当前位置:首页>文档>第26节空间向量在立体几何中的应用(解析版)_02高考数学_通用版(老高考)复习资料_2023年复习资料_一轮复习_备战2023年高考数学一轮复习考点帮(全国通用)

第26节空间向量在立体几何中的应用(解析版)_02高考数学_通用版(老高考)复习资料_2023年复习资料_一轮复习_备战2023年高考数学一轮复习考点帮(全国通用)

  • 2026-04-18 08:51:07 2026-04-18 08:24:41

文档预览

第26节空间向量在立体几何中的应用(解析版)_02高考数学_通用版(老高考)复习资料_2023年复习资料_一轮复习_备战2023年高考数学一轮复习考点帮(全国通用)
第26节空间向量在立体几何中的应用(解析版)_02高考数学_通用版(老高考)复习资料_2023年复习资料_一轮复习_备战2023年高考数学一轮复习考点帮(全国通用)
第26节空间向量在立体几何中的应用(解析版)_02高考数学_通用版(老高考)复习资料_2023年复习资料_一轮复习_备战2023年高考数学一轮复习考点帮(全国通用)
第26节空间向量在立体几何中的应用(解析版)_02高考数学_通用版(老高考)复习资料_2023年复习资料_一轮复习_备战2023年高考数学一轮复习考点帮(全国通用)
第26节空间向量在立体几何中的应用(解析版)_02高考数学_通用版(老高考)复习资料_2023年复习资料_一轮复习_备战2023年高考数学一轮复习考点帮(全国通用)
第26节空间向量在立体几何中的应用(解析版)_02高考数学_通用版(老高考)复习资料_2023年复习资料_一轮复习_备战2023年高考数学一轮复习考点帮(全国通用)
第26节空间向量在立体几何中的应用(解析版)_02高考数学_通用版(老高考)复习资料_2023年复习资料_一轮复习_备战2023年高考数学一轮复习考点帮(全国通用)
第26节空间向量在立体几何中的应用(解析版)_02高考数学_通用版(老高考)复习资料_2023年复习资料_一轮复习_备战2023年高考数学一轮复习考点帮(全国通用)
第26节空间向量在立体几何中的应用(解析版)_02高考数学_通用版(老高考)复习资料_2023年复习资料_一轮复习_备战2023年高考数学一轮复习考点帮(全国通用)
第26节空间向量在立体几何中的应用(解析版)_02高考数学_通用版(老高考)复习资料_2023年复习资料_一轮复习_备战2023年高考数学一轮复习考点帮(全国通用)
第26节空间向量在立体几何中的应用(解析版)_02高考数学_通用版(老高考)复习资料_2023年复习资料_一轮复习_备战2023年高考数学一轮复习考点帮(全国通用)
第26节空间向量在立体几何中的应用(解析版)_02高考数学_通用版(老高考)复习资料_2023年复习资料_一轮复习_备战2023年高考数学一轮复习考点帮(全国通用)
第26节空间向量在立体几何中的应用(解析版)_02高考数学_通用版(老高考)复习资料_2023年复习资料_一轮复习_备战2023年高考数学一轮复习考点帮(全国通用)
第26节空间向量在立体几何中的应用(解析版)_02高考数学_通用版(老高考)复习资料_2023年复习资料_一轮复习_备战2023年高考数学一轮复习考点帮(全国通用)
第26节空间向量在立体几何中的应用(解析版)_02高考数学_通用版(老高考)复习资料_2023年复习资料_一轮复习_备战2023年高考数学一轮复习考点帮(全国通用)
第26节空间向量在立体几何中的应用(解析版)_02高考数学_通用版(老高考)复习资料_2023年复习资料_一轮复习_备战2023年高考数学一轮复习考点帮(全国通用)
第26节空间向量在立体几何中的应用(解析版)_02高考数学_通用版(老高考)复习资料_2023年复习资料_一轮复习_备战2023年高考数学一轮复习考点帮(全国通用)
第26节空间向量在立体几何中的应用(解析版)_02高考数学_通用版(老高考)复习资料_2023年复习资料_一轮复习_备战2023年高考数学一轮复习考点帮(全国通用)
第26节空间向量在立体几何中的应用(解析版)_02高考数学_通用版(老高考)复习资料_2023年复习资料_一轮复习_备战2023年高考数学一轮复习考点帮(全国通用)
第26节空间向量在立体几何中的应用(解析版)_02高考数学_通用版(老高考)复习资料_2023年复习资料_一轮复习_备战2023年高考数学一轮复习考点帮(全国通用)
第26节空间向量在立体几何中的应用(解析版)_02高考数学_通用版(老高考)复习资料_2023年复习资料_一轮复习_备战2023年高考数学一轮复习考点帮(全国通用)
第26节空间向量在立体几何中的应用(解析版)_02高考数学_通用版(老高考)复习资料_2023年复习资料_一轮复习_备战2023年高考数学一轮复习考点帮(全国通用)

文档信息

文档格式
docx
文档大小
1.097 MB
文档页数
18 页
上传时间
2026-04-18 08:24:41

文档内容

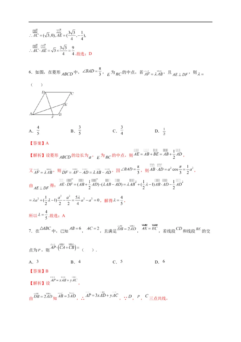
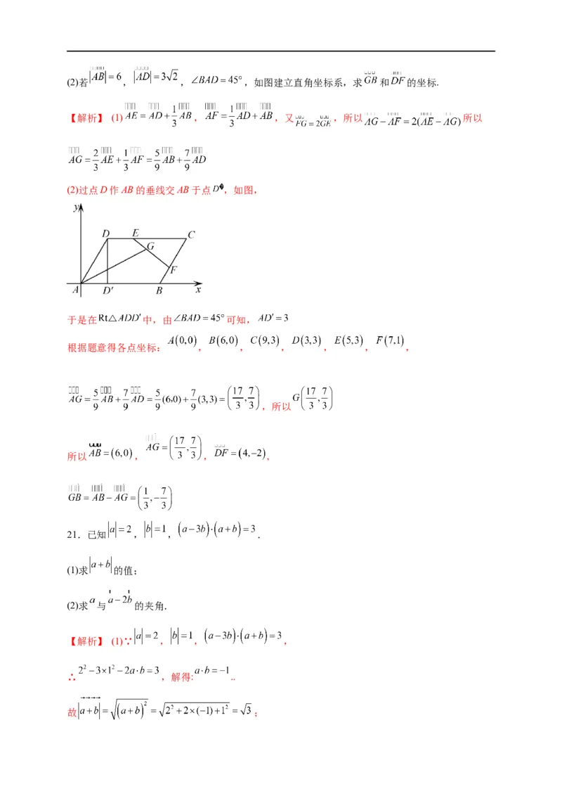
第 26 节 空间向量在立体几何中的应用 基础知识要夯实 平行垂直问题基础知识 直线l的方向向量为a=(a,b,c).平面α,β的法向量u=(a,b,c),v=(a,b,c) 1 1 1 3 3 3 4 4 4 (1)线面平行:l∥α a⊥u a·u=0 aa+bb+cc=0 1 3 1 3 1 3 (2)线面垂直:l⊥α a∥u a=ku a=ka,b=kb,c=kc ⇔ ⇔ ⇔1 3 1 3 1 3 (3)面面平行:α∥β u∥v u=kv a=ka,b=kb,c=kc ⇔ ⇔ ⇔ 3 4 3 4 3 4 (4)面面垂直:α⊥β u⊥v u·v=0 aa+bb+cc=0 ⇔ ⇔ ⇔ 3 4 3 4 3 4 利用空间向量求空间角基础知识 ⇔ ⇔ ⇔ (1)向量法求异面直线所成的角:若异面直线a,b的方向向量分别为a,b,异面直线所成的角为 θ,则cos θ=|cos〈a,b〉|= . (2)向量法求线面所成的角:求出平面的法向量n,直线的方向向量a,设线面所成的角为θ,则sin θ=|cos〈n,a〉|= . (3)向量法求二面角:求出二面角α-l-β的两个半平面α与β的法向量n,n, 1 2 若二面角α-l-β所成的角θ为锐角,则cos θ=|cos〈n,n〉|= ; 1 2 若二面角α-l-β所成的角θ为钝角,则cos θ=-|cos〈n,n〉|=- . 1 2 基本技能要落实 考点一 通过空间向量判断位置关系 【例1】如图所示,在底面是矩形的四棱锥PABCD中,PA⊥底面ABCD,E,F分别是 PC,PD的中点,PA=AB=1,BC=2. (1)求证:EF∥平面PAB; (2)求证:平面PAD⊥平面PDC. 【解析】以A为原点,AB,AD,AP所在直线分别为x轴,y轴,z轴,建立空 间直角坐标系如图所示,则 A(0,0,0),B(1,0,0),C(1,2,0),D(0,2,0),P(0,0,1),所 以 E ,F , = , =(1,0,-1), =(0,2,-1), =(0,0,1), =(0,2,0), =(1,0,0), =(1,0,0).(1)因为 =- ,所以 ∥ ,即EF∥AB. 又AB 平面PAB,EF 平面PAB,所以EF∥平面PAB. (2)因为⊂ · =(0,0⊄,1)·(1,0,0)=0, · =(0,2,0)·(1,0,0)=0, 所以 ⊥ , ⊥ ,即AP⊥DC,AD⊥DC. 又 AP∩AD=A,AP 平面 PAD,AD 平面 PAD,所以 DC⊥平面 PAD.因为 DC 平面 PDC,所以平面PAD ⊂ ⊥平面PDC. ⊂ ⊂ 【方法技巧】使用空间向量方法证明线面平行时,既可以证明直线的方向向量和平面 内一条直线的方向向量平行,然后根据线面平行的判定定理得到线面平行,也可以证 明直线的方向向量与平面的法向量垂直;证明面面垂直既可以证明线线垂直,然后使 用判定定理进行判定,也可以证明两个平面的法向量垂直. 【跟踪训练】 1.在直三棱柱ABCA B C 中,∠ABC=90°,BC=2,CC =4,点E在线段BB 上, 1 1 1 1 1 且EB =1,D,F,G分别为CC ,C B ,C A 的中点. 1 1 1 1 1 1 求证:(1)B D⊥平面ABD; 1 (2)平面EGF∥平面ABD. 证明:(1)以B为坐标原点,BA、BC、BB 所在的直线分别为x轴、y轴、z轴建立空间 1 直角坐标系,如图所示,则B(0,0,0),D(0,2,2),B (0,0,4),设BA=a,则A(a,0,0), 1 所以 =(a,0,0), =(0,2,2), =(0,2,-2), · =0, · =0+4-4=0,即B D⊥BA,B D⊥BD. 1 1 又BA∩BD=B,因此B D⊥平面ABD. 1 (2)由(1)知,E(0,0,3),G ,F(0,1,4),则 = , =(0,1,1), · =0+2-2=0, · =0+2-2=0,即B D⊥EG,B D⊥EF. 1 1 又EG∩EF=E,因此B D⊥平面EGF. 结合(1)可知平面EGF∥平面ABD. 1 考点二 空间中的角 【例2】如图,在直三棱柱A B C ABC中,AB⊥AC,AB=AC=2,A A=4, 1 1 1 1 点D是BC的中点. (1)求异面直线A B与C D所成角的余弦值; 1 1 (2)求平面ADC 与平面ABA 所成二面角的正弦值. 1 1【解析】(1)以 A 为坐标原点,建立如图所示的空间直角坐标系 Axyz,则 A(0,0,0), B(2,0,0),C(0,2,0),D(1,1,0),A (0,0,4),C (0,2,4),所以 =(2,0,-4), = 1 1 (1,-1,-4). 因为cos〈 , 〉= = 所以异面直 线A B与C D所成角的余弦值为 . 1 1 (2)设平面ADC 的法向量为n =(x,y,z),因为 =(1,1,0), = 1 1 (0,2,4),所以n · =0,n · =0,即x+y=0且y+2z=0,取z=1,得x=2,y= 1 1 -2,所以,n =(2,-2,1)是平面ADC 的一个法向量.取平面 ABA 的一个法向量为 1 1 1 n =(0,1,0).设平面ADC 与平面ABA 所成二面角的大小为θ. 2 1 1 由|cos θ|= = ,得sin θ= . 因此,平面ADC 与平面ABA 所成二面角的正弦值为 . 1 1 【方法技巧】 (1)运用空间向量坐标运算求空间角的一般步骤: ①建立恰当的空间直角坐标系;②求出相关点的坐标;③写出向量坐标;④结合公式 进行论证、计算;⑤转化为几何结论. (2)求空间角应注意: ①两条异面直线所成的角α不一定是直线的方向向量的夹角β,即cos α=|cos β|. ②两平面的法向量的夹角不一定是所求的二面角,有可能两法向量夹角的补角为所求. 【跟踪训练】 1.如图,在四棱锥SABCD中,AB⊥AD,AB∥CD,CD=3AB=3, 平面SAD⊥平面ABCD,E是线段AD上一点,AE=ED= ,SE⊥AD. (1)证明:平面SBE⊥平面SEC; (2)若SE=1,求直线CE与平面SBC所成角的正弦值. 【解析】(1)证明:∵平面SAD⊥平面ABCD,平面SAD∩平面ABCD=AD,SE 平面 SAD, ⊂SE⊥AD,∴SE⊥平面 ABCD. ∵BE 平面 ABCD,∴SE⊥BE. ∵AB⊥AD, AB∥CD, ⊂ CD=3AB=3,AE=ED= ,∴∠AEB=30°,∠CED=60°. ∴∠BEC=90°, 即BE⊥CE. 又SE∩CE=E,∴BE⊥平面SEC. ∵BE 平面SBE, ∴平面SBE⊥平面SEC. ⊂ (2)由(1)知,直线ES,EB,EC两两垂直.如图,以E为原点,EB为x轴,EC为y轴, ES为z轴,建立空间直角坐标系.则E(0,0,0),C(0,2 ,0),S(0,0,1),B(2,0,0),所以 =(0,-2 ,0), =(2,-2 ,0), =(0,-2 ,1). 设平面SBC的法向量为n=(x,y,z), 则 即 令y=1,得x= ,z=2 , 则平面SBC的一个法向量为n=( ,1,2 ). 设直线CE与平面SBC所成角的大小为θ,则sin θ=| |= , 故直线CE与平面SBC所成角的正弦值为 . 考点三 利用空间向量解决探索性问题 【例3】如图1,正△ABC的边长为4,CD是AB边上的高,E,F分别是AC和BC边 的中点,现将△ABC沿CD翻折成直二面角ADCB(如图2). (1)试判断直线AB与平面DEF的位置关系,并说明理由; (2)求二面角EDFC的余弦值; (3)在线段BC上是否存在一点P,使AP⊥DE?如果存在,求出 的值;如果不存在, 请说明理由. 【解析】(1)在△ABC中,由E,F分别是AC,BC中点,得EF∥AB.又AB 平面DEF, EF 平面DEF,∴AB∥平面DEF. ⊄ ⊂(2)以点D为坐标原点,以直线DB,DC,DA分别为x轴、y轴、z轴,建立空 间直角坐标系,则A(0,0,2),B(2,0,0),C(0,2 ,0),E(0, ,1),F(1, ,0), =(1, ,0), =(0, ,1), =(0,0,2). 平面CDF的法向量为 =(0,0,2).设平面EDF的法向量为n=(x,y,z), 则 即 取n=(3,- ,3), cos〈 ,n〉= = ,所以二面角EDFC的余弦值为 . (3)存在.设P(s,t,0),有 =(s,t,-2),则 · = t-2=0,∴t= , 又 =(s-2,t,0), =(-s,2 -t,0),∵ ∥ ,∴(s-2)(2 -t)=-st, ∴ s+t=2 . 把t= 代入上式得s= ,∴ = , ∴在线段BC上存在点P,使AP⊥DE. 此时, = . 【方法技巧】1空间向量法最适合于解决立体几何中的探索性问题,它无需进行复 杂的作图、论证、推理,只需通过坐标运算进行判断. 2解题时,把要成立的结论当作条件,据此列方程或方程组,把“是否存在”问题 转化为“点的坐标是否有解,是否有规定范围内的解”等,所以为使问题的解决更简 单、有效,应善于运用这一方法. 【跟踪训练】 如图所示,在直三棱柱ABCA B 1C 中,∠ACB=90°,AA =BC=2AC=2. 1 1 1 (1)若D为AA 中点,求证:平面B CD⊥平面B C D; 1 1 1 1 (2)在AA 上是否存在一点D,使得二面角B CDC 的大小为60°? 1 1 1 【解析】(1)证明:如图所示,以点 C为原点,CA,CB,CC 所在直线分别为x, 1 y,z 轴建立空间直角坐标系.则 C(0,0,0),A(1,0,0),B (0,2,2),C (0,0,2), 1 1 D(1,0,1), 即 =(0,2,0), =(-1,0,1), =(1,0,1). 由 · =(0,2,0)·(1,0,1)=0+0+0=0,得 ⊥ ,即C B ⊥CD. 1 1由 · =(-1,0,1)·(1,0,1)=-1+0+1=0,得 ⊥ ,即DC ⊥CD. 1 又DC ∩C B =C ,∴CD⊥平面B C D.又CD 平面B CD,∴平面B CD⊥平面B C D. 1 1 1 1 1 1 1 1 1 1 ⊂ (2)存在.当AD= AA 时,二面角B CDC 的大小为60°.理由如下: 1 1 1 设AD=a,则D点坐标为(1,0,a), =(1,0,a), =(0,2,2), 设平面B CD的法向量为m=(x,y,z), 1 则 = 令z=-1,得m=(a,1,-1). ⇒ 又∵ =(0,2,0)为平面C CD的一个法向量,则cos 60°= = = , 1 解得a= (负值舍去),故AD= = AA .∴在AA 上存在一点D满足题意. 1 1 达标检测要扎实 一、单选题 1.已知向量 ,向量 ,则 与 的夹角大小为( ) A.30° B.60° C.120° D.150° 【答案】D 【解析】 向量 ,向量 , , ,且 , 的夹角为 .故选:D. 2.设 为单位向量,且 =1,则| +2 |=( ) A. B. C.3 D.7 【答案】B 【解析】 为单位向量,且 =1可得 ,可得 , .故选:B. 3.在平行四边形 中, ,则 ( ) A.-5 B.-4 C.-3 D.-2 【答案】A 【解析】 , , , , , ,故选:A 4.已知直角三角形ABC中, ,AB=2,AC=4,点P在以A为圆心且与边BC相切的圆上, 则 的最大值为( ) A. B. C. D. 【答案】D 【解析】以 为原点建系, ,,即 ,故圆的半径为 , ∴圆 ,设 中点为 , , ,∴ ,故选:D. 5.在边长为1的菱形ABCD中,∠BAD=60°,E是BC的中点,则 ( ) A. B. C. D. 【答案】D 【解析】建立如图平面直角坐标系, 则 ∴E点坐标为 ,.故选:D 6.如图,在菱形 中, , 为 的中点,若 ,且 ,则 ( ) A. B. C. D. 【答案】A 【解析】设菱形 的边长为 , 为 的中点,则 , 又 ,则 ,因 ,则 , 由 得: ,解得 , 所以 .故选:A 7.在 中,已知 , ,且满足 , ,若线段 和线段 的交 点为 ,则 ( ). A. B. C. D. 【答案】B 【解析】设 , 由 知 ,∴ ,∵ , , 三点共线,∴ ①, 由 知 ,∴ ,∵ , , 三点共线,∴ ②, 由①②得: . ,∴ , 而 , ∴ 故选:B 8.已知向量 , ,若 ,则 ( ) A. B. C. D. 【答案】A 【解析】因为 , , ,所以 ,解得 . 故选: A 9.已知平面向量 满足 ,则向量 的夹角为( ) A. B. C. D. 【答案】D 【解析】 ,即 , . .故选:D. 10.已知向量 , ,若 ,则实数 ( ) A.0 B. C.1 D.3 【答案】B 【解析】因为向量 , ,且 ,所以 ,即 ,所以有 ,解得 ,故选:B. 11.在平行四边形ABCD中,点E,F分别满足 , .若 , 则实数 + 的值为( ) A. B. C. D. 【答案】B 【解析】由题意,设 ,则在平行四边形ABCD中, 因为 , ,所以点E为BC的中点,点F在线段DC上,且 , 所以 , 又因为 ,且 , 所以 , 所以 ,解得 ,所以 。故选:B. 12.设 , 是两个非零向量,下列四个条件中,使 成立的充分条件是( ) A. 且 B. C. D. 【答案】D 【解析】对于选项A: 且 则 , 两个为相等向量或相反向量,当 时,不成立,所以 且 不是 成立的充分条件,故选项A不正确;对于选项B: 时, ,所以得不出 , 不是 成立的充分条件,故选项B不正确; 对于选项C: ,若 , 两个向量方向相反时,得不出 ,所以 不是 成立的充 分条件,故选项C不正确; 对于选项D: 满足 , 同向共线,所以 的单位向量与 的单位向量相等即 ,所以 是 成立的充分条件,故选项D正确;故选:D. 二、填空题 13. , 为不共线的向量,设条件 ;条件 对一切 ,不等式 恒成立.则 是 的__________条件. 【答案】充要 【解析】由条件 ,可得 ; 不等式 化为 , ∵对一切 ,不等式 恒成立,∴ , 化为 ,∴ ,所以 .故答案为:充要. 14.已知 , , 、 的夹角为 ,则 在 方向上的数量投影为________. 【答案】 【解析】由已知得, 在 方向上的数量投影为因为 , , 、 的夹角为 , 所以 所以 在 方向上的数量投影为 故答案为:2 15.有下列命题: ①单位向量一定相等; ②起点不同,但方向相同且模相等的几个向量是相等向量; ③相等的非零向量,若起点不同,则终点一定不同; ④方向相反的两个单位向量互为相反向量; ⑤起点相同且模相等的向量的终点的轨迹是圆. 其中正确的命题的个数为______. 【答案】 【解析】对于①,两个单位向量方向不同时不相等,①错误; 对于②,方向相同且模长相等的向量为相等向量,与起点无关,②正确; 对于③,相等的非零向量方向相同且模长相等,若起点不同,则终点不同,③正确; 对于④,单位向量模长相等,又方向相反,则这两个向量为相反向量,④正确; 对于⑤,若两个向量起点相同,且模长相等且不为零,则终点的轨迹为球面,⑤错误; 则正确的命题个数为 个.故答案为: . 16.设 , 是两个不共线的非零向量,若向量 与 的方向相反,则k=________. 【答案】 【解析】由题意知, . ,又 不共线, ∴ . 故答案为: 三、解答题17.已知向量 =(1,2), =(-3,k). (1)若 ∥ ,求 的值; (2)若 ⊥( +2 ),求实数k的值; (3)若 与 的夹角是钝角,求实数k的取值范围. 【解析】 (1)因为向量 =(1,2), =(-3,k),且 ∥ , 所以1×k-2× =0,解得k=-6, 所以 = =3 . (2)因为 +2 = ,且 ⊥ , 所以1× +2× =0,解得k= . (3)因为 与 的夹角是钝角,则 <0且 与 不共线. 即1× +2×k<0且k≠-6,所以k< 且k≠-6. 18.在平行四边形ABCD中, , , (1)如图1,如果E,F分别是BC,DC的中点,试用 分别表示 . (2)如图2,如果O是AC与BD的交点,G是DO的中点,试用 表示 . 【解析】(1) , ;(2) . 19.已知点O(0,0),A(1,2). (1)若点B(3t,3t), = ,则t为何值时,点P在x轴上?点P在y轴上?点P在第二 象限? (2)若B(4,5),P(1+3t,2+3t),则四边形OABP能为平行四边形吗?若能,求t值;若不能, 说明理由. 【解析】(1) , 若点P在x轴上,则 ,∴ . 若点P在y轴上,则 ,∴ . 若点P在第二象限,则 ,∴ . (2)因为 , . 若四边形 为平行四边形,则 , ∴ 该方程组无解. 故四边形 不能成为平行四边形. 20.已知平行四边形ABCD中, , , . (1)用 , 表示 ;(2)若 , , ,如图建立直角坐标系,求 和 的坐标. 【解析】 (1) , ,又 ,所以 所以 (2)过点D作AB的垂线交AB于点 ,如图, 于是在 中,由 可知, 根据题意得各点坐标: , , , , , , ,所以 所以 , , , 21.已知 , , . (1)求 的值; (2)求 与 的夹角. 【解析】 (1)∵ , , , ∴ ,解得: .. 故 ;(2)设 与 的夹角 ,则 , 又∵ ,∴ 22.已知 , , 是同一平面内的三个向量,其中 . (1)若 ,且 ,求 的坐标; (2)若 , 与 的夹角为锐角,求实数 的取值范围. 【解析】(1)因为 ,且 ,则 , 又 ,所以 ,即 ,故 或 ; (2)由 ,则 , 由 ,解得 , 又 与 不共线,则 ,解得 , 故 与 的夹角为锐角时,实数 的取值范围为: .