一种可变匀化光斑加工头设计+结构说明
ZHAI YAO
摘·要

本篇主要想一下怎么用微透镜阵列组来搭建可变/可调匀化光斑的加工头。先讲一下柱面微透镜阵列的效果,然后怎么用多片柱透镜来实现光斑可调,最后在实际设计安装中需要注意什么要点。
只对光学方案进行讨论,机械结构方案大家有兴趣自己搭一下,还是比较简单的。
01
可变匀化光斑加工头的功能简介
说几句小小的废话
本来想开个付费文章,但是想想跟我的初衷违背了,既然做了就彻底放开吧,真正去践行打破行业壁垒、经验牢笼。同时也希望大家不吝赐教,多多讨论,碰撞更多火花。 真心希望行业越来越好,初入行的能够得到更好的学习渠道与经验!
祝大家 越来越好!

图1 可变匀化光斑调节光路与效果示意
可变匀化光斑加工头的优势:
-
其一,光斑调节灵活,适配性极强。相较于固定光斑加工头,可变匀化光斑加工头可实现光斑尺寸的连续可调,部分高端产品可实现2mm至200mm范围内的分段连续调节,同时支持方形、矩形等多种光斑形状的切换,能够轻松适配不同尺寸、不同形状的加工工件,无需频繁更换加工头,大幅提升加工灵活性与通用性,尤其适用于泛半导体制程、锂电池制造、锡焊等多规格加工场景。
-
其二,匀化效果优异,加工精度更高。通过专业的光学结构设计,该加工头可将高斯光束转化为能量分布均匀的平顶光斑,匀化程度最高可达95%以上,有效避免了传统光斑中心能量过高、边缘能量不足导致的加工缺陷,如烧蚀、毛刺、尺寸偏差等,确保加工表面平整、尺寸精准,显著提升产品合格率;
-
其三,加工效率提升,适配高功率场景。可变匀化光斑加工头可根据加工需求调节光斑大小,大光斑适配大面积快速加工,小光斑适配精细化加工,实现“高效与精准”的双向兼顾;
-
其四,降低综合成本,延长设备寿命。无需为不同加工场景配备多个固定光斑加工头,减少设备投入成本。
02
柱面微透镜阵列与特性
1. 什么是柱面微透镜阵列

柱面微透镜就是由微小尺寸的柱透镜拼接排列而成的透镜阵列。其对光束的整形效果如下:
-
输入光要求:M2>20激光;
-
微透镜阵列与聚焦透镜阵间的间距不影响匀化效果,但需要尽可能保证通过聚焦透镜的光束尺寸不要太大,否则会有切光导致热效应严重;
-
平行拜访的柱面微透镜阵列,改变其间距,可调节线形光斑的长度,镜片间距控制在0<l<2f(f为微透镜焦距);
-
正交垂直摆放的柱面微透镜阵列,间距改变,不影响光斑尺寸。实现和常规方形孔径的圆透镜阵列一样的效果。
① 单片–线性匀化光斑。

② 两片平行拜访–长度可调的线性匀化光斑

通过调节两微透镜阵列之间的间距即可调节光斑长度
③ 两片正交垂直摆放–方形匀化光斑

综上,我们知道了:
平行组合能改变光斑长度+垂直摆放能实现方形匀化
那么组合一下,用两组平行拜访的柱面透镜阵列,每组两片平行摆放,组与组之间正交垂直摆放,就可以得到一个方形匀化光斑,同时每组都能调节其各自方向的光斑长度–也就是X+Y两个边长,实现方形光斑可调的效果了。
其模型如下:


因为互相垂直的镜片间距变化不改变光斑形状,因此2-3片之间的间距可以固定,即在结构设计时,可以将2-3片作为基准面,而将1片和4片作为调节片。通过两个独立的调节机构分别调节1-2间距d1和3-4间距d2,这样达到独立调节方形光斑两个边长的功能。

本套系统的注意事项:
-
平行排列的两块镜片对准精度高,需要配套微调机构,建议放在镜片1和4上,这就意味着1&4镜片既承载着Z向的位移功能,还需要X/Y偏心功能,需要嵌套的调节机构设计;
(影响:错位会出现散光,特别是间距拉大的时候更明显)
-
注意高功率应用,截取会导致挡光,产生大量热量,尽可能让每片镜片上光斑尺寸(1/e2)都控制在镜片尺寸的一半以下
-
入射激光至少M2≥20,越大匀化效果越好;
-
建议配备水冷散热模块;
-
高功率应用采用石英阵列与石英透镜;
-
镜片他同轴度尽可能高,对机械件加工要求较高;
-
可做成电动模块;
-
配备锁紧结构;
-
微透镜阵列的焦距选择不要太小,太小容易产生光斑变形(枕形畸变),一般建议子透镜孔径与焦距的比值(f/p)≥5;
-
聚焦模块常规平凸即可,根据实际效果可以考虑使用场镜、非球面镜,但是成本会更高;
03
计算公式:案例说明
1. 首次设计制作,建议4片均选用同一规格的柱透镜阵列焦距例如:f1=f2=20mm,p1=p2=1mm, 镜片尺寸30×30*2mm;
2. 聚焦镜头焦距为200mm;
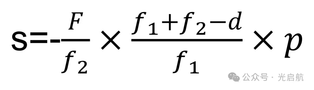
2. 光斑边长计算公式:

匀化光斑尺寸计算公式:

其中f1和f2分别为第一片和第二片微透镜阵列的焦距。从上式可以看出,通过改变两片微透镜阵列的间距d,就可以改变匀化光斑的尺寸,我们就是根据这个公式原来制作这个镜头的!
1-2镜片和3-4镜片间距调节距离都假设为5-35mm (保留机械件的厚度),那么匀化光斑的边长调节范围为(S1/S2分别为矩形的两边长):
Max: S1=S2=(200/20)×(20+20-5)/20×1=17.5mm
Min: S1=S2=(200/20)×(20+20-35)/20×1=2.5mm
可知,该可变光斑的加工头每边边长的变化范围为2.5-17.5mm。
注意事项:
1. 匀化光斑应用建议>1mm*1mm;
2. 入射光斑直径>5*p;
3. 高功率记得做好水冷模块;
4. f/p≥5.
加工头产品资料分享(来源炬光官网):


哈哈
要是觉得这篇文章确实很值
赏!
💵💵
💵💵
💵💵
碗碗 碗碗
碗碗 💵💵 碗碗
碗碗 💵💵💵💵碗碗
碗碗 碗碗 碗碗
可变光斑ZEMAX建模设计可指导,需要的后台私我。
扬帆·启航
微信号丨GG_qihang
夜雨聆风