当前位置:首页>文档>(1.5)-高数冲刺1-极限笔记版_08.2026考研数学高途王喆全程班_考研数学高数基础特训班-福利赠送_{2}--资料_{1}-高数课讲义

(1.5)-高数冲刺1-极限笔记版_08.2026考研数学高途王喆全程班_考研数学高数基础特训班-福利赠送_{2}--资料_{1}-高数课讲义

  • 2026-04-01 13:28:23 2026-02-26 08:53:26

文档预览

(1.5)-高数冲刺1-极限笔记版_08.2026考研数学高途王喆全程班_考研数学高数基础特训班-福利赠送_{2}--资料_{1}-高数课讲义
(1.5)-高数冲刺1-极限笔记版_08.2026考研数学高途王喆全程班_考研数学高数基础特训班-福利赠送_{2}--资料_{1}-高数课讲义
(1.5)-高数冲刺1-极限笔记版_08.2026考研数学高途王喆全程班_考研数学高数基础特训班-福利赠送_{2}--资料_{1}-高数课讲义
(1.5)-高数冲刺1-极限笔记版_08.2026考研数学高途王喆全程班_考研数学高数基础特训班-福利赠送_{2}--资料_{1}-高数课讲义
(1.5)-高数冲刺1-极限笔记版_08.2026考研数学高途王喆全程班_考研数学高数基础特训班-福利赠送_{2}--资料_{1}-高数课讲义
(1.5)-高数冲刺1-极限笔记版_08.2026考研数学高途王喆全程班_考研数学高数基础特训班-福利赠送_{2}--资料_{1}-高数课讲义
(1.5)-高数冲刺1-极限笔记版_08.2026考研数学高途王喆全程班_考研数学高数基础特训班-福利赠送_{2}--资料_{1}-高数课讲义
(1.5)-高数冲刺1-极限笔记版_08.2026考研数学高途王喆全程班_考研数学高数基础特训班-福利赠送_{2}--资料_{1}-高数课讲义

文档信息

文档格式
pdf
文档大小
5.642 MB
文档页数
8 页
上传时间
2026-02-26 08:53:26

文档内容

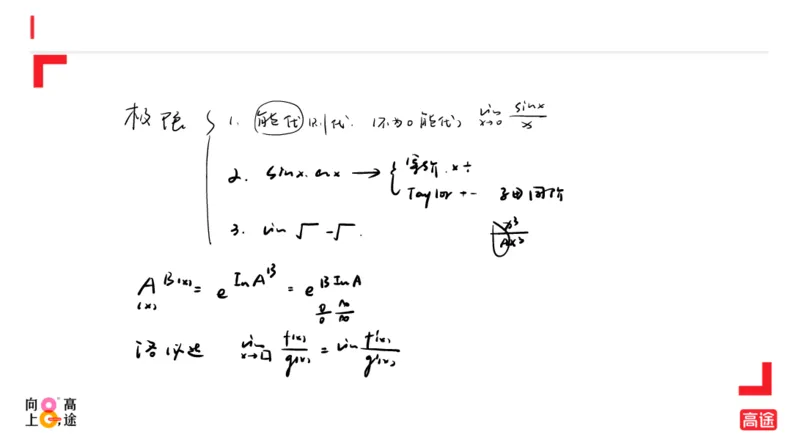
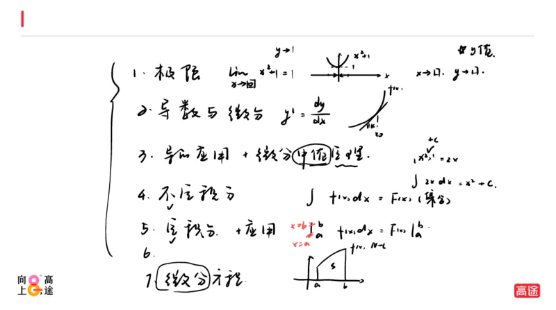
⽬录 01 02 03 01 ⾼等数学 考前 冲刺 数学 薛 - 迪⽬录 01 02 03 01 y→1 ☆ ,俺 瞧" …… … ……… … x->回 ix. ! j-导 数txoi3.hn 2 与 微分 应⽤ + 微分0 中⾄'1 1Iix … … J 2x dX =x2 - C 4 丕 元 拉 ⽅ jfix.ch/=Fx,c 集会 . . , 5.li 积分 + 应⽤ "嗯 t.x.dxix.li ˋ 。 ˇ X=a 。- 6 1st . !⼊_! 1 0 7 微分 ⽅拉 2 ,⽬录 01 02 03 01 x+ y= , 求解 。 5 1 , 以 1 1 2 ' t' + 应⽤ xty = 1 8 y' → y 3 S + 应⽤ + 微分⽅程 , 筘个拉 能代叫代, 1 不及 强 以 毙⾿ , ⼀ 毙不 以 4 ⼆点 。 为 ⼀ 品加⼆点 " ㄨ→ o 。 rz X 1 = 1 AB_eInAB-eBInA.si#⽬录 01 02 03 01 co(cid:15482)f., ⼆点 ÷- xt eX-1=x 0 +- 1, 记体y c-ax=Èxv ☐→o ⼋⽇⼆⽇ x_x e 0"ㄨ -1=tax -※ ÷ 岁 哭 落式 。 : 以 㵰 沿 器 ⼼。 。 ,⽬录 01 02 03 01 展开式 Taylor 泰勒 Taylor、 ( ) sinx.mx → y '新 对 t.tt/tX3Tayl=or公A式+v-iiin ⼼ 以 。 X-Xe. ⼆点 i-xf.is/3fx)=f1X0)tf'iY)CX-X0)tH-cx-xoi+.-f1n)1-lx-xo)nto(x-xoi- 疑 0㕳 : ⽐x⾼了个⼭集会 (x2 x3 -.-⼀) Sinx-sinotllx-olti.ie x_x3-101×3)⽬录 01 02 03 01 ⽊及 不良 S 1 . 0 能 代 则 代 , 1不为 0 能代, 点 t 1 '新 2 sinx.mx → ( , ⼼ . Tglor +⼀ ⼦⺟ 1加个 3 以 T-T 器 0 、 . . ABCeInAB-eB.LA IX) 告⽼ 洛必达 以 㤈 以 㤈 " ⽇ 下 , ⼆ _ g.,⽬录 01 02 03 01 X0-式" 。 ( ii-1-IcCftaExFǖ FxtfiixjlttaX-llts.in ( ⼆点 ㄨ) ⼆点 ※愆; x.in vhksotaiiew.hn = ⼆点 _ X-i.ixixse.iix3.io 了,_ ⼆点 Ǖ 慧 i i:"③ ⼆点 Ǖi sinzx-siuxaxiiasin_iaxzsi-xaxx-soeX-l-xn.lxii-x.in x-gti-xi.uls-vii.ee s④ -1=2× i x n -1x_x3) x (⼀ itì)。⼆ -x-i.ie si-2x:12X)-Ìizx,3 ⼆点-2 ⑦⼀号" vi_X-iir.FI =2x-fx3 - ⼆ =-6 ✗⼆0v1 0 o . .0 0 。 0 1 01 ⼆点: X-fxYx4.to ⼆x点iii_xye.is⽬录 01 02 03 01