考点一:机械波的形成、波的图像
第1题 (2024·湖南卷)
健身者在公园以每分钟60次的频率上下抖动长绳的一端,长绳自右向左呈现波浪状起伏,可近似为单向传播的简谐横波。长绳上A、B两点平衡位置相距6 m,t₀时刻A点位于波谷,B点位于波峰,两者之间还有一个波谷。下列说法正确的是( )
A. 波长为3 m
B. 波速为12 m/s
C. t₀+0.25 s时刻,B点速度为0
D. t₀+0.50 s时刻,A点速度为0
【答案】 D
【考查知识点】 波长、波速、频率的关系及波的图像。由“A点波谷、B点波峰、之间还有一个波谷”可确定A、B间距为1.5λ,得λ=4 m;频率f=1 Hz,波速v=λf=4 m/s;周期T=1 s,经0.5 s即T/2,A点从波谷到波峰,速度为零。
第2题 (2025·河南卷)(多选)
贾湖骨笛是河南博物院镇馆之宝之一,被誉为“中华第一笛”。其中一支骨笛可以发出A5、B5、C6、D6、E6等音。已知A5音和D6音所对应的频率分别为880 Hz和1 175 Hz,则( )
A. 在空气中传播时,A5音的波长大于D6音的
B. 在空气中传播时,A5音的波速小于D6音的
C. 由空气进入水中,A5音和D6音的频率都变大
D. 由空气进入水中,A5音的波长改变量大于D6音的
【答案】 AD
【考查知识点】 波长、波速、频率的关系及波传播特性。波速由介质决定,同介质中波速相同,频率低则波长大(v=λf);波从一种介质进入另一种介质时频率不变;由v=λf,频率不变时波速变化量相同,频率低的波长变化量大。
第3题 (2025·云南卷)
均匀介质中矩形区域内有一位置未知的波源。t=0时刻,波源开始振动产生简谐横波,并以相同波速分别向左、右两侧传播,P、Q分别为矩形区域左右两边界上振动质点的平衡位置。t=1.5 s和t=2.5 s时矩形区域外波形分别如图中实线和虚线所示,则( )

A. 波速为2.5 m/s
B. 波源的平衡位置距离P点1.5 m
C. t=1.0 s时,波源处于平衡位置且向下运动
D. t=5.5 s时,平衡位置在P、Q处的两质点位移相同
【答案】 D
【考查知识点】 波的图像与波速计算。由波形图可知波长λ=4 m,周期T=2 s,波速v=λ/T=2 m/s;波源起振方向向下;经计算t=5.5 s时P、Q均在平衡位置。
考点二:振动图像与波的图像的综合应用
第4题(2023·海南卷·4)下面上下两图分别是一列机械波在传播方向上相距6 m的两个质点P、Q的振动图像,下列说法正确的是( )


A.该波的周期是5 s
B.该波的波速是3 m/s
C.4 s时P质点向上振动
D.4 s时Q质点向上振动
【答案】C
【考查知识点】 根据振动图像画波的图像并进行相关计算。
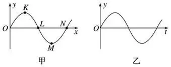
第5题 (2020·北京卷·6)一列简谐横波某时刻波形如图甲所示.由该时刻开始计时,质点L的振动情况如图乙所示.下列说法正确的是( )

A.该横波沿x轴负方向传播
B.质点N该时刻向y轴负方向运动
C.质点L经半个周期将沿x轴正方向移动到N点
D.该时刻质点K与M的速度、加速度都相同
【答案】B
【考查知识点】 由波动图像推断振动图像。
第6题 (2023·全国乙卷)
一列简谐横波沿x轴传播,图(a)是t=0时刻的波形图;P是介质中位于x=2 m处的质点,其振动图像如图(b)所示。下列说法正确的是( )(多选)

A. 波速为2 m/s
B. 波向左传播
C. 波的振幅是10 cm
D. x=3 m处的质点在t=7 s时位于平衡位置
E. 质点P在0~7 s时间内运动的路程为70 cm
【答案】 ABE
【考查知识点】 振动图像与波的图像的综合分析。由波形图得波长λ=4 m,由振动图得周期T=2 s,波速v=λ/T=2 m/s;由t=0时P点振动方向可判断波向左传播;7 s=3.5T,路程s=3.5×4A=70 cm。
第7题(2024·重庆卷·10)(多选)一列沿x轴传播的简谐波,在某时刻的波形图如图甲所示,一平衡位置与坐标原点距离为3米的质点从该时刻开始的振动图像如图乙所示,若该波的波长大于3米。则( )


【答案】BD
考点三:波传播的周期性和多解问题
第8题(2021·山东卷·10)一列简谐横波沿x轴传播,如图所示,实线为t1=2s时的波形图,虚线为t2=5s时的波形图。以下关于平衡位置在O处质点的振动图像,可能正确的是( )

A.
B.
C.
D.
【答案】AC
【考查知识点】 波传播的周期性与多解性。
第9题(2021·辽宁卷·7)一列沿x轴负方向传播的简谐横波,t=2 s时的波形如图(a)所示,x=2 m处质点的振动图像如图(b)所示,则波速可能是( )


【答案】A
【考查知识点】波的图像与振动图像以及波传播的周期性与多解性。
考点四:波的叠加和干涉
第10题 (2023·浙江6月选考)
置于管口T前的声源发出一列单一频率声波,分成两列强度不同的声波分别沿A、B两管传播到出口O。先调节A、B两管等长,O处探测到声波强度为400个单位,然后将A管拉长d=15 cm,在O处第一次探测到声波强度最小,其强度为100个单位。已知声波强度与声波振幅平方成正比,不计声波在管道中传播的能量损失,则( )

A. 声波的波长λ=15 cm
B. 声波的波长λ=30 cm
C. 两声波的振幅之比为3∶1
D. 两声波的振幅之比为2∶1
【答案】 C
【考查知识点】 波的干涉中加强点与减弱点的条件。拉长A管使两列波路程差变化,第一次强度最小对应相位差π,路程差为λ/2,故2d=λ/2。实际拉长d对应路程差变化2d=λ/2,λ=4d=60 cm;由振幅比与强度比关系可解得振幅比。
第11题 (2023·湖南卷)
如图(a),在均匀介质中有A、B、C和D四点,其中A、B、C三点位于同一直线上,AC=BC=4 m,DC=3 m,DC垂直AB。t=0时,位于A、B、C处的三个完全相同的横波波源同时开始振动,振动图像均如图(b)所示,振动方向与平面ABD垂直,已知波长为4m。下列说法正确的是( )

A. 这三列波的波速均为2m/s
B. t=2 s时,D处的质点开始振动
C. t=4.5 s时,D处的质点向y轴负方向运动
D. t=6 s时,D处的质点与平衡位置的距离是6cm
【答案】 C
【考查知识点】 波的干涉与叠加。
考点五:波的衍射、多普勒效应
第12题 (2025·广东卷)
关于受迫振动和多普勒效应,下列说法正确的是( )
A. 系统的固有频率与驱动力频率有关
B. 只要驱动力足够大,共振就能发生
C. 应用多普勒效应可以测量车辆的速度
D. 观察者与波源相互远离时,接收到的波的频率比波源的频率大
【答案】 C
【考查知识点】 多普勒效应的应用。固有频率由系统本身决定,与驱动力无关;共振条件是驱动力频率等于固有频率,与驱动力大小无关;多普勒效应可用于测速;观察者与波源远离时接收频率变小。
第13题 (2023·广东卷)
渔船常用回声探测器发射的声波探测水下鱼群与障碍物。声波在水中传播速度为1500 m/s,若探测器发出频率为1.5×10⁶ Hz的声波,下列说法正确的是( )
A. 两列声波相遇时一定会发生干涉
B. 声波由水中传播到空气中,波长会改变
C. 该声波遇到尺寸约为1m的障碍物时会发生明显衍射
D. 探测器接收到的回声频率与被探测物相对探测器的运动无关
【答案】 B
【考查知识点】 波的衍射条件、干涉条件、多普勒效应。干涉需要频率相同、相位差恒定;波由一种介质进入另一种介质时频率不变、波速改变、波长改变;发生明显衍射的条件是障碍物尺寸比波长小或者与波长差不多;多普勒效应中接收频率与相对运动有关。
下载链接:
通过网盘分享的文件:机械波典型题.docx
链接: https://pan.baidu.com/s/1dixsqclKcWQiQ7hofGdjjw?pwd=1234 提取码: 1234
相关阅读:
夜雨聆风