当前位置:首页>文档>新教材精创9.3统计案例公司员工的肥胖情况调查分析同步练习(2)(原卷版)_E015高中全科试卷_数学试题_必修2_02.同步练习_同步练习(第四套)

新教材精创9.3统计案例公司员工的肥胖情况调查分析同步练习(2)(原卷版)_E015高中全科试卷_数学试题_必修2_02.同步练习_同步练习(第四套)

  • 2026-03-30 08:39:32 2026-02-15 18:32:34

文档预览

新教材精创9.3统计案例公司员工的肥胖情况调查分析同步练习(2)(原卷版)_E015高中全科试卷_数学试题_必修2_02.同步练习_同步练习(第四套)
新教材精创9.3统计案例公司员工的肥胖情况调查分析同步练习(2)(原卷版)_E015高中全科试卷_数学试题_必修2_02.同步练习_同步练习(第四套)
新教材精创9.3统计案例公司员工的肥胖情况调查分析同步练习(2)(原卷版)_E015高中全科试卷_数学试题_必修2_02.同步练习_同步练习(第四套)
新教材精创9.3统计案例公司员工的肥胖情况调查分析同步练习(2)(原卷版)_E015高中全科试卷_数学试题_必修2_02.同步练习_同步练习(第四套)

文档信息

文档格式
docx
文档大小
0.126 MB
文档页数
4 页
上传时间
2026-02-15 18:32:34

文档内容

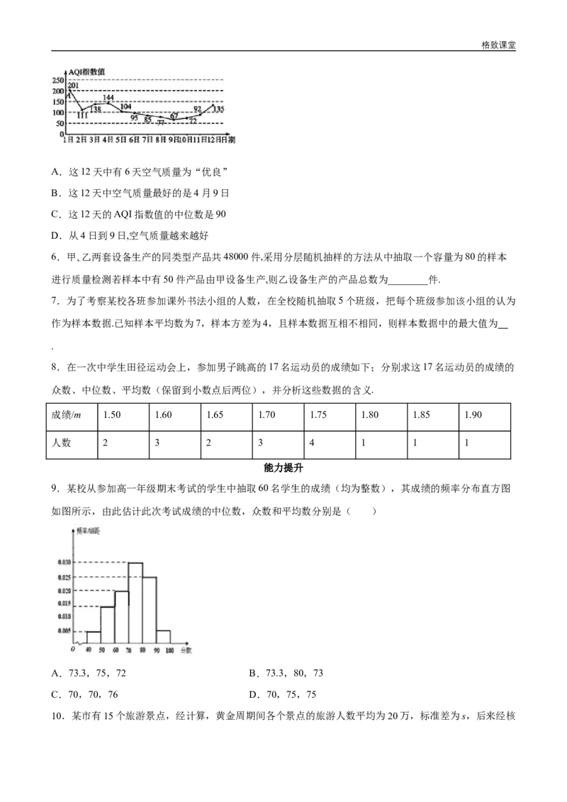
格致课堂 9.3 统计案例 公司员工的肥胖情况调查分析 (用时45分钟) 基础巩固 1.一组数据的方差为 ,平均数为 ,将这组数据中的每一个数都乘以2,所得的一组新数据的方差和平 均数分别为( ) A. , B. , C. , D. , 2.某商场在国庆黄金周的促销活动中,对10月1日9时至14时的销售额进行统计,其频率分布直方图如 图所示.已知9时至10时的销售额为3万元,则9时至14时的销售总额为 A.10万元 B.12万元 C.15万元 D.30万元 3.演讲比赛共有9位评委分别给出某选手的原始评分,评定该选手的成绩时,从9个原始评分中去掉1个 最高分、1个最低分,得到7个有效评分.7个有效评分与9个原始评分相比,不变的数字特征是 A.中位数 B.平均数 C.方差 D.极差 4.《西游记》《三国演义》《水浒传》和《红楼梦》是中国古典文学瑰宝,并称为中国古典小说四大名 著.某中学为了解本校学生阅读四大名著的情况,随机调查了100学生,其中阅读过《西游记》或《红楼 梦》的学生共有90位,阅读过《红楼梦》的学生共有80位,阅读过《西游记》且阅读过《红楼梦》的学 生共有60位,则该校阅读过《西游记》的学生人数与该校学生总数比值的估计值为( ) A. B. C. D. 5.AQI是表示空气质量的指数,AQI指数值越小,表明空气质量越好,当AQI指数值不大于100时称空气质量 为“优良”.如图是某地4月1日到12日AQI指数值的统计数据,图中点A表示4月1日的AQI指数值为 201,则下列叙述不正确的是( )格致课堂 A.这12天中有6天空气质量为“优良” B.这12天中空气质量最好的是4月9日 C.这12天的AQI指数值的中位数是90 D.从4日到9日,空气质量越来越好 6.甲、乙两套设备生产的同类型产品共48000件,采用分层随机抽样的方法从中抽取一个容量为80的样本 进行质量检测若样本中有50件产品由甲设备生产,则乙设备生产的产品总数为________件. 7.为了考察某校各班参加课外书法小组的人数,在全校随机抽取5个班级,把每个班级参加该小组的认为 作为样本数据.已知样本平均数为7,样本方差为4,且样本数据互相不相同,则样本数据中的最大值为 . 8.在一次中学生田径运动会上,参加男子跳高的17名运动员的成绩如下;分别求这17名运动员的成绩的 众数、中位数、平均数(保留到小数点后两位),并分析这些数据的含义. 成绩/m 1.50 1.60 1.65 1.70 1.75 1.80 1.85 1.90 人数 2 3 2 3 4 1 1 1 能力提升 9.某校从参加高一年级期末考试的学生中抽取60名学生的成绩(均为整数),其成绩的频率分布直方图 如图所示,由此估计此次考试成绩的中位数,众数和平均数分别是( ) A.73.3,75,72 B.73.3,80,73 C.70,70,76 D.70,75,75 10.某市有15个旅游景点,经计算,黄金周期间各个景点的旅游人数平均为20万,标准差为s,后来经核格致课堂 实,发现甲、乙两处景点统计的人数有误,甲景点实际为20万,被误统计为15万,乙景点实际为18万, 被误统计成23万;更正后重新计算,得到标准差为s,则s与s 的大小关系为_____________. 1 1 11.甲、乙两人参加某体育项目训练,近期的五次测试成绩得分情况如图所示. (1)分别求出两人得分的平均数与方差; (2)根据图和(1)中的计算结果,对两人的训练成绩作出评价. 素养达成 12.为提倡节能减排,同时减轻居民负担,广州市积极推进“一户一表”工程.非一户一表用户电费采用 “合表电价”收费标准:0.65元/度.“一户一表”用户电费采用阶梯电价收取,其11月到次年4月起执 行非夏季标准如下: 第一档 第二档 第三档 每户每月用电量 [0,200] (200,400] (400,+∞) (单位:度) 电价(单位:元/度) 0.61 0.66 0.91 例如:某用户11月用电410度,采用合表电价收费标准,应交电费410×0.65=266.5(元),若采用阶梯 电价收费标准,应交电费200×0.61+(400-200)×0.66+(410-400)×0.91=263.1(元). 为调查阶梯电价是否能取到“减轻居民负担”的效果,随机调查了该市 100户居民的11月用电量,工 作人员已经将90户的月用电量填在下面的频率分布表中,最后10户的月用电量(单位:度)为88、268、 370、140、440、420、520、320、230、380. 组别 月用电量 频数统计 频数 频率 ① [0,100] ② (100,200] ③ (200,300]格致课堂 ④ (300,400] ⑤ (400,500] ⑥ (500,600] 合计 (1)完成频率分布表,并绘制频率分布直方图; (2)根据已有信息,试估计全市住户11月的平均用电量(同一组数据用该区间的中点值作代表); (3)设某用户11月用电量为x度(x∈N),按照合表电价收费标准应交y 元,按照阶梯电价收费标准应交 1 y 元,请用x表示y 和y ,并求当y≤y 时,x的最大值,同时根据频率分布直方图估计“阶梯电价”能否 2 1 2 2 1 给不低于75%的用户带来实惠?