当前位置:首页>文档>专题6.2实数之九大考点-学霸满分2023-2024学年七年级数学下册重难点专题提优训练(人教版)专题6.2实数之九大考点(解析版)_初中数学人教版_7下-初中数学人教版_07专项讲练

专题6.2实数之九大考点-学霸满分2023-2024学年七年级数学下册重难点专题提优训练(人教版)专题6.2实数之九大考点(解析版)_初中数学人教版_7下-初中数学人教版_07专项讲练

  • 2026-04-02 09:33:04 2026-03-28 00:48:54

文档预览

专题6.2实数之九大考点-学霸满分2023-2024学年七年级数学下册重难点专题提优训练(人教版)专题6.2实数之九大考点(解析版)_初中数学人教版_7下-初中数学人教版_07专项讲练
专题6.2实数之九大考点-学霸满分2023-2024学年七年级数学下册重难点专题提优训练(人教版)专题6.2实数之九大考点(解析版)_初中数学人教版_7下-初中数学人教版_07专项讲练
专题6.2实数之九大考点-学霸满分2023-2024学年七年级数学下册重难点专题提优训练(人教版)专题6.2实数之九大考点(解析版)_初中数学人教版_7下-初中数学人教版_07专项讲练
专题6.2实数之九大考点-学霸满分2023-2024学年七年级数学下册重难点专题提优训练(人教版)专题6.2实数之九大考点(解析版)_初中数学人教版_7下-初中数学人教版_07专项讲练
专题6.2实数之九大考点-学霸满分2023-2024学年七年级数学下册重难点专题提优训练(人教版)专题6.2实数之九大考点(解析版)_初中数学人教版_7下-初中数学人教版_07专项讲练
专题6.2实数之九大考点-学霸满分2023-2024学年七年级数学下册重难点专题提优训练(人教版)专题6.2实数之九大考点(解析版)_初中数学人教版_7下-初中数学人教版_07专项讲练
专题6.2实数之九大考点-学霸满分2023-2024学年七年级数学下册重难点专题提优训练(人教版)专题6.2实数之九大考点(解析版)_初中数学人教版_7下-初中数学人教版_07专项讲练
专题6.2实数之九大考点-学霸满分2023-2024学年七年级数学下册重难点专题提优训练(人教版)专题6.2实数之九大考点(解析版)_初中数学人教版_7下-初中数学人教版_07专项讲练
专题6.2实数之九大考点-学霸满分2023-2024学年七年级数学下册重难点专题提优训练(人教版)专题6.2实数之九大考点(解析版)_初中数学人教版_7下-初中数学人教版_07专项讲练
专题6.2实数之九大考点-学霸满分2023-2024学年七年级数学下册重难点专题提优训练(人教版)专题6.2实数之九大考点(解析版)_初中数学人教版_7下-初中数学人教版_07专项讲练
专题6.2实数之九大考点-学霸满分2023-2024学年七年级数学下册重难点专题提优训练(人教版)专题6.2实数之九大考点(解析版)_初中数学人教版_7下-初中数学人教版_07专项讲练
专题6.2实数之九大考点-学霸满分2023-2024学年七年级数学下册重难点专题提优训练(人教版)专题6.2实数之九大考点(解析版)_初中数学人教版_7下-初中数学人教版_07专项讲练
专题6.2实数之九大考点-学霸满分2023-2024学年七年级数学下册重难点专题提优训练(人教版)专题6.2实数之九大考点(解析版)_初中数学人教版_7下-初中数学人教版_07专项讲练
专题6.2实数之九大考点-学霸满分2023-2024学年七年级数学下册重难点专题提优训练(人教版)专题6.2实数之九大考点(解析版)_初中数学人教版_7下-初中数学人教版_07专项讲练
专题6.2实数之九大考点-学霸满分2023-2024学年七年级数学下册重难点专题提优训练(人教版)专题6.2实数之九大考点(解析版)_初中数学人教版_7下-初中数学人教版_07专项讲练
专题6.2实数之九大考点-学霸满分2023-2024学年七年级数学下册重难点专题提优训练(人教版)专题6.2实数之九大考点(解析版)_初中数学人教版_7下-初中数学人教版_07专项讲练
专题6.2实数之九大考点-学霸满分2023-2024学年七年级数学下册重难点专题提优训练(人教版)专题6.2实数之九大考点(解析版)_初中数学人教版_7下-初中数学人教版_07专项讲练
专题6.2实数之九大考点-学霸满分2023-2024学年七年级数学下册重难点专题提优训练(人教版)专题6.2实数之九大考点(解析版)_初中数学人教版_7下-初中数学人教版_07专项讲练
专题6.2实数之九大考点-学霸满分2023-2024学年七年级数学下册重难点专题提优训练(人教版)专题6.2实数之九大考点(解析版)_初中数学人教版_7下-初中数学人教版_07专项讲练
专题6.2实数之九大考点-学霸满分2023-2024学年七年级数学下册重难点专题提优训练(人教版)专题6.2实数之九大考点(解析版)_初中数学人教版_7下-初中数学人教版_07专项讲练
专题6.2实数之九大考点-学霸满分2023-2024学年七年级数学下册重难点专题提优训练(人教版)专题6.2实数之九大考点(解析版)_初中数学人教版_7下-初中数学人教版_07专项讲练
专题6.2实数之九大考点-学霸满分2023-2024学年七年级数学下册重难点专题提优训练(人教版)专题6.2实数之九大考点(解析版)_初中数学人教版_7下-初中数学人教版_07专项讲练
专题6.2实数之九大考点-学霸满分2023-2024学年七年级数学下册重难点专题提优训练(人教版)专题6.2实数之九大考点(解析版)_初中数学人教版_7下-初中数学人教版_07专项讲练
专题6.2实数之九大考点-学霸满分2023-2024学年七年级数学下册重难点专题提优训练(人教版)专题6.2实数之九大考点(解析版)_初中数学人教版_7下-初中数学人教版_07专项讲练
专题6.2实数之九大考点-学霸满分2023-2024学年七年级数学下册重难点专题提优训练(人教版)专题6.2实数之九大考点(解析版)_初中数学人教版_7下-初中数学人教版_07专项讲练
专题6.2实数之九大考点-学霸满分2023-2024学年七年级数学下册重难点专题提优训练(人教版)专题6.2实数之九大考点(解析版)_初中数学人教版_7下-初中数学人教版_07专项讲练
专题6.2实数之九大考点-学霸满分2023-2024学年七年级数学下册重难点专题提优训练(人教版)专题6.2实数之九大考点(解析版)_初中数学人教版_7下-初中数学人教版_07专项讲练
专题6.2实数之九大考点-学霸满分2023-2024学年七年级数学下册重难点专题提优训练(人教版)专题6.2实数之九大考点(解析版)_初中数学人教版_7下-初中数学人教版_07专项讲练

文档信息

文档格式
docx
文档大小
0.452 MB
文档页数
24 页
上传时间
2026-03-28 00:48:54

文档内容

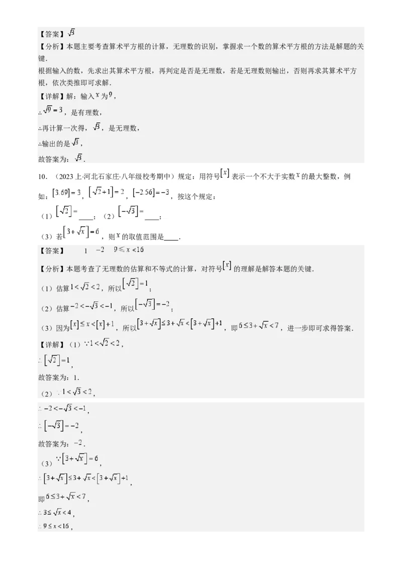
专题 6.2 实数之九大考点 目录 【典型例题】 【考点一 无理数的定义与分类】 【考点二 实数的分类】 【考点三 实数与数轴】 【考点四 实数的大小比较】 【考点五 无理数整数部分的有关计算】 【考点六 实数的混合运算】 【考点七 程序设计与实数运算】 【考点八 新定义下的实数运算】 【考点九 与实数运算相关的规律题】 【过关检测】 【典型例题】 【考点一 无理数的定义与分类】 例题:(2023上·江苏扬州·八年级扬州教育学院附中校考阶段练习)实数 , 中,无理 数有( ) A.1个 B.2个 C.3个 D.4个 【答案】B 【分析】本题考查了实数的分类,熟练牢记有理数的分类和无理数的概念是解题的关键. 【详解】解:由实数的分类可知,有理数分为分数和整数,无理数是无限不循环小数, , 无理数有 2个 故选:B. ∴ 【变式训练】 1.(2023上·河南郑州·八年级校考阶段练习)在实数 、0、 、 、 、 (每 相邻两个5之间0的个数依次加1), 中,无理数有( ) A.2个 B.3个 C.4个 D.5个 【答案】C 【分析】本题考查了无理数,根据无理数的定义即可求解,熟记:“无限不循环的小数是无理数”是解题的 关键.【详解】解:无理数的是: 、 、 (每相邻两个5之间0的个数依次加1), , 则无理数有4个, 故选:C. 2.(2023上·河北沧州·八年级统考期中)在实数 , , ,0, , , , , , (相邻两个1之间的0依次增加1个)中,无理数的个数为( ) A.2个 B.3个 C.4个 D.5个 【答案】B 【分析】本题考查了无理数的识别,无限不循环小数叫无理数,初中范围内常见的无理数有三类:① 类,如 , 等;②开方开不尽的数,如 , 等;③虽有规律但却是无限不循环的小数,如 (两个1之间依次增加1个0), (两个2之间依次增加1个1)等. 【详解】解: , , 在实数 , , ,0, , , , , , (相邻两个1之间的0依 次增加1个)中,无理数有 , , (相邻两个1之间的0依次增加1个),共3个, 故选B. 【考点二 实数的分类】 例题:(2023下·湖南株洲·七年级统考阶段练习)把下列各数分别填入相应的集合里: , , , ,0, , , . (1)有理数集合:{________________…}; (2)负无理数集合:{______________…}; (3)正实数集合:{________________…}. 【答案】(1) , ,0, , (2) , (3) , , 【分析】(1)根据有理数的定义,即可求解; (2)根据负无理数的定义,即可求解; (3)根据正实数的定义,即可求解. 【详解】(1)解: ,有理数集合:{ , ,0, , ,……}; 故答案为: , ,0, , ; (2)解:负无理数集合:{ , ,……}; 故答案为: , ; (3)解:正实数集合:{ , , ,……}. 故答案为: , , . 【点睛】本题考查了有理数及实数的定义及分类,有理数是整数和分数的统称,也可以说,可以化为整 数、有限小数和无限不循环小数的数都是有理数;无限不循环小数是无理数;实数是有理数和无理数的总 称;大于0的数叫做正数,在正数前面加上负号“﹣”的数叫做负数,0既不是正数,也不是负数. 【变式训练】 1.(2023下·广西崇左·七年级校考阶段练习)把下列各数填入相应的大括号内: 有理数集合: ;无理数集合: ; 正实数集合: ;负实数集合: . 【答案】 , , , ;: , , , ; , , , , ; , , . 【分析】根据实数的分类逐一填写即可. 【详解】解: , ∵ 中 ∴ 有理数集合为: , , , ; 无理数集合为: , , , ; 正实数集合为: , , , , ; 负实数集合为: , , . 【点睛】本题考查的是实数的分类,实数分为有理数与无理数,无限不循环的小数是无理数,熟记定义是 解本题的关键. 2.(2023上·宁夏银川·八年级银川唐徕回民中学校考期中)把下列各数分别填入所属的集合中: ① ;② ;③ ;④0;⑤ ;⑥ ;⑦ ;⑧ ;⑨有理数:{_____________________________}; 无理数:{_____________________________}; 正实数:{_____________________________}; 负实数:{_____________________________}. 【答案】答案见解析 【分析】本题考查实数的分类,求解算术平方根,立方根,化简绝对值,掌握实数的分类是解本题的关 键. 【详解】解: , , , ∵ 有理数:{ ; ;0; ; ; ; }; 无理数:{ ; ; , }; 正实数:{ ; ; ; , }; 负实数:{ ; ; }. 【考点三 实数与数轴】 例题:(2023上·江苏苏州·八年级苏州市立达中学校校考期中)如图,若正方形 的面积为7.顶点 在数轴上表示的数为1,点 在数轴上,且 ,则点 表示的数是 . 【答案】 / 【分析】本题考查了实数与数轴,根据正方形的面积求出正方形的边长为 是解题的关键.根据正方形 的面积求出正方形的边长为 ,得到 ,即可得到点E表示的数. 【详解】解 正方形的面积为7, 正方形的边∶长为 , ∴ , ∴点E表示的数为 . ∴故答案为: . 【变式训练】 1.(2023上·浙江杭州·七年级校考期中)如图,正方形 的面积为 ,顶点 在数轴上表示的数为 ,若点 在数轴上(点 在点 的左侧),且 ,则点 所表示的数为 .【答案】 / 【分析】本题考查了实数与数轴,求出正方形的边长是解题的关键.根据正方形的面积求出正方形的边长 为 ,得到 ,即可表示点 . 【详解】解: 正方形的面积为 , 正方形的边长为 , , 点 表示的数为 . 故答案为: . 2.(2023上·河北唐山·八年级统考期中)如图,有一个半径为 个单位长度的圆,将圆上的点A放在原 点, 并把圆沿数轴逆时针方向滚动一周,点A到达点 的位置,则点 表示的数 (用含π的式子表示);若点 B表示的数是 ,则点B在点 的 (填 “左边” 、 “右边”) 【答案】 右边 【分析】转动一圈点 运动的路径长度为圆的周长,得到点 表示的数,比较两个实数的大小,确定点B 在点 的哪一侧即可. 【详解】解:由题意,得:点A到达点 的位置, 所以点 移动了 个单位长度, 点 表示的数为 , ∴ , ∵ , ∴ , 点B在点 的右边; ∴ 故答案为: ,右边. ∴ 【点睛】本题考查实数与数轴,熟练掌握数轴上的点的移动:左减右加,以及比较实数大小的方法,是解 题的关键. 【考点四 实数的大小比较】例题:(2023上·黑龙江哈尔滨·七年级哈尔滨市虹桥初级中学校校考阶段练习)比较大小: . 【答案】 【分析】本题考查了实数大小比较,掌握实数大小比较的方法是解题的关键. 比较两数的平方,即可求解. 【详解】解: , ∵ 故答案为: . 【变式训练】 1.(2023上·河北沧州·八年级统考期中)大小比较: (填>、=或<). 【答案】 【分析】本题考查了无理数的估算,熟练掌握和运用无理数估算的方法是解决本题的关键.由无理数的估 算可知: ,据此即可解答. 【详解】解: , , , 故答案为: . 2.(2023上·四川宜宾·八年级校考阶段练习)比较大小: , 【答案】 【分析】本题主要考查了实数比较大小,熟知被开方数越大,其值越大是解题的关键. 【详解】解: , ,∵ ∴ , ∵ , ∴ 故答案为: ; . ∴ 【考点五 无理数整数部分的有关计算】 例题:(2023上·浙江杭州·七年级杭州市十三中教育集团(总校)校联考期中)若 的整数部分为 ,小数部分为 ,则 , .【答案】 4 【分析】本题考查无理数估算,涉及算术平方根性质,估算出 的范围是解决问题的关键. 【详解】解: , ,即 , 的整数部分为 ,小数部分为 , , , 故答案为: ; . 【变式训练】 1.(2023上·四川达州·八年级校考期中) 的整数部分是a, 的整数部分是b,则 . 【答案】5 【分析】此题主要考查了无理数的估算能力,首先对 估算出大小,从而求出其 的整数部 分与 的整数部分,得出a,b的值后代入所求式子计算即可,能够正确的估算出无理数的大 小,是解答此类题的关键. 【详解】解: , ,∵ ∴ , , ∴ 的整数部分是a, 的整数部分是b, ∵ , , ∴ . 故答案为:5. ∴ 2.(2023上·四川成都·八年级校考阶段练习)已知a为 的整数部分,b为 的小数部分,则 的值为 . 【答案】4 【分析】本题考查了无理数的整数、小数部分,无理数的估算,代数式求值.熟练掌握无理数的整数、小 数部分是解题的关键. 由 ,可得 , ,然后代值求解即可. 【详解】解: , ,∵ ∴ , , ∴ , ∴故答案为:4. 【考点六 实数的混合运算】 例题:(2023上·河南周口·八年级校联考期中)计算: (1) ; (2) . 【答案】(1) (2) 【分析】本题考查的是实数的混合运算. (1)分别计算算术平方根,立方根,再合并即可; (2)分别计算算术平方根,化简绝对值,再合并即可. 【详解】(1)解:原式 ; (2)解: . 【变式训练】 1.(2023下·七年级课时练习)计算: (1) ; (2) . 【答案】(1) (2) 【解析】略 2.(2023上·江苏常州·八年级校考期中)计算: (1) ; (2) . 【答案】(1) (2) 【分析】此题主要考查了实数的混合运算; (1)首先计算零指数幂、乘方和绝对值,然后从左向右依次计算,求出算式的值即可;(2)首先计算乘方、开平方和开立方,然后从左向右依次计算,求出算式的值即可. 解答此题的关键是要明确:在进行实数混合运算时,和有理数运算一样,要从高级到低级,即先算乘方、 开方,再算乘除,最后算加减,有括号的要先算括号里面的,同级运算要按照从左到右的顺序进行. 【详解】(1)解: . (2) . 【考点七 程序设计与实数运算】 例题:(2023上·陕西咸阳·八年级咸阳彩虹学校校考期中)一个数值转换器,如图所示: (1)当输入的 为 时,输出的 值是______; (2)若输入有效的 值后,始终输不出 值,请写出所有满足要求的 的值,并说明你的理由; (3)若输出的 是 ,请求出两个满足要求的 值. 【答案】(1) (2) 或 ,理由见解析 (3)5或 【分析】(1)根据算术平方根的定义进行计算即可; (2)根据0或1的算术平方根的特殊性得出答案; (3)可以考虑1次运算输出结果,2次运算输出结果,进而得出答案. 【详解】(1)解:当 时, 的算术平方根为 , 而 是有理数, 的算术平方根为 , 而 是有理数, 的算术平方根为 , 故答案为: ; (2) 或 ,理由如下: 因为 的算术平方根是 , 的算术平方根是 , 无论进行多少次运算都不可能是无理数; (3)若 次运算就是无理数,则输入的数为 ,若 次运算输出的数是无理数,则输入的数是 , 满足要求的 值可以是:5或 . 【点睛】本题考查算术平方根、有理数和无理数,理解算术平方根的定义是正确解答的前提. ∴ 【变式训练】 1.(2023上·辽宁沈阳·八年级沈阳市第一二六中学校考阶段练习)下图是一个数值转换机 (1)当输入的x为16时,输出的y值是______. (2)若输入有效的x值后,始终输不出y值,请写出满足要求的x的值______. (3)若输入的值 ,且输出的y是 ,请写出满足要求的x的值______. 【答案】(1) ; (2) 和1; (3)5和25. 【分析】(1)根据算术平方根,即可解答; (2)根据0和1的算术平方根是它们本身,0和1是有理数,所以始终输不出 值; (3)根据625的算术平方根是25,25的算术平方根是5,5的算术平方根是 ,进行回答即可. 【详解】(1) 的算术平方根是4,4是有理数,4不能输出, 的算术平方根是2,2是有理数,2不能输出, 的算术平方根是 ,是无理数,输出 , 故答案为: (2) 和1的算术平方根是它们本身,0和1是有理数, 当 和1时,始终输不出 的值, 故答案为: 和1; (3)625的算术平方根是25,25的算术平方根是5,5的算术平方根是 , 当 和5时,输出的y是 , 故答案为:5和25. 【点睛】本题考查了算术平方根,解决本题的关键是熟记算术平方根的定义. 2.(2023下·河北张家口·七年级统考期末)如图是一个数值转换器 ,其工作原理如图所示. (1)当输入的x值为 时,求输出的y值; (2)若输入有意义的x值后,始终输不出y值,请写出所有满足要求的x的值,并说明你的理由; (3)若输出的y值是 ,直接写出x的负整数值.【答案】(1) (2)1或2或3,理由见解析 (3) 【分析】(1)根据绝对值和算术平方根的定义进行计算即可; (2)根据0或1的算术平方根的特殊性得出答案; (3)可以考虑1次运算输出结果,2次运算输出结果,进而得出答案. 【详解】(1)解:当 时, , 4的算术平方根为 , 而2是有理数,2的算术平方根为 , 故答案为: ; (2)解:1或2或3,理由如下: 0的算术平方根是0,1的算术平方根是1, ∵当 或0时, ∴解得 或2或3, 当 或2或3时,无论进行多少次运算都不可能是无理数; ∴(3)解:若1次运算就是 , ∴ 解得 或 , ∴ x为负整数, ∴ 则输入的数为 ; ∴ 若2次运算输出的数是 , ∴ 解得 或 ∴ ∴ 不符合题意, ∵ ∴综上所述, . 【点睛】本题考查算术平方根、有理数和无理数,理解算术平方根的定义是解题的关键. 【考点八 新定义下的实数运算】 例题:(2023上·重庆北碚·八年级江北中学校考期中)任何实数a,可用 表示不超过a的最大整数,如, .现对 进行如下操作: .这样对 只需要进行3次操作后变为1,类似地,只需要进行3次操作后变为2的所有正整数中,最大的是 . 【答案】 【分析】本题考查了新定义,无理数的估算.利用逆向思维进行求解,根据新定义,先求第3次操作前a 的最大整数,然后求第2次,最后求第1次的最大整数即可. 【详解】解: , , 第3次操作前a的最大整数为8, ∵ ∴ , , ∵第2次操作前a的最大整数为 , ∴ , , ∵第1次操作前a的最大整数为 , ∴故答案为: . 【变式训练】 1.(2023上·浙江丽水·七年级统考期中)定义“★”是一种新运算,对于任意有实数 .当 时, ;当 时, .例如: , ,那么 . 【答案】9 【分析】本题考查定义新运算.根据新运算的法则,列出算式进行计算即可. 【详解】解: , ∵ , ∴ ∵ ; 故答案为:9. ∴ 2.(2023上·湖南衡阳·九年级校联考阶段练习)我们规定运算符号 的意义是:当 时, ;当 时, ,其他运算符号意义不变,按上述规定,计算 结 果为 . 【答案】 【分析】原式利用题中的新定义计算即可得到结果. 【详解】解:根据题中的新定义得:. 故答案为: . 【点睛】本题主要考查了实数运算,熟悉掌握运算法则是关键. 【考点九 与实数运算相关的规律题】 例题:(2023下·全国·七年级专题练习)探究题: (1)计算下列各式,完成填空: =6, = , = , = (2)通过上面的计算,比较左右两边的等式,你发现了什么?请用字母表示你发现的规律是 ;请用这一规 律计算: . 【答案】(1)6, , (2) (a≥0,b≥0), 【分析】(1)根据算术平方根的定义进行计算; (2)比较得到的等式发现两个非负数的算术平方根的积等于这两个数的积的算术平方根,根据此规律得 到 ,然后约分后根据算术平方根定义计算. 【详解】(1) , , ; 故答案为:6, , ; (2)比较得到的等式发现两个非负数的算术平方根的积等于这两个数的积的算术平方根.用字母表示为: (a≥0,b≥0). 故答案为: (a≥0,b≥0), 【点睛】本题考查了实数的运算:在进行实数运算时,和有理数运算一样,要从高级到低级,即先算乘 方、开方,再算乘除,最后算加减,有括号的要先算括号里面的,同级运算要按照从左到右的顺序进行. 【变式训练】 1.(2023上·云南文山·八年级统考阶段练习)探索猜想,分析探索题:细心观察如图(1),认真分析各式,然后解答问题. , ; , ; , ……. (1)请用含有n(n为正整数)的等式表示上述规律: ______. (2)推算出 ______(直接写出答案). (3)若一个三角形的面积是 ,那么它是第______个三角形. (4)求出 的值. 【答案】(1) (2) (3)20 (4) 【分析】(1)此题要利用直角三角形的面积公式,观察上述结论,会发现,第n个图形的一直角边就是 ,然后利用面积公式可得; (2)由同述 可知 ; (3)根据 ,计算可求解; (4) 的值就是把面积的平方相加就可. 【详解】(1)结合已知数据,可得: ; 故答案为: ; (2) , ,, , ∴ , ∴故答案为: ; (3) , ∵ , ∴故答案为: ; (4) ; 【点睛】此题考查了算术平方根.解题的关键是观察,观察题中给出的结论,由此结论找出规律进行计 算.千万不可盲目计算. 2.(2023上·辽宁沈阳·八年级统考期中)观察下列各式: 第一个式子: ; 第二个式子: ; 第三个式子: ; … (1)求第四个式子为: ; (2)求第n个式子为: (用n表示); (3)求 +…+ 的值. 【答案】(1) (2) (n为正整数) (3)【分析】本题考查二次根式的性质与化简及数字变化的规律,解题的关键是: (1)观察题中所给式子各部分的变化规律即可解决问题. (2)利用(1)中的发现即可解决问题. (3)根据(2)中的结论即可解决问题. 【详解】(1)解:观察题中所给式子可知, 第四个式子为: . 故答案为: . (2)由(1)中的发现可知, 第 个式子为: . 故答案为: 为正整数). (3)原式 . 【过关检测】 一、单选题 1.(2023上·河南南阳·八年级统考期中)下列各数中: , , , , , ,无理数的 个数有( ) A.4个 B.3个 C.2个 D.1个 【答案】A 【分析】本题考查了无理数,掌握无限不循环小数是无理数是解答本题的关键. 根据无理数的定义,判断每一个数,得到答案. 【详解】解:根据题意得: , 无理数有: , , , , 故选: .2.(2023上·河南南阳·八年级统考阶段练习)实数 , , 的大小关系是( ) A. B. C. D. 【答案】A 【分析】本题考查了无理数的大小比较:先整理 ,根据负数比较大小,绝对值越大的 数反而小,据此即可作答. 【详解】解: 则 ∵ 即 故选:A 3.(2023上·浙江金华·七年级校联考期中)已知 的小数部分为a, 的小数部分为b,则 的值为( ) A.0 B.1 C. D. 【答案】B 【分析】本题主要考查了估算无理数的大小,熟练掌握估算无理数的大小是解题的关键.根据 得到 的值,即可得到答案. 【详解】解: , , , , , . 故答案为:B. 4.(2023上·河北沧州·八年级统考期中)如图,数轴上有三个点,A点表示的实数为2,B点表示的实数 为 ,且 ,则点C表示的实数为( ) A. B. C. D. 【答案】B 【分析】本题考查了实数与数轴,先求出 的长,可得 ,即可得出点C表示的数. 【详解】解: A点表示的实数为2,B点表示的实数为 , ,∵ ∴ , ∵, ∴ 点C表示的数为: , 故选:B. ∴ 5.(2023上·江苏苏州·七年级校考阶段练习)定义一种对正整数 的“F”运算,①当 为奇数时,结果为 ;②当 为偶数时,结果为 (其中 是使 为奇数的正整数),并且运算重复进行,例如,取 ,如图所示,若 ,则第201次“F”的运算的结果是( ) A.1 B.4 C.6 D.8 【答案】D 【分析】据提供的“F”运算,对正整数n分情况(奇数、偶数)循环计算,由于 为奇数应先进行F① 运算,发现从第4次运算结果开始循环,且奇数次运算的结果为8,偶数次为1,而第201次是奇数,这 样循环计算一直到第201次“F”运算,得到的结果为8. 本题主要考查了新定义运算,有理数的混合运算.熟练掌握“F”运算法则,找到结果存在的规律,根据有 理数的混合运算求出答案,是解题的关键. 【详解】解:第一次: , 第二次: , ,即 , 第三次: , 第四次: ,即 ,计算结果为1, 第五次: , 第六次: , ,即 ,计算结果为1, 此后计算结果为8和1循环, 201是奇数, 第201次运算结果是8. ∵ 故选:D. ∴ 二、填空题 6.(2023上·山东青岛·八年级校考阶段练习)比较下列实数的大小 12 【答案】 【分析】此题主要考查了实数大小比较的方法,首先分别求出 、12的平方的值各是多少;然后比较 出两个数的平方的大小关系,即可判断出原来两个数的大小关系.应用作差法,根据所得的差的正负,判 断出原来两个数的大小关系即可. 【详解】解: ,, ; ,即 ,故 , ∵ , ∴故答案为: . 7.(2023上·浙江宁波·七年级校考阶段练习)已知x,y为有理数, , , . 【答案】 3 2 【分析】本题考查实数的运算.将 进行化简,得到 ,进而得到 ,即可得出结果. 【详解】解: , ∵ , ∴ ; 故答案为:3,2. ∴ 8.(2023上·辽宁沈阳·八年级沈阳市雨田实验中学校考期中)如图,数轴上点A为线段 的中点,A, B两点表示的数分别为 和 ,则点C所表示的数为 . 【答案】 【分析】本题考查了数轴上两点之间的距离、实数与数轴,依题意得:点 表示的数为 ,点B表示的 数为 ,进而可得 ,再根据点A为线段 的中点即可求解,熟练掌握基础知识是解题的关 键. 【详解】解:依题意得:点 表示的数为 ,点B表示的数为 , 则 , 点A为线段 的中点, 点C所表示的数为: , 故答案为: . 9.(2023上·黑龙江哈尔滨·七年级哈尔滨市第六十九中学校校考阶段练习)如图,是一个无理数筛选器 的工作流程图,当输入 为 时,输出的 值为 .【答案】 【分析】本题主要考查算术平方根的计算,无理数的识别,掌握求一个数的算术平方根的方法是解题的关 键. 根据输入的数,先求出其算术平方根,再判定是否是无理数,若是无理数则输出,否则再求其算术平方 根,依次类推即可求解. 【详解】解:输入 为 , ,是有理数, ∴再计算一次得, ,是无理数, ∴输出的是 , ∴故答案为: . 10.(2023上·河北石家庄·八年级校考期中)规定:用符号 表示一个不大于实数 的最大整数,例 如: , , ,按这个规定: (1) ;(2) ; (3)若 ,则 的取值范围是 . 【答案】 1 【分析】本题考查了无理数的估算和不等式的计算,对符号 的理解是解答本题的关键. (1)估算 ,所以 ; (2)估算 ,所以 ; (3)因为 ,所以 ,即 ,进一步即可求得答案. 【详解】(1) , , 故答案为:1. (2) , , , 故答案为: . (3) , , 即 , , ,故答案为: . 三、解答题 11.(2023上·山西临汾·八年级校联考期中)计算: (1) ; (2) . 【答案】(1)5 (2) 【分析】本题考查了实数的运算, (1)利用平方根以及立方根的性质化简,再利用实数的加减运算法则计算得出答案; (2)利用平方和绝对值的性质化简,结合实数的加减运算法则计算得出答案. 【详解】(1)解:原式 , (2)原式 . 12.(2023上·贵州六盘水·八年级统考期中)计算: (1) ; (2) . 【答案】(1) (2)5 【分析】本题主要考查了实数的混合计算. (1)直接利用算术平方根,绝对值的性质化简以及实数数加减运算法则计算即可; (2)直接利用立方根、算术平方根性质以及绝对值的性质分别化简计算即可. 【详解】(1)解:原式 ; (2)解:原式 . 13.(2023上·浙江绍兴·七年级校考期中)把下列各数填在相应的括号内(填序号):① ,② ,③ ,④ ,⑤ ,⑥ ,⑦ ,⑧ (每两个3之间依次多一个 2)(1)整数集合{ …}; (2)分数集合{ …}; (3)无理数集合{ …}. 【答案】(1)④⑤ (2)①③⑥ (3)②⑦⑧ 【分析】本题主要考查了实数的相关概念及其分类方法,是基础题,根据整数、分数、无理数的定义分别 填空即可.熟记概念是解题的关键. 【详解】(1)解:整数集合: ④⑤ , 故答案为:④⑤; (2)分数集合: ①③⑥ , 故答案为:①③⑥; (3)无理数集合: ②⑦⑧ . 故答案为:②⑦⑧. 14.(2023上·江苏连云港·八年级校联考阶段练习)如图,数轴上从左至右依次有C,O,A,B四个点, 分 别对应的数字为x,0,1和 ,且 . (1)求 的长,并求x的值; (2)求 的平方根. 【答案】(1) , (2) 【分析】(1)利用数轴两点间距离公式求出 的长、 的长,利用 列出方程即可求出x的 值; (2)把x的值代入代数式求值,再根据平方根的意义求出平方根即可. 此题考查了数轴上两点间的距离、平方根等知识,熟练掌握数轴上两点间的距离和平方根的意义是解题的 关键. 【详解】(1)解: A,B对应的数字为1和 , , ∵ C,O对应的数字为x,0, ∴ ∵ , ∴ , ∵ , ∴; ∴ (2)当 时, , 1的平方根是 , ∵ 的平方根是 . ∴15.(2023上·江苏宿迁·八年级校联考阶段练习)材料1: 的整数部分是 ,小数部分是 ,小数部 分可以看成是 得来的,类比来看, 是无理数,而 ,所以 的整数部分是1,于是可 用 来表示 的小数部分. 材料2:若 ,则有理数部分相等,无理数部分也相等,即 , 要满足 , .根据以上材料,完成下列问题: (1) 的整数部分是______,小数部分是______; (2) 也是夹在相邻两个整数之间的,可以表示为 ,求 的算术平方根. 【答案】(1)4, (2)3 【分析】本题考查估算无理数的大小,算术平方根; (1)根据算术平方根的定义估算无理数 的大小即可; (2)根据算术平方根的定义估算无理数 的大小,确定 、 的值,再代入计算即可. 【详解】(1)解: , 的整数部分为4,小数部分为 , 故答案为:4, ; (2) , , 也是夹在相邻两个整数之间的,可以表示为 , , , , 的算术平方根为 ; 16.(2023上·山东济南·七年级校联考阶段练习)观察下列各式: 请你根据上面三个等式提供的信息,猜想:(1) . (2)请你按照上面每个等式反映的规律,写出用n(n为正整数)表示的等式 . (3)利用上述规律计算: (仿照上式写出过程). 【答案】(1) (2) (3) 【分析】本题考查了二次根式的规律探究.根据题意推导规律计算求解是解题的关键. (1)根据 ,计算求解即可; (2)由题意知, ; (3)根据 ,计算求解即可. 【详解】(1)解:由题意知, , 故答案为: ; (2)解:由题意知, , 故答案为: ; (3)解:由题意知, .