当前位置:首页>文档>(2.2.2)-模块测(1)行列式与矩阵-试题_08.2026考研数学高途王喆全程班_赠送2025课程_25考研数学(一、二)全年智达班_{2}--资料_{2}-基础阶段章节模块测试pdf_{2}-线代

(2.2.2)-模块测(1)行列式与矩阵-试题_08.2026考研数学高途王喆全程班_赠送2025课程_25考研数学(一、二)全年智达班_{2}--资料_{2}-基础阶段章节模块测试pdf_{2}-线代

  • 2026-04-10 16:43:22 2026-02-28 16:04:11

文档预览

(2.2.2)-模块测(1)行列式与矩阵-试题_08.2026考研数学高途王喆全程班_赠送2025课程_25考研数学(一、二)全年智达班_{2}--资料_{2}-基础阶段章节模块测试pdf_{2}-线代
(2.2.2)-模块测(1)行列式与矩阵-试题_08.2026考研数学高途王喆全程班_赠送2025课程_25考研数学(一、二)全年智达班_{2}--资料_{2}-基础阶段章节模块测试pdf_{2}-线代
(2.2.2)-模块测(1)行列式与矩阵-试题_08.2026考研数学高途王喆全程班_赠送2025课程_25考研数学(一、二)全年智达班_{2}--资料_{2}-基础阶段章节模块测试pdf_{2}-线代

文档信息

文档格式
pdf
文档大小
0.350 MB
文档页数
3 页
上传时间
2026-02-28 16:04:11

文档内容

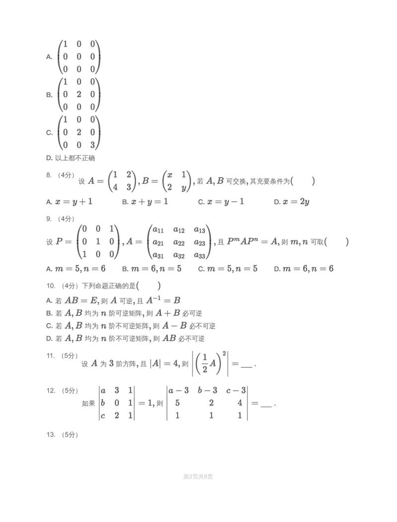
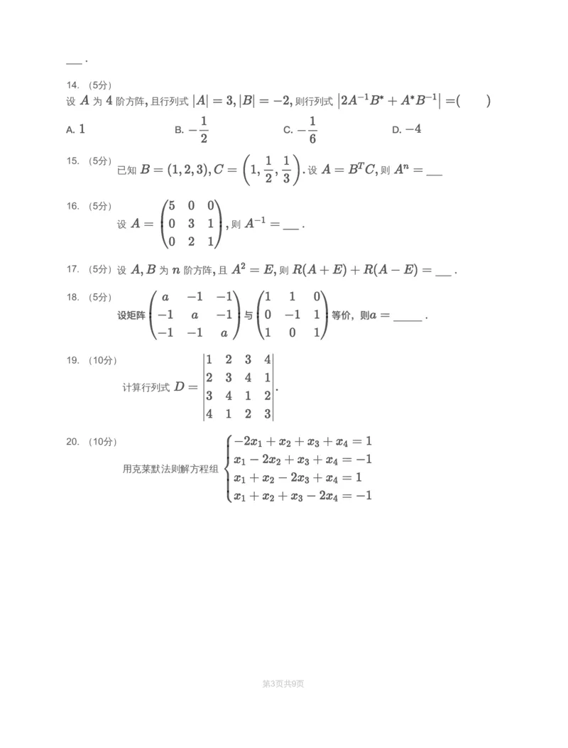
⾏列式与矩阵 1. (4分) . 设 阶行列式 则 A. B. C. D. 或 且 2. (4分) 若 阶行列式 则 . A. B. C. D. 3. (4分)如果 阶行列式 就可知行列式 A. B. 所有元素都是零 至少有一列 行 元素都为零 C. D. 有两列 行 元素相同或成比例 转置行列式 4. (4分)已知 阶行列式 的某一行元素及其余子式都等于 则 A. B. C. D. 5. (4分) . 阶行列式 A. -294 B. 294 C. 61 D. -61 6. (4分)设 和 都是 阶矩阵 满足 则必有 . A. B. 或 C. D. 或 7. (4分) . 与矩阵 等价的矩阵是 第1页共9页A. B. C. D. 以上都不正确 8. (4分) 设 若 可交换 其充要条件为 A. B. C. D. 9. (4分) 设 且 则 可取 A. B. C. D. 10. (4分)下列命题正确的是 A. 若 则 可逆 且 B. 若 均为 阶可逆矩阵 则 必可逆 C. 若 均为 阶不可逆矩阵 则 必不可逆 D. 若 均为 阶不可逆矩阵 则 必不可逆 11. (5分) . 设 为 阶方阵 且 则 12. (5分) . 如果 则 13. (5分) 第2页共9页. 14. (5分) 设 为 阶方阵 且行列式 则行列式 A. B. C. D. 15. (5分) 已知 设 则 16. (5分) . 设 则 17. (5分)设 为 阶方阵 且 则 . 18. (5分) 设矩阵 与 等价,则 . 19. (10分) 计算行列式 20. (10分) 用克莱默法则解方程组 第3页共9页