底标高为8m,而模型底标高为0,所以模型高度调整值为0-8=-8m。
风压高度变化修正系数应根据实际情况按照《荷载规范》第8.2.2及8.2.3条取值。

➡规范索引
《荷载规范》第8.2.2~8.2.3条、第8.4.4条
8.2.2 对于山区的建筑物,风压高度变化系数除可按平坦地面的粗糙度类别由本规范表8.2.1确定外,还应考虑地形条件的修正,修正系数应按下列规定采用:
1 对于山峰和山坡,修正系数应按下列规定采用:
1) 顶部B处的修正系数可按下式计算:
(8.2.2)
式中:tanα——山峰或山坡在迎风面一侧的坡度;当anα大于0.3时,取0.3;
k——系数,对山峰取2.2,对山坡取1.4;
H——山顶或山坡全高(m);
z——建筑物计算位置离建筑物地面的高度(m);当z>2.5H时,取z=2.5H。
2) 其他部位的修正系数,可按图8.2.2所示,取A、C处的修正系数ηA、ηC为1,AB间和BC间的修正系数按η的线性插值确定。

图8.2.2 山峰和山坡的示意
2 对于山间盆地、谷地等闭塞地形,η可在0.75~0.85选取。
3 对于与风向一致的谷口、山口,η可在1.20~1.50选取。
8.2.3 对于远海海面和海岛的建筑物或构筑物,风压高度变化系数除可按A类粗糙度类别由本规范表8.2.1确定外,还应考虑表8.2.3中给出的修正系数。

表8.2.3 远海海面和海岛的修正系数
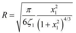
8.4.4 脉动风荷载的共振分量因子可按下列公式计算:
(8.4.4-1)
(8.4.4-2)
式中:f1——结构第1阶自振频率(Hz);
kw——地面粗糙度修正系数,对A类、B类、C类和D类地面粗糙度分别取1.28、1.0、0.54和0.26;
ζ1——结构阻尼比,对钢结构可取0.01,对有填充墙的钢结构房屋可取0.02,对钢筋混凝土及砌体结构可取0.05,对其他结构可根据工程经验确定。
1.3.2 荷载施加
定义完荷载工况后,进行荷载施加。可直接添加【节点荷载】、【单元荷载】及【板面荷载】,本例中雨棚荷载可以通过施加面荷载的形式,将面荷载导为杆件单元荷载。
3D3S中施加面荷载时需要形成一个封闭的平面,对于一边开敞的面可通过【添加虚杆】形成一个封闭平面。

施加恒荷载:点击【导荷范围】,在弹出的对话框中定义恒载,并选择恒载施加的杆件和范围。

以同样的方式施加活荷载。
施加风荷载:同样点击【导荷范围】,在弹出的对话框中定义风压和风吸,对于风荷载的方向,通常采用内部参考点的方向,若风荷载方向和内部参考点方向相同,风载体型系数取为正值,相反时,取为负值。风荷载参数可以直接引用前述【风总信息】,也可直接修改。

✒️设计建议:
对于雨棚的风载体型系数,建议考虑-2.0、2.0两种情况。对于高度变化系数,可按软件自动计算。雨棚应按照外围护结构取为阵风系数。
➡规范索引
《荷载规范》第8.3.3条
8.3.3 计算围护构件及其连接的风荷载时,可按下列规定采用局部体型系数:
1 封闭式矩形平面房屋的墙面及屋面可按表8.3.3的规定采用;
2 檐口、雨篷、遮阳板、边棱处的装饰条等突出构件,取-2.0;
3 其他房屋和构筑物可按本规范第8.3.1条规定体型系数的1.25倍取值。
完成荷载施加后,依次选择【生成封闭面】及【自动导荷载】,即自动完成各工况荷载的导入。


✒️设计建议:
一般情况下涉及的参数无需修改,自动导荷载完成后,可以检查下风高度变化系数是否正确,进而判断风总信息中参考点高度是否正确。
1.3.3 地震参数
定义地震作用,选择【地震参数】根据实际情况定义地震信息。地震计算参数可直接参考《抗规》或其他规范,阻尼比、周期折减系数等根据不同的钢结构类型进行确定。

对于地震作用的质量源,相当于重力荷载代表值。

↓关注+星标,接收最新注册结构干货↓
在职备考,首选建侠,带你高效过关!
夜雨聆风