当前位置:首页>文档>专题12《数据的收集、整理与描述》解答题重点题型分类(原卷版)_初中数学人教版_7下-初中数学人教版_7下-初中数学人教版(旧版)赠送_06习题试卷_5专项练习

专题12《数据的收集、整理与描述》解答题重点题型分类(原卷版)_初中数学人教版_7下-初中数学人教版_7下-初中数学人教版(旧版)赠送_06习题试卷_5专项练习

  • 2026-04-02 18:27:32 2026-03-27 08:45:23

文档预览

专题12《数据的收集、整理与描述》解答题重点题型分类(原卷版)_初中数学人教版_7下-初中数学人教版_7下-初中数学人教版(旧版)赠送_06习题试卷_5专项练习
专题12《数据的收集、整理与描述》解答题重点题型分类(原卷版)_初中数学人教版_7下-初中数学人教版_7下-初中数学人教版(旧版)赠送_06习题试卷_5专项练习
专题12《数据的收集、整理与描述》解答题重点题型分类(原卷版)_初中数学人教版_7下-初中数学人教版_7下-初中数学人教版(旧版)赠送_06习题试卷_5专项练习
专题12《数据的收集、整理与描述》解答题重点题型分类(原卷版)_初中数学人教版_7下-初中数学人教版_7下-初中数学人教版(旧版)赠送_06习题试卷_5专项练习
专题12《数据的收集、整理与描述》解答题重点题型分类(原卷版)_初中数学人教版_7下-初中数学人教版_7下-初中数学人教版(旧版)赠送_06习题试卷_5专项练习
专题12《数据的收集、整理与描述》解答题重点题型分类(原卷版)_初中数学人教版_7下-初中数学人教版_7下-初中数学人教版(旧版)赠送_06习题试卷_5专项练习
专题12《数据的收集、整理与描述》解答题重点题型分类(原卷版)_初中数学人教版_7下-初中数学人教版_7下-初中数学人教版(旧版)赠送_06习题试卷_5专项练习
专题12《数据的收集、整理与描述》解答题重点题型分类(原卷版)_初中数学人教版_7下-初中数学人教版_7下-初中数学人教版(旧版)赠送_06习题试卷_5专项练习
专题12《数据的收集、整理与描述》解答题重点题型分类(原卷版)_初中数学人教版_7下-初中数学人教版_7下-初中数学人教版(旧版)赠送_06习题试卷_5专项练习
专题12《数据的收集、整理与描述》解答题重点题型分类(原卷版)_初中数学人教版_7下-初中数学人教版_7下-初中数学人教版(旧版)赠送_06习题试卷_5专项练习
专题12《数据的收集、整理与描述》解答题重点题型分类(原卷版)_初中数学人教版_7下-初中数学人教版_7下-初中数学人教版(旧版)赠送_06习题试卷_5专项练习
专题12《数据的收集、整理与描述》解答题重点题型分类(原卷版)_初中数学人教版_7下-初中数学人教版_7下-初中数学人教版(旧版)赠送_06习题试卷_5专项练习
专题12《数据的收集、整理与描述》解答题重点题型分类(原卷版)_初中数学人教版_7下-初中数学人教版_7下-初中数学人教版(旧版)赠送_06习题试卷_5专项练习
专题12《数据的收集、整理与描述》解答题重点题型分类(原卷版)_初中数学人教版_7下-初中数学人教版_7下-初中数学人教版(旧版)赠送_06习题试卷_5专项练习
专题12《数据的收集、整理与描述》解答题重点题型分类(原卷版)_初中数学人教版_7下-初中数学人教版_7下-初中数学人教版(旧版)赠送_06习题试卷_5专项练习
专题12《数据的收集、整理与描述》解答题重点题型分类(原卷版)_初中数学人教版_7下-初中数学人教版_7下-初中数学人教版(旧版)赠送_06习题试卷_5专项练习
专题12《数据的收集、整理与描述》解答题重点题型分类(原卷版)_初中数学人教版_7下-初中数学人教版_7下-初中数学人教版(旧版)赠送_06习题试卷_5专项练习
专题12《数据的收集、整理与描述》解答题重点题型分类(原卷版)_初中数学人教版_7下-初中数学人教版_7下-初中数学人教版(旧版)赠送_06习题试卷_5专项练习
专题12《数据的收集、整理与描述》解答题重点题型分类(原卷版)_初中数学人教版_7下-初中数学人教版_7下-初中数学人教版(旧版)赠送_06习题试卷_5专项练习
专题12《数据的收集、整理与描述》解答题重点题型分类(原卷版)_初中数学人教版_7下-初中数学人教版_7下-初中数学人教版(旧版)赠送_06习题试卷_5专项练习
专题12《数据的收集、整理与描述》解答题重点题型分类(原卷版)_初中数学人教版_7下-初中数学人教版_7下-初中数学人教版(旧版)赠送_06习题试卷_5专项练习

文档信息

文档格式
docx
文档大小
1.381 MB
文档页数
17 页
上传时间
2026-03-27 08:45:23

文档内容

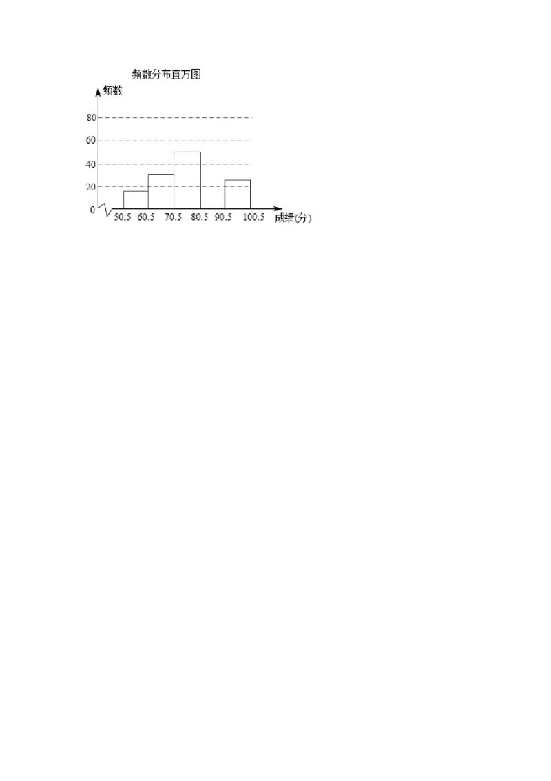
专题12 《数据的收集、整理与描述》解答题重点题型分类 专题简介:本份资料专攻《数据的收集、整理、描述》中“有关扇形统计图的解答题”、 “有关条形统计图的解答题”、“频数分布直方图”重点题型;适用于老师给学生作复习 培训时使用或者考前刷题时使用。 考点1:有关扇形统计图的解答题 方法点拨:圆代表总体,扇形代表总体中的不同部分,扇形的大小反映部分占 总体的百分。 1.2021年两会推出“振兴乡村”政策,小明想了解本小区居民对“振兴乡村”的看法, 进行了一次抽样调查,把居民对“振兴乡村”的看法分为四个层次:A.非常赞同;B.赞 同;C.无所谓;D.不赞同.并将调查结果绘制了图1和图2两幅不完整的统计图. 请你根据图中提供的信息解答下列问题: (1)求本次被抽查的居民有多少人?并将图1和图2补充完整; (2)估计该小区2000名居民中对“振兴乡村”的看法表示赞同(包括A层次和B层次)的 大约有多少人? 2.某区为了解八年级学生视力健康状况,在全区随机抽查了部分八年级学生2021年末的 视力数据,并根据调查结果绘制成如下统计图. 青少年视力健康标准 类别 视力 健康状况 A 视力≥5.0 视力正常 B 视力=4.9 轻度视力不良 4.6≤视力 C 中度视力不良 ≤4.8 D 视力≤4.5 重度视力不良(1)本次调查的样本容量是______; (2)补全条形统计图; (3)已知该区2021年末有八年级学生6000人,请估计该区八年级学生2021年末视力不良的 人数. 3.五一期间在银川会展中心进行车展,某汽车经销商推出A、B、C、D四种型号的小轿车 共1000辆进行展销.C型号轿车销售的成交率为50%,其它型号轿车的销售情况绘制在图 1和图2两幅尚不完整的统计图中. (1)请你将图2的统计图补充完整. (2)通过计算说明,哪一种型号的轿车销售情况最好? (3)若对已售出轿车进行抽奖,现将已售出A、B、C、D四种型号轿车的发票(一车一票) 放到一起,从中随机抽取一张,求抽到A型号轿车发票的概率. 4.随着社会的发展,私家车变得越来越普及,使用节能低油耗汽车,被抽样的该型号汽车, 在耗油1L的情况下所行驶的路程(单位:km),结果如图所示.(注:记A为12~12.5,B为12.5~13,C为13~13.5,D为13.5~14,E为14~14.5) 请依据统计结果回答以下问题: (1)试求进行该试验的车辆数; (2)请补全频数直方图; (3)求扇形D的圆心角的度数. 5.为了解学生对网上在线学习效果的满意度,某校设置了:非常满意、满意、基本满意、 不满意四个选项,随机抽查了部分学生,要求每名学生都只选其中的一项,并将抽查结果 绘制成如图统计图(不完整). 请根据图中信息解答下列问题: (1)求被抽查的学生人数,并补全条形统计图; (2)求扇形统计图中表示“满意”的扇形的圆心角度数; (3)若该校共有2000名学生参与网上在线学习,根据抽查结果,试估计该校对学习效果的 满意度是“非常满意”或“满意”的学生共有多少人? 6.为推进“健康中国行”,某地积极推进垃圾分类政策,引导居民根据“厨余垃圾”、 “有害垃圾”、“可回收物”和“其他垃圾”这四类标准将垃圾分类处理.调查小组就某 小区居民对垃圾分类知识的了解程度进行了抽样调查,并根据调查结果绘制成统计图.(1)本次调查的样本容量是______人,扇形统计图中“较少了解”部分的圆心角是______°. (2)补全条形统计图; (3)已知该小区有居民4000人,请估计该小区对垃圾分类知识“完全了解”的居民人数. 7.随着信息技术的不断发展,人们获取信息的途径越来越多,随之而来的是报纸订阅量的 不断下降.因此,某报社的记者为了了解市民“获取新闻最主要的途径”,开展了一次随 机抽样调查,要求被调查的市民必选且只能选择其中一项.他根据调查结果绘制了一幅不 完整的扇形统计图,根据统计图可知,“手机上网”和“电脑上网”作为“获取新闻最主 要的途径”的市民分别有240人和224人,在扇形统计图中a,b满足 .请根据所 给信息,解答下列问题: (1)请计算扇形统计图中“电脑上网”所在扇形的圆心角的度数; (2)求扇形统计图中a,b的值; (3)若该市约有20万人,求通过电脑上网和手机上网两种方式作为“获取新闻最主要的途 径”约有多少人? 8.本学期开学后,某校为了激发学生进行体育活动的积极性,提高学生身体素质,对九年 级学生进行了1分钟“跳绳”项目摸底测试,同时统计了每个人的跳绳个数(设为x).现 在将这些同学中女生的测试结果随机抽取若干个成绩进行分析,分为四个等级:A.优秀 (x≥170)、B.良好(145≤x≤169)、C.及格(120≤x≤144)和D.不及格(x≤119),并 将统计结果绘制成如图两幅不完整的统计图.请你根据以上信息,解答下列问题: (1)补全如图的条形统计图和扇形统计图; (2)被测试女生1分钟“跳绳”个数的中位数落在 等级; (3)如果该校九年级现有女生500人,请估计该校九年级女生中1分钟“跳绳”个数达到优 秀的人数. 考点2:有关条形统计图的解答题 方法点拨:图用宽度相等的“条形”的高度描述数据的变化情况 1.健身是一种生活态度,健康的健身方式可以帮助人们塑造完美的身材,增强身体的免疫 力,还可以愉悦心情,所以说合理健身对个人生活乃至精神面貌都是非常有帮助的.某小 区物业为了解本小区居民的健身活动情况,从本小区居民中随机抽取了50名进行问卷调查, 调查问卷如下. 健身活动时长调查问卷 最近一周内你健身活动的总时长为_____. A.0~0.5小时 B.0.5~1小时 C.1~1.5小时 D.1.5小 时及以上 (每组含最小值,不含最大值)请根据实际情况选择最符合的一项,感谢参与! 收集数据:将随机抽取的50名居民的调查问卷结果记录如下: ACBBB ACBDB CDBDD ABDDA BCBBC BCBCA BCBCA BADBA DBABB BCDBA 整理数据:整理这组数据,并绘制了如下尚不完整的统计图.根据以上信息,解答下列问题: (1)请将条形统计图补充完整. (2)若根据调查结果绘制出扇形统计图,则在扇形统计图中,选项C所在扇形的圆心角度数 为_____________. (3)若该小区共有居民5000人,估计该小区全体居民中最近一周内健身活动总时长低于1小 时的人数; (4)根据调查结果,请对该小区居民健身活动情况作出评价,并提出一条合理化的建议. 2.为了丰富同学们的课余生活,163中学开展以“我最喜欢的课外活动小组”为主题的调 查活动,围绕“在绘画、剪纸、舞蹈、书法四类活动小组中,你最喜欢哪一类?(必选且 只选一类)”的问题,在全校范围内随机抽取部分学生进行问卷调查,将调查结果整理后 绘制成如图所示的不完整的条形统计图,其中最喜欢绘画小组的学生人数占所调查人数的 30%,请你根据图中提供的信息回答下列问题: (1)在这次调查中,一共抽取了多少名学生? (2)请通过计算补全条形统计图; (3)若163中学共有1200名学生,请你估计该中学最喜欢剪纸小组的学生有多少名. 3.为了提高学生的综合素养,某校开设了五门手工活动课,按照类别分为:A.“剪纸”、 B.“沙画”、C.“雕刻”、D.“泥塑”E.“插花”.为了了解学生对每种活动课的 喜爱情况,随机抽取了部分同学进行调查,将调查结果绘制成如图所示两幅不完整的统计 图.根据以上信息,回答下列问题: (1)本次共调查了 名学生;统计图中的a= ,b= . (2)通过计算补全条形统计图; (3)该校共有3500名学生,请你估计全校喜爱“雕刻”的学生人数. 4.在“双减”背景下,某校拟开展课后服务活动,对各班同学的业余兴趣爱好进行了一次 调查,根据采集到某班的数据绘制了下面的统计图.请据图中提供的信息,解答下列问题: (1)该班共有______人; (2)在图1中,请将条形统计图补充完整; (3)在图2的扇形统计图中,求音乐部分所对应的圆心角的度数. 5.某校为了了解本校七年级学生的视力情况(视力情况分为:不近视、轻度近视、中度近 视、重度近视),随机对七年级的部分学生进行了抽样调查,将结果进行整理后,绘制了 如下不完整的统计图,请你根据以上信息解答下列问题: (1)求本次调查的学生人数,并补全条形统计图; (2)在扇形统计图中,“不近视”对应扇形的圆心角的度数是多少度? (3)若该校七年级学生有1052人,请你估计该校七年级“重度近视”的学生大约有多少人? 6.“文明城市,你我共建”一起助力酒县创建全国文明城市,下面是某校“数学之星”课 外兴趣小组的同学们,在对4个自行车骑行规则进行调查时设计的问卷. 自行车骑行规则知多少 我们来自课外兴趣小组,为了了解我市市民骑行自行车的安全意识,i问填写这份问卷. 谢谢合作! 规则1不准在机动车道内骑行______.A.知道B.不知道 规则2不准闯红灯______.A.知道B.不知道 规则3不准骑车带人______.A.知道B.不知道 规则4横过人行横道时不准骑行______.A.知道B.不知道 小组的同学们随机抽取了部分市民进行调查,并将结果制成了如下两幅不完整的统计图, 请根据统计图解答下列问题: (1)求被调查的市民人数; (2)在扇形统计图中,求“4个规则全知道”所对圆心角的度数; (3)请补全条形统计图.7.从全校随机抽取了部分学生,调查了他们平均每周的课外阅读时间t(单位:小时)﹒ 把调查结果分为四档,A档:t<8;B档:8≤t<9;C档:9≤t<10;D档:t≥10.根据调查 情况,绘制了如图所示的两幅不完整统计图,根据图中信息解答问题: (1)本次调查的学生人数有 人,并将条形图补充完整: (2)在扇形统计图中,B档所对圆心角的度数为 度; (3)已知全校共1200名学生,请你估计全校C档和D档共有多少人? 8. 年 月 日,教育部办公厅印发了 关于加强义务教育学校作业管理的通知 以 下简称 通知 通知 强调要严格控制书面作业总量,要求小学一二年级不布置书面家庭 作业,小学其他年级每天书面作业完成时间平均不超过 分钟;初中不超过 分钟.同 时, 通知 明确提出不得要求学生自批自改,严禁给家长布置或变相布置作业,严禁要求 家长批改作业,让作业回归到学校育人环节中来.有条件的地方,鼓励科学利用信息技术 手段进行作业分析诊断.某校对八年级学生每天完成数学作业时间调查如下,按照完成时 间分为: “ 分钟”、 “ 分钟”、 “ 分钟”、 “ 分钟”、 “ 分钟” 为了了解学生对课外数学作业的完成情况,随机抽取了部分同学进行调查,将调查结果绘 制成如图两幅不完整的统计图. 根据以上信息,回答下列问题: (1)统计图中的 ______, ______; (2)该校八年级共有 名学生,请你估计该校八年级学生能在 分钟内完成数学作业的学生人数. (3)为了学生各学科之间均衡发展,你认为该校八年级布置的数学课外作业是否合理?若合 理,请你说明理由.若不合理,请你设计出合理化的布置方案. 考点3:频数分布直方图 方法点拨:(1)频数之和等于样本容量,各频率之和等于1; (2)制作频数分布表的一般步骤:①计算最大值与最小值的差;②决定组距和 组数; ③确定分点;④列频数分布表. 1.为了了解长春市冬季的天气变化情况,热爱气象观察的小明记录了2021年11月份30 天的天气情况,具体信息如下: 最高气 最低气 最高气 最低气 日期 天气 日期 天气 温 温 温 温 11﹣01 4℃ 0℃ 多云 11﹣16 2℃ ﹣2℃ 晴 11﹣02 9℃ 3℃ 阴 11﹣17 6℃ ﹣1℃ 阴 11﹣03 12℃ 2℃ 晴 11﹣18 4℃ ﹣6℃ 多云 11﹣04 15℃ ﹣2℃ 阴 11﹣19 0℃ ﹣6℃ 多云 11﹣05 15℃ 10℃ 多云 11﹣20 0℃ ﹣7℃ 多云 11﹣06 2℃ ﹣6℃ 多云 11﹣21 ﹣4℃ ﹣9℃ 阴 11﹣07 ﹣3℃ ﹣4℃ 多云 11﹣22 ﹣8℃ ﹣12℃ 多云 11﹣08 9℃ ﹣4℃ 多云 11﹣23 ﹣8℃ ﹣15℃ 晴 11﹣09 ﹣3℃ ﹣6℃ 多云 11﹣24 ﹣7℃ ﹣14℃ 晴 11﹣10 ﹣2℃ ﹣5℃ 小雪 11﹣25 ﹣5℃ ﹣13℃ 多云 11﹣11 6℃ 2℃ 多云 11﹣26 ﹣3℃ ﹣13℃ 多云 11﹣12 ﹣1℃ ﹣7℃ 晴 11﹣27 0℃ ﹣1℃ 多云11﹣13 4℃ ﹣6℃ 多云 11﹣28 6℃ ﹣4℃ 多云 11﹣14 12℃ 9℃ 阴 11﹣29 ﹣2℃ ﹣7℃ 多云 11﹣15 2℃ ﹣4℃ 晴 11﹣30 ﹣4℃ ﹣11℃ 多云 请你帮助小明同学把以上数据整理成统计图表. 2021年11月份长春市最低气温统计表 最低气温分组 频数 频率 10℃及10℃以上 大于等于5℃小于 10℃ 大于等于0℃小于 4 5℃ 大于等于﹣5℃小于 9 0.3 0℃ 大于等于﹣10℃小 a 于﹣5℃ ﹣10℃以下 b m (1)补全条形统计图; (2)2021年11月份长春市最低气温统计表中a= ;b= ;m= . 2.2021年3月教育部发布了《关于进一步加强中小学生睡眠管理工作的通知》,明确初 中生每天睡眠时间要达到9小时.为了解某校七年级学生的睡眠情况,小明等5名同学组 成学习小组随机抽查了该校七年级40名学生一周(7天)平均每天的睡眠时间(单位:小 时)如下: 8;6.8;6.5;7.2;7.1;7.5;7.7;9 ;8.3;8 8.3;9 ;8.5; 8; 8.4 ;8 ;7.3 ;7.5; 7.3 ;9 8.3 ;6 ;7.5; 7.5 ;9 ;6.5; 6.6; 8.4 ;8.2 ;8.1 7 ;7.8; 8 ;9 ;7 ;9; 8 ;6.6; 7; 8.5 该小组将上面收集到的数据进行了整理,绘制成频数分布表和频数分布直方图. 平均每天睡眠时间频数分布表 分组 频数 17 6 13 2 根据以上信息,解答下列问题: (1)表中 , ; (2)请补全频数分布直方图; (3)若该校七年级共有360名学生,请你估算其中睡眠时间不少于9小时的学生约有多少人. 3.小敏同学为了解2020年某小区家庭月均用水情况,随机调查了该小区部分家庭,并将 调查数据进行分组整理,其中月均用水量在15<x≤20这组的数据是: 16,17,17,17,18,18,19,20,20,20. 随机调查该小区家庭月均用水量频数分布表 月均用水量x 频数 频率 (t) (户) 0<x≤5 6 0.12 5<x≤10 a 0.28 10<x≤15 16 b 15<x≤20 10 0.2020<x≤25 4 0.08 请解答以下问题: (1)表中a= ,b= ; (2)把上面的频数分布直方图补充完整; (3)求该小区用水量不超过15t的家庭占被调查家庭总数的百分比; (4)若该小区有1000户家庭,根据调查数据估计,该小区月均用水量超过18t的家庭大约有 多少户? 4.某学校组织了一次知识竞赛,赛后发现所有学生的成绩(总分100分)均不低于50分, 为了解本次竞赛的成绩分布情况,随机抽取若干名学生的成绩作为样本进行整理,并绘制 了不完整的统计图表. 学校若干名学生成绩分布统计表 分数段(成绩为x分) 频数 频率 16 0.08 a 0.31 72 0.36 c d 12 b请你根据统计图表解答下列问题: (1)此次抽样调查的样本容量是_________. (2)填空: _________, _________, _________. (3)请补全学生成绩分布直方图. (4)比赛按照分数由高到低共设置一、二、三等奖,如果有25%的参赛学生能获得一等奖, 那么一等奖的分数线是多少? 5.某校组织1002名学生参加“展示我美丽祖国”庆国庆的自拍照片的评比活动.随机抽 取一些学生在评比中的成绩制成的统计图表如表: 频数分布表 分数段 频数 百分比 80≤x<85 a 20% 85≤x<90 80 b 90≤x<95 60 30% 95≤x<100 20 根据以上图表提供的信息,解答下列问题: (1)写出表中a、b的数值:a= ,b= ; (2)补全频数分布表和频数分布直方图;(3)如果评比成绩在95分以上的可以获得一等奖,试估计该校参加此次活动获得一等奖的 人数. 6.某校组织1000名学生参加“展示我美丽祖国 ”庆国庆的自拍照片的评比活动.随机机 取一些学生在评比中的成绩制成的统计图表如下: 频数分布表 分数 百分 频数 段 比 80≤x a 20% <85 85≤x 80 b <90 90≤x 60 30% <95 95≤x 20 <100 根据以上图表提供的信息,解答下列问题: (1)写出表中a、b的数值:a ,b  ; (2)补全频数分布表和频数分布直方图; (3)如果评比成绩在95分以上(含95 分)的可以获得一等奖,试估计该校参加此次活动获得一等 奖的人数. 7.经济快速发展使得网店的规模越来越大,现甲、乙两家电商公司拟各招聘一名网络客服, 日工资方案如下:甲公司规定底薪100元,每销售一件产品提成1元;乙公司规定底薪140 元,日销售量不超过44件没有提成,超过44件且不超过48件时,超过的部分每件提成8 元,超过48件的部分每件提成10元.现随机抽取了甲、乙两家销售公司100天的销售单, 对两个公司的推销员平均每天销售单数进行统计,数据如图. (1)如果甲公司一名网络客服的日销售件数为46件,则甲公司这名网络客服当日的工资 为多少元? (2)设乙公司一名网络客服的日工资为y(单位:元),日销售件数为x件,写出乙公司 一名网络客服的日工资y(单位:元)与销售件数x的关系式; (3)小华利用假期到两家公司中的一家应聘网络客服,如果仅从日均收入的角度考虑,请 你利用所学的统计学知识为他做出选择,并说明理由. 8.为了强身健体,更好的学习和生活,某学校初二年级600名同学积极跑步,体育陈老师 为整个年级同学进行了跑步测试.为了解同学整体跑步能力,从中抽取部分同学的成绩 (得分取正整数,满分为100分)进行统计分析,得到如下所示的频数分布表: 分数段 50.5﹣60.5 60.5﹣70.5 70.5﹣80.5 80.5﹣90.5 90.5﹣100.5 频数 18 30 50 a 22 所占百分比 9% 15% 25% b% c 请根据尚未完成的表格,解答下列问题: (1)本次抽样调查的样本容量为 ,表中c= ; (2)补全如图所示的频数分布直方图; (3)若成绩小于或者等于70分的同学的跑步能力需加强锻炼和提高,估计该校八年级同 学中需要加强锻炼和提高的有 人.