当前位置:首页>文档>1.1正数和负数(第一课时)-教案_初中数学人教版_7上-初中数学人教版_7上-初中数学人教版(新版)_01课件+教案+练习(大单元设计)_教案

1.1正数和负数(第一课时)-教案_初中数学人教版_7上-初中数学人教版_7上-初中数学人教版(新版)_01课件+教案+练习(大单元设计)_教案

  • 2026-04-02 00:50:19 2026-03-25 16:44:09

文档预览

1.1正数和负数(第一课时)-教案_初中数学人教版_7上-初中数学人教版_7上-初中数学人教版(新版)_01课件+教案+练习(大单元设计)_教案
1.1正数和负数(第一课时)-教案_初中数学人教版_7上-初中数学人教版_7上-初中数学人教版(新版)_01课件+教案+练习(大单元设计)_教案
1.1正数和负数(第一课时)-教案_初中数学人教版_7上-初中数学人教版_7上-初中数学人教版(新版)_01课件+教案+练习(大单元设计)_教案
1.1正数和负数(第一课时)-教案_初中数学人教版_7上-初中数学人教版_7上-初中数学人教版(新版)_01课件+教案+练习(大单元设计)_教案
1.1正数和负数(第一课时)-教案_初中数学人教版_7上-初中数学人教版_7上-初中数学人教版(新版)_01课件+教案+练习(大单元设计)_教案
1.1正数和负数(第一课时)-教案_初中数学人教版_7上-初中数学人教版_7上-初中数学人教版(新版)_01课件+教案+练习(大单元设计)_教案
1.1正数和负数(第一课时)-教案_初中数学人教版_7上-初中数学人教版_7上-初中数学人教版(新版)_01课件+教案+练习(大单元设计)_教案
1.1正数和负数(第一课时)-教案_初中数学人教版_7上-初中数学人教版_7上-初中数学人教版(新版)_01课件+教案+练习(大单元设计)_教案
1.1正数和负数(第一课时)-教案_初中数学人教版_7上-初中数学人教版_7上-初中数学人教版(新版)_01课件+教案+练习(大单元设计)_教案
1.1正数和负数(第一课时)-教案_初中数学人教版_7上-初中数学人教版_7上-初中数学人教版(新版)_01课件+教案+练习(大单元设计)_教案

文档信息

文档格式
docx
文档大小
0.451 MB
文档页数
10 页
上传时间
2026-03-25 16:44:09

文档内容

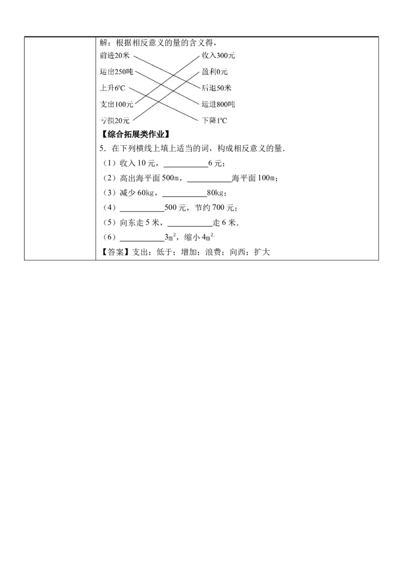
分课时教学设计第一课时《正数和负数(1)》教学设计 课型 新授课☑ 复习课口 试卷讲评课口 其他课口 教学内容分析 正数和负数的概念和意义不仅是本章节关于有理数的概念的基础,也是初中 数学代数部分的基础,同时,引入负数是数的扩展的实际需要。 学习者分析 七年级的学生,已经有了当数不够用时而引入新数的经历,但对于从具有相 反意义的量引入负数,用负数来表示实际问题开始还是不习惯的,因此在教 学中应从具体的事例出发,引导学生正确认识负数和数0表示量的意义,让学 生通过思考、探究、归纳,主动地进行学习。 教学目标 1.了解正数和负数,理解0表示的意义; 2.会用正、负数表示具有相反意义的量。 教学重点 了解负数的意义,学会用正负数表示日常生活中具有相反意义的量。 教学难点 了解负数的意义并理解0的含义, 培养学生的观察、想象、归纳、概括的能 力。 学习活动设计 教师活动 学生活动 环节一:学习目标 教师活动1: 学生活动1: 师出示学习目标: 学生齐声读本课的学习目标 1.了解正数和负数,理解0表示的意义; 2.会用正、负数表示具有相反意义的量。 学生读后强调本课学习的重点 活动意图说明: 明确本节课的学习目标,使教师的教和学生的学有效结合在一起,激发学生的学习动 力,提高学生课堂参与的兴趣与积极性。 环节二:新知导入 教师活动2: 学生活动2: 问题:你知道数是怎么来的吗? 学生认真听老师的讲解,然后小组交流讨 师出示图片并介绍数的产生和发展史: 论在我国古代,由记数、排序,产生数1, 2,3,… 即:结绳记数 在古印度,由表示“没有”“空位”,产 生数0 1 在古埃及,由分物、测量,产生分数 , 2 1 , … 3 活动意图说明: 使学生感受数的产生和发展离不开生活和生产的需要. 环节三:新知讲解 教师活动3: 学生活动3: 师指出:在小学,我们从日常生活中的实 学生分小组讨论老师出示的3个问题,然 例出发,先后学习了整数、小数、分数及 后派代表汇报 其运算。在日常生活、生产和科研中,还 会遇到另外一些数的表示问题. 出示问题: (1)北京冬季某一天的最高气温为零上3 摄氏度,最低气温为零下3摄氏度。如何 用数区分“零上3摄氏度”和“零下3摄 氏度”? 讲解:温度比0℃高,称为零上温度;温度比0℃低,称为零下温度。 零上和零下温度是以0℃为分界点的具有 相反意义的量. 即:零上3摄氏度用3℃表示, 零下3摄氏度则用−3℃表示 (2)某公司今年7月份盈利50万元,8月份 亏损10万元。该公司在记账时如何用数分 别表示“盈利50万元”和“亏损10万 元”? 讲解:盈利额和亏损额是具有相反意义的 量, 如果用50万元表示盈利50万元, 就可以用−10万元表示亏损10万元。 (3)某年,我国棉花产量比上年增长7.8%, 玉米产量比上年减少0.7%.统计这两种农 作物产量的变化情况时,如何用数分别表 示“增长7.8%”和“减少0.7%”? 讲解:增长的百分率和减少的百分率是具 有相反意义的量, 如果用7.8%表示增长7.8%, 就可以用−0.7%表示减少0.7%. 归纳:像3,50,7.8%,……这样大于0 和老师一起归纳正数和负数,体会数的扩 的数叫做正数;− 3, − 10, − 充 2.7%……这样在正数前面加上符号“−” (负)的数叫做负数。其中符号“−”是 负号,诗作“负”。有时,为了明确表达 与负数的相反意义,在正数的前面也加上 符号“+”(读作“正”)。 一个数前面的“+”“−”号叫作这个数的符 号。 指出:0既不是正数,也不是负数. 学生认真听老师的讲解 溯源:我国是历史上最早认识和使用负数 的国家。至迟成书于东汉早期(约公元1世 纪)的我国古代数学著作《九章算术》,在“方程”一章中提出了正数、负数的概念 及其加减运算法则,如关于家畜买卖的第 八题,使用“正与负”来表示“卖出与买 入”,将卖出家畜获得的钱数记为正,买 入家畜付出的钱数记为负.魏晋时期的数 学家刘徽在为《九章算术》作注时,用不 同颜色的算筹分别表示正数和负数,红色 为正,黑色为负。 指出:如果一个问题中出现具有相反意义 的量,就可以用正数和负数分别表示它 们。 学生小组合作探究,完成例题后班内汇报 例1:某校组织学生去劳动实践基地采摘 橘子,并称重、封装.一箱橘子的标准质 量为2.5kg.如果用正数表示超过标准的质 量,那么 (1)比标准质量多65g和比标准质量少30g 各怎么表示? (2)50g, −27g各表示什么意思? 解:(1)比标准质量多65g用+65g表示,比 标准质量少30g用−30g表示; (2)50g表示这箱橘子的质量比标准质量多 50g, −27g表示这箱橘子的质量比标准质 量少27g. 活动意图说明: 通过举一些实际生活中具有相反意义的量,说明为了表示相反意义的量,我们需要引 入负数,这样做一方面强调了数学的严密性,另一方面让学生知道,要解决这些问题 就需要学习新的数的知识,从而理解正数、负数和0,体会到数的扩充过程,通过过例 题,使学生学会用正数与负数表示具有相反意义的量。并引导学生及时总结,提炼出可以指导解答其他同类问题的一般性结论.一般而言,我们习惯上把“上升”、“盈 利”、“增加”、“收入”等规定为正,把与它们相反的量规定为负. 环节四:课堂小结 教师活动4: 学生活动4: 问题:本节课你都学习到了哪些知识? 学生积极回顾本节课学习到的知识 教师通过学生的回答,进行归纳 活动意图说明: 通过学生自己回顾、总结、梳理所学的知识,将所学的知识与以前学过的知识进行紧 密联系,完善认知结构和知识体系。板书设计 课题:1.1 正数和负数(第1课时) 一、正数和负数 二、0既不是正数,也 教师板演区 学生展示区 不是负数 三、用正、负数表示具 有相反意义的量 课堂练习 【知识技能类作业】 必做题: 2 1 1 1.已知下列各数:− ,−2 ,3.14,0,0.2,−216,6, ,其中正数有 3 2 2 ;负数有 . 1 2 1 解:正数3.14,0.2,6, ;负数有− ,−2 ,−216. 2 3 2 2.小红同学向东运动3米记作−3米,则记作+5米表示小红( ) A.向东运动5米 B.向南运动5米 C.向西运动5米 D.向北运动5米 【答案】C 3.(1)在天气预报中,零上12度用12°C表示,那么零下5度表示为 °C. (2) 如果盈利300元用+300元表示,那么亏损300元表示为 元. (3)水位升高3m时水位变化记作+3m,那么水位下降3m记作 . 【答案】−5;−300;−3m 选做题: 4.把下列具有相反意义的量用线连接起来. 前进20米 收入300元 运出250吨 盈利0元 上升6°C 后退50米 支出100元 运进800吨 亏损20元 下降1°C解:根据相反意义的量的含义得, 【综合拓展类作业】 5.在下列横线上填上适当的词,构成相反意义的量. (1)收入10元, 6元; (2)高出海平面500m, 海平面100m; (3)减少60kg, 80kg; (4) 500元,节约700元; (5)向东走5米, 走6米. (6) 3m2,缩小4m2. 【答案】支出;低于;增加;浪费;向西;扩大作业设计 【知识技能类作业】 必做题: 5 1.下列各数中:5,− ,−3,0,−25.8,+2,负数有( ) 7 A.1个 B.2个 C.3个 D.4个 【答案】C 2.中国是最早使用正负数表示具有相反意义的量的国家.若向北运动100米 记作+100米,则向南运动100米可记作( ) A.100米 B.−100米 C.200米 D. −200米 【答案】B 3.写出与下面各量具有相反意义的量,并用正负数表示. (1)气温是零上8℃,零上为正; (2)向南走200米,向南为负; (3)转动转盘,顺时针转动5圈,顺时针旋转为正; (4)高于海平面8米,高于海平面为正. 【答案】(1)气温是零下8℃,−8℃ (2)向北走200米,+200米 (3)逆时针转动转盘5圈,−5圈 (4)低于海平面8米,−8米 选做题: 4.小慧和小谷玩猜字游戏,规则为:胜一次记作“+1”分,平局记作“0” 分,负一次记作“−1”分.猜字两次后,小慧得分为+2分,则小谷此时的得 分为( ) A.+2 B.−2 C.+1 D.−1 【答案】B 【综合拓展类作业】 5.(1)如果节约20kW⋅h电记作+20kW⋅h,那么浪费10kW⋅h电记作什么? (2)如果−20.50元表示亏本20.50元,那么+100.57元表示什么? (3)如果+20%表示增加20%,那么−6%表示什么? 解:(1)节约与浪费是具有相反意义的量, 若节约20kW⋅h电记作+20kW⋅h,那么浪费10kW⋅h电记作−10kW⋅h; (2)盈利与亏本是具有相反意义的量, 若−20.50元表示亏本20.50元,那么+100.57元表示盈利100.57元;(3)增加和减少是具有相反意义的量, 若+20%表示增加20%,那么−6%表示减少6%. 教学反思 本课是第一章有理数的第一节课时.引入负数是数的范围的一次重要扩充, 而负数相对于以前的数,对学生来说显得更抽象,因此,需要用实例来理 解,让学生去感受和体验并接受生活生产实际中确实存在着两种相反意义的 量,这些量可以用正负数来表示,当学生接受了这个事实后,引入负数(为 了区分这两种相反意义的量)就是顺理成章的事了。在教学中,借助实例让 学生体会到数学的应用价值,同时在教学活动中培养了学生自主学习、合作 交流的能力。