当前位置:首页>文档>2023年高考押题预测卷02(新高考Ⅰ卷)-数学(全解全析)_2.2025数学总复习_2023年新高考资料_42023年高考数学押题预测卷

2023年高考押题预测卷02(新高考Ⅰ卷)-数学(全解全析)_2.2025数学总复习_2023年新高考资料_42023年高考数学押题预测卷

  • 2026-03-09 23:19:36 2026-03-09 23:19:36

文档预览

2023年高考押题预测卷02(新高考Ⅰ卷)-数学(全解全析)_2.2025数学总复习_2023年新高考资料_42023年高考数学押题预测卷
2023年高考押题预测卷02(新高考Ⅰ卷)-数学(全解全析)_2.2025数学总复习_2023年新高考资料_42023年高考数学押题预测卷
2023年高考押题预测卷02(新高考Ⅰ卷)-数学(全解全析)_2.2025数学总复习_2023年新高考资料_42023年高考数学押题预测卷
2023年高考押题预测卷02(新高考Ⅰ卷)-数学(全解全析)_2.2025数学总复习_2023年新高考资料_42023年高考数学押题预测卷
2023年高考押题预测卷02(新高考Ⅰ卷)-数学(全解全析)_2.2025数学总复习_2023年新高考资料_42023年高考数学押题预测卷
2023年高考押题预测卷02(新高考Ⅰ卷)-数学(全解全析)_2.2025数学总复习_2023年新高考资料_42023年高考数学押题预测卷
2023年高考押题预测卷02(新高考Ⅰ卷)-数学(全解全析)_2.2025数学总复习_2023年新高考资料_42023年高考数学押题预测卷
2023年高考押题预测卷02(新高考Ⅰ卷)-数学(全解全析)_2.2025数学总复习_2023年新高考资料_42023年高考数学押题预测卷
2023年高考押题预测卷02(新高考Ⅰ卷)-数学(全解全析)_2.2025数学总复习_2023年新高考资料_42023年高考数学押题预测卷
2023年高考押题预测卷02(新高考Ⅰ卷)-数学(全解全析)_2.2025数学总复习_2023年新高考资料_42023年高考数学押题预测卷
2023年高考押题预测卷02(新高考Ⅰ卷)-数学(全解全析)_2.2025数学总复习_2023年新高考资料_42023年高考数学押题预测卷
2023年高考押题预测卷02(新高考Ⅰ卷)-数学(全解全析)_2.2025数学总复习_2023年新高考资料_42023年高考数学押题预测卷
2023年高考押题预测卷02(新高考Ⅰ卷)-数学(全解全析)_2.2025数学总复习_2023年新高考资料_42023年高考数学押题预测卷
2023年高考押题预测卷02(新高考Ⅰ卷)-数学(全解全析)_2.2025数学总复习_2023年新高考资料_42023年高考数学押题预测卷
2023年高考押题预测卷02(新高考Ⅰ卷)-数学(全解全析)_2.2025数学总复习_2023年新高考资料_42023年高考数学押题预测卷
2023年高考押题预测卷02(新高考Ⅰ卷)-数学(全解全析)_2.2025数学总复习_2023年新高考资料_42023年高考数学押题预测卷
2023年高考押题预测卷02(新高考Ⅰ卷)-数学(全解全析)_2.2025数学总复习_2023年新高考资料_42023年高考数学押题预测卷
2023年高考押题预测卷02(新高考Ⅰ卷)-数学(全解全析)_2.2025数学总复习_2023年新高考资料_42023年高考数学押题预测卷
2023年高考押题预测卷02(新高考Ⅰ卷)-数学(全解全析)_2.2025数学总复习_2023年新高考资料_42023年高考数学押题预测卷

文档信息

文档格式
docx
文档大小
1.546 MB
文档页数
19 页
上传时间
2026-03-09 23:19:36

文档内容

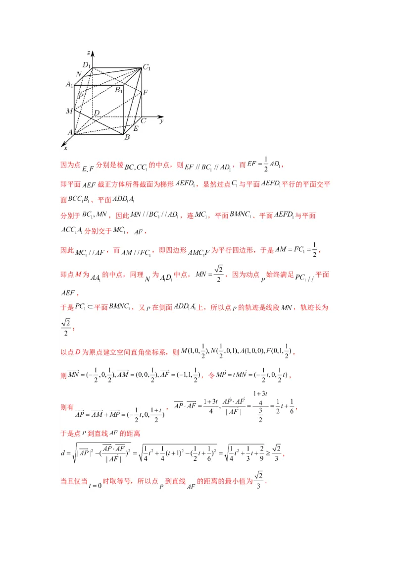
2023年高考押题预测卷02【新高考Ⅰ卷】 数学·全解全析 注意事项: 1.答卷前,考生务必将自己的姓名、准考证号等填写在答题卡和试卷指定位置上。 2.回答选择题时,选出每小题答案后,用铅笔把答题卡上对应题目的答案标号涂黑。 如 需改动,用橡皮擦干净后,再选涂其他答案标号。回答非选择题时,将答案写在答题卡上 写 在本试卷上无效。 3.考试结束后,将本试卷和答题卡一并交回。 第Ⅰ卷 一、单项选择题:本题共8小题,每小题5分,共40分.在每小题给出的四个选项中,只 有一项是符合题目要求. 1.设集合 , ,则 ( ) A. B. C. D. 【答案】C 【详解】由 ,得 ,所以 ,又 , 所以 . 故选:C 2.已知 ,则复数z在复平面上对应的点在( ) A.第一象限 B.第二象限 C.第三象限 D.第四象限 【答案】A 【详解】设 ,则 , ∴由 ,得 , 解得 , , ∴复数 在复平面上对应的点 在第一象限. 故选:A. 3.如图所示的粮仓可以看成圆柱体与圆锥体的组合体,设圆锥部分的高为 米,圆柱部分的 高为 米,底面圆的半径为 米,则该组合体体积为( )A. 立方米 B. 立方米 C. 立方米 D. 立方米 【答案】C 【详解】由题知底面圆的半径 ,圆柱高 ,圆锥高 . 圆柱的体积 . 圆锥的体积 . 所以该组合体体积 (立方米). 故选:C 4.在正方形 中,动点 从点 出发,经过 , ,到达 , ,则 的取值范围是( ) A. B. C. D. 【答案】B 【详解】以 为坐标原点, , 所在直线分别为 轴, 轴,建立平面直角坐标系, 设 ,则 , 当点 在 上时,设 , 则 ,即 ,故 , 当点 在 上时,设 , 则 ,即 ,解得 , 故 , 当点 在 上时,设 , 则 ,即 ,故综上, 的取值范围是 . 故选:B 5.已知 ,则 ( ) A. B.-1 C. D. 【答案】C 【详解】由 , 所以 ,则 , 所以 ,则 ,故 , 由 . 故选:C 6.一袋中有大小相同的 个白球和 个红球,现从中任意取出 个球,记事件 “ 个球 中至少有一个白球”,事件 “ 个球中至少有一个红球”,事件 “ 个球中有红球也 有白球”,下列结论不正确的是( ) A.事件 与事件 不为互斥事件 B.事件 与事件 不是相互独立事件C. D. 【答案】D 【详解】根据题意,取出的 个球的可能情况为: 个红球; 个红球 个白球; 个红球 个白球; 个白球. 故事件 包含: 个红球 个白球; 个红球 个白球; 个白球,且 ; 事件 包含: 个红球 个白球; 个红球 个白球; 个红球,且 ; 事件 包含: 个红球 个白球; 个红球 个白球,且 . 所以, , , 因为 ,则事件 与事件 不为互斥事件,A选项错误; ,故事件 与事件 不是相互独立事件,B正确; ,故D错误; ,故C正确; 故选:D. 7.已知 , , ,则 , , 的大小关系是( ) A. B. C. D. 【答案】D 【详解】∵ ,∴ ,即 , ∴ ,∴ ,∴ ,∴ . 令 ,则 ,∴ 在 上单调递增,∴ ,即 ,∴ ,∴ . 故选:D. 8.已知数列 、 , , , 其中 为不大于x的最大整 数.若 , , ,有且仅有4个不同的 ,使得 ,则m一共有 ( )个不同的取值. A.120 B.126 C.210 D.252 【答案】C 【详解】设 ,其中 ,且 不 全为0, , 若 ,则 , , , , 若 ,则 , , , , 所以若 则, ,若 ,则 , 若 , ,则 , , , , , , 若 , ,则 , , , , , , 若 , ,则 , , , , , , 若 , ,则 , , , , , , 所以 时, , 时, ,同理可以证明 时, , , , 因为有且仅有4个不同的 ,使得 ,即 中有且仅有4个变量取值为1, 其余变量取值为0,又从 中任选4个变量有 种取法, 故满足条件的 的个数为 ,即210个, 故选:C. 二、多项选择题:本题共4小题,每小题5分,共20分.在每小题给出的选项中,有多项符 合题目要求.全部选对的得5分,部分选对的得2分,有选错的得0分. 9.某学校为普及安全知识,对本校1500名高一学生开展了一次校园安全知识竞赛答题活 动(满分为100分).现从中随机抽取100名学生的得分进行统计分析,整理得到如图所示的 频率分布直方图,则根据该直方图,下列结论正确的是( ) A.图中 的值为0.016 B.估计该校高一大约有77%的学生竞赛得分介于60至90之间 C.该校高一学生竞赛得分不小于90的人数估计为195人 D.该校高一学生竞赛得分的第75百分位数估计大于80 【答案】BCD 【详解】由频率分布直方图性质可得: ,解得 ,故A错误; 得分介于60至90之间的频率为 ,故B正确; 得分不小于90的人数估计为 ,故C正确; 得分介于50至80之间的频率为 ,故D正确. 故选:BCD. 10.在 中,角 , , 的对边分别为 , , ,若 ,且 ,则 不可能为( ) A.等腰直角三角形 B.等边三角形 C.锐角三角形 D.钝角三角形【答案】BCD 【详解】由余弦定理 ,所以 ,又 ,所以 , 故 为等腰直角三角形. 故选:BCD 11.双曲线的光学性质:从双曲线的一个焦点发出的光线,经双曲线反射后,反射光线的 反向延长线经过双曲线的另一个焦点.由此可得,过双曲线上任意一点的切线.平分该点与两 焦点连线的夹角.已知 分别为双曲线 的左,右焦点,过 右支上一点 作直线 交 轴于点 ,交 轴于点 .则( ) A. 的渐近线方程为 B.点 的坐标为 C.过点 作 ,垂足为 ,则 D.四边形 面积的最小值为4 【答案】ACD 【详解】对于A项,由已知可得 , ,所以 的渐近线方程为 , 故A项正确; 对于B项,设 ,则 ,整理可得 . 又 ,所以 ,所以有 ,解得 ,所以点 的坐标为 ,故B项错误; 对于C项,如上图,显然 为双曲线的切线. 由双曲线的光学性质可知, 平分 ,延长 与 的延长线交于点 .则 垂直平分 ,即点 为 的中点. 又 是 的中点,所以, ,故C 项正确; 对于D项, , 当且仅当 ,即 时,等号成立. 所以,四边形 面积的最小值为4,故D项正确. 故选:ACD. 12.定义:对于定义在区间 上的函数 和正数 ,若存在正数 ,使得不 等式 对任意 恒成立,则称函数 在区间 上满足 阶李普希兹条件,则下列说法正确的有( ) A.函数 在 上满足 阶李普希兹条件. B.若函数 在 上满足一阶李普希兹条件,则 的最小值为2. C.若函数 在 上满足 的一阶李普希兹条件,且方程 在区 间 上有解 ,则 是方程 在区间 上的唯一解. D.若函数 在 上满足 的一阶李普希兹条件,且 ,则存在满足条 件的函数 ,存在 ,使得 . 【答案】ABC 【详解】A选项:不妨设 , ,即 ,故 ,对 ,均有 ,A选项正确; B选项:不妨设 , 在 单调递增, , ,即 ,即 对 , 恒成立,即 在 上单调递减, 对 恒成立,所以 对 恒成立,即 ,即 的最小值为 ,B选项正确; C选项:假设方程 在区间 上有两个解 , ,则 ,这与 矛盾,故只有唯一解,C选项正 确; D选项:不妨设 ,当 时, ,当 时, 故对 , ,不存在 使 ,D选项错误; 故选:ABC. 第Ⅱ卷 三、填空题:本题共4小题,每小题5分,共20分,其中第16题第一空2分,第二空3分. 13.若数列 是公差为2的等差数列, ,写出满足题意的一个通项公式 ______. 【答案】 (答案不唯一) 【详解】设等差数列的首项为 ,且公差 , 则 , 即 ,所以 , 令 ,所以 , 所以可取 故答案为: (答案不唯一) 14.已知常数 , 的二项展开式中 项的系数是 ,则 的值为 _____________. 【答案】 【详解】由已知 ,则其展开式的通项为 , 又其二项展开式中 项的系数是 , 则令 ,即 , , 又 , 所以 ,故答案为: . 15.如图,线段AB的长为8,点C在线段AB上, .点P为线段CB上任意一点, 点A绕着点C顺时针旋转,点B绕着点P逆时针旋转.若它们恰重合于点D,则 的 面积的最大值为__________. 【答案】 【详解】由题意可知, ,即 . 在 中,有 , , 所以 . 由余弦定理可得, , 所以 , 所以有 , 当且仅当 时,等号成立. 所以, , 所以, ,即 的面积的最大值为 . 故答案为: . 16.在棱长为1的正方体 中,点 分别是棱 的中点, 是侧面 上的动点.且 平面 ,则点 的轨迹长为__________.点 到直线 的距 离的最小值为__________. 【答案】 【详解】在正方体 中,连接 ,如图,对角面 为矩形,因为点 分别是棱 的中点,则 ,而 , 即平面 截正方体所得截面为梯形 ,显然过点 与平面 平行的平面交平 面 、平面 分别于 ,因此 ,连 ,平面 、平面 与平面 分别交于 , , 因此 ,而 ,即四边形 为平行四边形,于是 , 即点M为 的中点,同理 为 中点, ,因为动点 始终满足 平面 , 于是 平面 ,又 在侧面 上,所以点 的轨迹是线段 ,轨迹长为 ; 以点D为原点建立空间直角坐标系,则 , 则 ,令 , 则有 , , 于是点 到直线 的距离 , 当且仅当 时取等号,所以点 到直线 的距离的最小值为 .故答案为: ; 四、解答题:本小题共6小题,共70分,其中第17题10分,18~22题12分。解答应写出 文字说明、证明过程或演算步骤. 17.已知各项均为正数的等比数列 ,其前 项和为 ,满足 , (1)求数列 的通项公式; (2)记 为数列 在区间 中最大的项,求数列 的前 项和 . 【答案】(1) ; (2) . 【详解】(1)设 的公比为 ,则 ,又 , 当 时, ,当 时, , 两式相减可得, ,所以 , 所以 或 (舍去), 所以 ,即 , 所以等比数列 的通项公式为 ; (2)由 , ,可得 , 所以 ,又 , 所以 ,当且仅当 时等号成立, 所以 , 所以 , 所以 . 即 . 18.在锐角 中,内角 , , 所对的边分别为 , , ,满足 ,且 . (1)求证: ; (2)已知 是 的平分线,若 ,求线段 长度的取值范围. 【答案】(1)证明见解析(2) 【详解】(1)由题意得 ,即 . 由正弦定理得 , 又由余弦定理得 , 所以 ,故 , 故 ,整理得 , 又 为锐角三角形,则 所以 ,因此 . (2)在 中,由正弦定理得 ,所以 . 所以 , 因为 为锐角三角形,且 ,所以 ,解得 . 故 ,所以 . 因此线段 长度的取值范围 . 19.如图,在三棱台 中, . (1)求证:平面 平面 ; (2)若四面体 的体积为2,求二面角 的余弦值. 【答案】(1)证明见解析;(2) . 【详解】(1)(1)延长三条侧棱交于点 .因为 所以 , 分别为中点, 且 . 因为 ,所以 . 取 的中点 ,则 . 因为 所以 所以 . ,则 ,故 , 即 . 因为 , , 平面 , 平面 , 所以 平面 . 又 平面 ,故平面 平面 . (2)因为 ,所以 . 而 , 所以 ,解得: . 以 为坐标原点, 为 轴, 轴,建立空间直角坐标系,如图所示,则 , 设 为面 的一个法向量, 因为 ,所以 , 不妨设 ,则面 的一个法向量 . 同理可求得面 的一个法向量 . 由图示,二面角 的平面角为锐角, 所以 , 所以二面角 的余弦值为 . 20.学校团委和工会联合组织教职员工进行益智健身活动比赛.经多轮比赛后,由教师甲、 乙作为代表进行决赛.决赛共设三个项目,每个项目胜者得10分,负者得 分,没有平局. 三个项目比赛结束后,总得分高的获得冠军.已知教师甲在三个项目中获胜的概率分别为 0.4,0.5,0.75,各项目的比赛结果相互独立.甲、乙获得冠军的概率分别记为 , . (1)判断甲、乙获得冠军的实力是否有明显差别(如果 ,那么认 为甲、乙获得冠军的实力有明显差别,否则认为没有明显差别); (2)用X表示教师乙的总得分,求X的分布列与期望. 【答案】(1)甲、乙获得冠军的实力没有明显差别 (2)分布列见解析, 【详解】(1)解:设教师甲在三个项目中获胜的事件依次为 , 则教师甲获得冠军的概率, 由对立事件的概率公式,可得得 , 所以 ,解得 , 因为 ,所以甲、乙获得冠军的实力没有明显差别. (2)解:根据题意知, 的可能取值为 , 可得 , , , . 所以随机变量 的分布列为 0 15 30 0.15 0.425 0.35 0.075 所以期望为 . 21.已知椭圆 的左、右顶点分别为 、 ,短轴长为 ,点 上的点 满足直线 、 的斜率之积为 . (1)求 的方程; (2)若过点 且不与 轴垂直的直线 与 交于 、 两点,记直线 、 交于点 . 探究:点 是否在定直线上,若是,求出该定直线的方程;若不是,请说明理由. 【答案】(1) (2)点 在定直线 上 【详解】(1)解:设 ,则 ,且 ,所以, , 则 ,故 ①,又 ②, 联立①②,解得 , ,故椭圆 的方程为 . (2)解:结论:点 在定直线上 . 由(1)得, 、 ,设 , 设直线 的方程为 ,设点 、 , 联立 ,整理得 , , , 直线 的方程为 ,直线 的方程为 , 所以, , 可得 ,解得 , 因此,点 在直线 上. 22.已知函数 , . (1)讨论 的极值; (2)若不等式 在 上恒成立,求m的取值范围. 【答案】(1)答案见解析 (2) 【详解】(1)因为函数 ,则 , ,当 时, ,此时 单调递增,无极值;当 时,令 ,得 ;令 ,得 ,所以 在 上单调递增,在 上单调递减,所以 ,无极小值; 当 时,令 ,得 ;令 ,得 ,所以 在 上单调递减,在 上单调递增,所以 ,无极大值. 综上,当 时,函数 无极值;当 时, ,无极小值; 当 时, ,无极大值. (2)由 及 ,得 , , 即 .设 , , 当 时,需 .由 ,得 , ,设 , 则 , , 当 时,由 ,得 ,因为 ,所以 , 所以当 时,则 , 即 为增函数,则 , 为增函数,则 ,所以 符合条件. 当 时,由 ,得 , 因为 ,所以 ,所以当 时, ,则 即 为减函 数,则 , 为减函数,则 ,不符合条件. 综上所述,m的取值范围为 .
基本 文件 流程 错误 SQL 调试
  1. 请求信息 : 2026-03-09 23:19:59 HTTP/1.1 GET : https://www.yeyulingfeng.com/wendang/367588.html
  2. 运行时间 : 0.188922s [ 吞吐率:5.29req/s ] 内存消耗:5,794.13kb 文件加载:144
  3. 缓存信息 : 0 reads,0 writes
  4. 会话信息 : SESSION_ID=77ca00788156f943b8f7c2def2e83106
  1. /yingpanguazai/ssd/ssd1/www/wwww.yeyulingfeng.com/public/index.php ( 0.79 KB )
  2. /yingpanguazai/ssd/ssd1/www/wwww.yeyulingfeng.com/vendor/autoload.php ( 0.17 KB )
  3. /yingpanguazai/ssd/ssd1/www/wwww.yeyulingfeng.com/vendor/composer/autoload_real.php ( 2.49 KB )
  4. /yingpanguazai/ssd/ssd1/www/wwww.yeyulingfeng.com/vendor/composer/platform_check.php ( 0.90 KB )
  5. /yingpanguazai/ssd/ssd1/www/wwww.yeyulingfeng.com/vendor/composer/ClassLoader.php ( 14.03 KB )
  6. /yingpanguazai/ssd/ssd1/www/wwww.yeyulingfeng.com/vendor/composer/autoload_static.php ( 6.05 KB )
  7. /yingpanguazai/ssd/ssd1/www/wwww.yeyulingfeng.com/vendor/topthink/think-helper/src/helper.php ( 8.34 KB )
  8. /yingpanguazai/ssd/ssd1/www/wwww.yeyulingfeng.com/vendor/topthink/think-validate/src/helper.php ( 2.19 KB )
  9. /yingpanguazai/ssd/ssd1/www/wwww.yeyulingfeng.com/vendor/ralouphie/getallheaders/src/getallheaders.php ( 1.60 KB )
  10. /yingpanguazai/ssd/ssd1/www/wwww.yeyulingfeng.com/vendor/topthink/think-orm/src/helper.php ( 1.47 KB )
  11. /yingpanguazai/ssd/ssd1/www/wwww.yeyulingfeng.com/vendor/topthink/think-orm/stubs/load_stubs.php ( 0.16 KB )
  12. /yingpanguazai/ssd/ssd1/www/wwww.yeyulingfeng.com/vendor/topthink/framework/src/think/Exception.php ( 1.69 KB )
  13. /yingpanguazai/ssd/ssd1/www/wwww.yeyulingfeng.com/vendor/topthink/think-container/src/Facade.php ( 2.71 KB )
  14. /yingpanguazai/ssd/ssd1/www/wwww.yeyulingfeng.com/vendor/symfony/deprecation-contracts/function.php ( 0.99 KB )
  15. /yingpanguazai/ssd/ssd1/www/wwww.yeyulingfeng.com/vendor/symfony/polyfill-mbstring/bootstrap.php ( 8.26 KB )
  16. /yingpanguazai/ssd/ssd1/www/wwww.yeyulingfeng.com/vendor/symfony/polyfill-mbstring/bootstrap80.php ( 9.78 KB )
  17. /yingpanguazai/ssd/ssd1/www/wwww.yeyulingfeng.com/vendor/symfony/var-dumper/Resources/functions/dump.php ( 1.49 KB )
  18. /yingpanguazai/ssd/ssd1/www/wwww.yeyulingfeng.com/vendor/topthink/think-dumper/src/helper.php ( 0.18 KB )
  19. /yingpanguazai/ssd/ssd1/www/wwww.yeyulingfeng.com/vendor/symfony/var-dumper/VarDumper.php ( 4.30 KB )
  20. /yingpanguazai/ssd/ssd1/www/wwww.yeyulingfeng.com/vendor/guzzlehttp/guzzle/src/functions_include.php ( 0.16 KB )
  21. /yingpanguazai/ssd/ssd1/www/wwww.yeyulingfeng.com/vendor/guzzlehttp/guzzle/src/functions.php ( 5.54 KB )
  22. /yingpanguazai/ssd/ssd1/www/wwww.yeyulingfeng.com/vendor/topthink/framework/src/think/App.php ( 15.30 KB )
  23. /yingpanguazai/ssd/ssd1/www/wwww.yeyulingfeng.com/vendor/topthink/think-container/src/Container.php ( 15.76 KB )
  24. /yingpanguazai/ssd/ssd1/www/wwww.yeyulingfeng.com/vendor/psr/container/src/ContainerInterface.php ( 1.02 KB )
  25. /yingpanguazai/ssd/ssd1/www/wwww.yeyulingfeng.com/app/provider.php ( 0.19 KB )
  26. /yingpanguazai/ssd/ssd1/www/wwww.yeyulingfeng.com/vendor/topthink/framework/src/think/Http.php ( 6.04 KB )
  27. /yingpanguazai/ssd/ssd1/www/wwww.yeyulingfeng.com/vendor/topthink/think-helper/src/helper/Str.php ( 7.29 KB )
  28. /yingpanguazai/ssd/ssd1/www/wwww.yeyulingfeng.com/vendor/topthink/framework/src/think/Env.php ( 4.68 KB )
  29. /yingpanguazai/ssd/ssd1/www/wwww.yeyulingfeng.com/app/common.php ( 0.03 KB )
  30. /yingpanguazai/ssd/ssd1/www/wwww.yeyulingfeng.com/vendor/topthink/framework/src/helper.php ( 18.78 KB )
  31. /yingpanguazai/ssd/ssd1/www/wwww.yeyulingfeng.com/vendor/topthink/framework/src/think/Config.php ( 5.54 KB )
  32. /yingpanguazai/ssd/ssd1/www/wwww.yeyulingfeng.com/config/alipay.php ( 3.59 KB )
  33. /yingpanguazai/ssd/ssd1/www/wwww.yeyulingfeng.com/vendor/topthink/framework/src/think/facade/Env.php ( 1.67 KB )
  34. /yingpanguazai/ssd/ssd1/www/wwww.yeyulingfeng.com/config/app.php ( 0.95 KB )
  35. /yingpanguazai/ssd/ssd1/www/wwww.yeyulingfeng.com/config/cache.php ( 0.78 KB )
  36. /yingpanguazai/ssd/ssd1/www/wwww.yeyulingfeng.com/config/console.php ( 0.23 KB )
  37. /yingpanguazai/ssd/ssd1/www/wwww.yeyulingfeng.com/config/cookie.php ( 0.56 KB )
  38. /yingpanguazai/ssd/ssd1/www/wwww.yeyulingfeng.com/config/database.php ( 2.48 KB )
  39. /yingpanguazai/ssd/ssd1/www/wwww.yeyulingfeng.com/config/filesystem.php ( 0.61 KB )
  40. /yingpanguazai/ssd/ssd1/www/wwww.yeyulingfeng.com/config/lang.php ( 0.91 KB )
  41. /yingpanguazai/ssd/ssd1/www/wwww.yeyulingfeng.com/config/log.php ( 1.35 KB )
  42. /yingpanguazai/ssd/ssd1/www/wwww.yeyulingfeng.com/config/middleware.php ( 0.19 KB )
  43. /yingpanguazai/ssd/ssd1/www/wwww.yeyulingfeng.com/config/route.php ( 1.89 KB )
  44. /yingpanguazai/ssd/ssd1/www/wwww.yeyulingfeng.com/config/session.php ( 0.57 KB )
  45. /yingpanguazai/ssd/ssd1/www/wwww.yeyulingfeng.com/config/trace.php ( 0.34 KB )
  46. /yingpanguazai/ssd/ssd1/www/wwww.yeyulingfeng.com/config/view.php ( 0.82 KB )
  47. /yingpanguazai/ssd/ssd1/www/wwww.yeyulingfeng.com/app/event.php ( 0.25 KB )
  48. /yingpanguazai/ssd/ssd1/www/wwww.yeyulingfeng.com/vendor/topthink/framework/src/think/Event.php ( 7.67 KB )
  49. /yingpanguazai/ssd/ssd1/www/wwww.yeyulingfeng.com/app/service.php ( 0.13 KB )
  50. /yingpanguazai/ssd/ssd1/www/wwww.yeyulingfeng.com/app/AppService.php ( 0.26 KB )
  51. /yingpanguazai/ssd/ssd1/www/wwww.yeyulingfeng.com/vendor/topthink/framework/src/think/Service.php ( 1.64 KB )
  52. /yingpanguazai/ssd/ssd1/www/wwww.yeyulingfeng.com/vendor/topthink/framework/src/think/Lang.php ( 7.35 KB )
  53. /yingpanguazai/ssd/ssd1/www/wwww.yeyulingfeng.com/vendor/topthink/framework/src/lang/zh-cn.php ( 13.70 KB )
  54. /yingpanguazai/ssd/ssd1/www/wwww.yeyulingfeng.com/vendor/topthink/framework/src/think/initializer/Error.php ( 3.31 KB )
  55. /yingpanguazai/ssd/ssd1/www/wwww.yeyulingfeng.com/vendor/topthink/framework/src/think/initializer/RegisterService.php ( 1.33 KB )
  56. /yingpanguazai/ssd/ssd1/www/wwww.yeyulingfeng.com/vendor/services.php ( 0.14 KB )
  57. /yingpanguazai/ssd/ssd1/www/wwww.yeyulingfeng.com/vendor/topthink/framework/src/think/service/PaginatorService.php ( 1.52 KB )
  58. /yingpanguazai/ssd/ssd1/www/wwww.yeyulingfeng.com/vendor/topthink/framework/src/think/service/ValidateService.php ( 0.99 KB )
  59. /yingpanguazai/ssd/ssd1/www/wwww.yeyulingfeng.com/vendor/topthink/framework/src/think/service/ModelService.php ( 2.04 KB )
  60. /yingpanguazai/ssd/ssd1/www/wwww.yeyulingfeng.com/vendor/topthink/think-trace/src/Service.php ( 0.77 KB )
  61. /yingpanguazai/ssd/ssd1/www/wwww.yeyulingfeng.com/vendor/topthink/framework/src/think/Middleware.php ( 6.72 KB )
  62. /yingpanguazai/ssd/ssd1/www/wwww.yeyulingfeng.com/vendor/topthink/framework/src/think/initializer/BootService.php ( 0.77 KB )
  63. /yingpanguazai/ssd/ssd1/www/wwww.yeyulingfeng.com/vendor/topthink/think-orm/src/Paginator.php ( 11.86 KB )
  64. /yingpanguazai/ssd/ssd1/www/wwww.yeyulingfeng.com/vendor/topthink/think-validate/src/Validate.php ( 63.20 KB )
  65. /yingpanguazai/ssd/ssd1/www/wwww.yeyulingfeng.com/vendor/topthink/think-orm/src/Model.php ( 23.55 KB )
  66. /yingpanguazai/ssd/ssd1/www/wwww.yeyulingfeng.com/vendor/topthink/think-orm/src/model/concern/Attribute.php ( 21.05 KB )
  67. /yingpanguazai/ssd/ssd1/www/wwww.yeyulingfeng.com/vendor/topthink/think-orm/src/model/concern/AutoWriteData.php ( 4.21 KB )
  68. /yingpanguazai/ssd/ssd1/www/wwww.yeyulingfeng.com/vendor/topthink/think-orm/src/model/concern/Conversion.php ( 6.44 KB )
  69. /yingpanguazai/ssd/ssd1/www/wwww.yeyulingfeng.com/vendor/topthink/think-orm/src/model/concern/DbConnect.php ( 5.16 KB )
  70. /yingpanguazai/ssd/ssd1/www/wwww.yeyulingfeng.com/vendor/topthink/think-orm/src/model/concern/ModelEvent.php ( 2.33 KB )
  71. /yingpanguazai/ssd/ssd1/www/wwww.yeyulingfeng.com/vendor/topthink/think-orm/src/model/concern/RelationShip.php ( 28.29 KB )
  72. /yingpanguazai/ssd/ssd1/www/wwww.yeyulingfeng.com/vendor/topthink/think-helper/src/contract/Arrayable.php ( 0.09 KB )
  73. /yingpanguazai/ssd/ssd1/www/wwww.yeyulingfeng.com/vendor/topthink/think-helper/src/contract/Jsonable.php ( 0.13 KB )
  74. /yingpanguazai/ssd/ssd1/www/wwww.yeyulingfeng.com/vendor/topthink/think-orm/src/model/contract/Modelable.php ( 0.09 KB )
  75. /yingpanguazai/ssd/ssd1/www/wwww.yeyulingfeng.com/vendor/topthink/framework/src/think/Db.php ( 2.88 KB )
  76. /yingpanguazai/ssd/ssd1/www/wwww.yeyulingfeng.com/vendor/topthink/think-orm/src/DbManager.php ( 8.52 KB )
  77. /yingpanguazai/ssd/ssd1/www/wwww.yeyulingfeng.com/vendor/topthink/framework/src/think/Log.php ( 6.28 KB )
  78. /yingpanguazai/ssd/ssd1/www/wwww.yeyulingfeng.com/vendor/topthink/framework/src/think/Manager.php ( 3.92 KB )
  79. /yingpanguazai/ssd/ssd1/www/wwww.yeyulingfeng.com/vendor/psr/log/src/LoggerTrait.php ( 2.69 KB )
  80. /yingpanguazai/ssd/ssd1/www/wwww.yeyulingfeng.com/vendor/psr/log/src/LoggerInterface.php ( 2.71 KB )
  81. /yingpanguazai/ssd/ssd1/www/wwww.yeyulingfeng.com/vendor/topthink/framework/src/think/Cache.php ( 4.92 KB )
  82. /yingpanguazai/ssd/ssd1/www/wwww.yeyulingfeng.com/vendor/psr/simple-cache/src/CacheInterface.php ( 4.71 KB )
  83. /yingpanguazai/ssd/ssd1/www/wwww.yeyulingfeng.com/vendor/topthink/think-helper/src/helper/Arr.php ( 16.63 KB )
  84. /yingpanguazai/ssd/ssd1/www/wwww.yeyulingfeng.com/vendor/topthink/framework/src/think/cache/driver/File.php ( 7.84 KB )
  85. /yingpanguazai/ssd/ssd1/www/wwww.yeyulingfeng.com/vendor/topthink/framework/src/think/cache/Driver.php ( 9.03 KB )
  86. /yingpanguazai/ssd/ssd1/www/wwww.yeyulingfeng.com/vendor/topthink/framework/src/think/contract/CacheHandlerInterface.php ( 1.99 KB )
  87. /yingpanguazai/ssd/ssd1/www/wwww.yeyulingfeng.com/app/Request.php ( 0.09 KB )
  88. /yingpanguazai/ssd/ssd1/www/wwww.yeyulingfeng.com/vendor/topthink/framework/src/think/Request.php ( 55.78 KB )
  89. /yingpanguazai/ssd/ssd1/www/wwww.yeyulingfeng.com/app/middleware.php ( 0.25 KB )
  90. /yingpanguazai/ssd/ssd1/www/wwww.yeyulingfeng.com/vendor/topthink/framework/src/think/Pipeline.php ( 2.61 KB )
  91. /yingpanguazai/ssd/ssd1/www/wwww.yeyulingfeng.com/vendor/topthink/think-trace/src/TraceDebug.php ( 3.40 KB )
  92. /yingpanguazai/ssd/ssd1/www/wwww.yeyulingfeng.com/vendor/topthink/framework/src/think/middleware/SessionInit.php ( 1.94 KB )
  93. /yingpanguazai/ssd/ssd1/www/wwww.yeyulingfeng.com/vendor/topthink/framework/src/think/Session.php ( 1.80 KB )
  94. /yingpanguazai/ssd/ssd1/www/wwww.yeyulingfeng.com/vendor/topthink/framework/src/think/session/driver/File.php ( 6.27 KB )
  95. /yingpanguazai/ssd/ssd1/www/wwww.yeyulingfeng.com/vendor/topthink/framework/src/think/contract/SessionHandlerInterface.php ( 0.87 KB )
  96. /yingpanguazai/ssd/ssd1/www/wwww.yeyulingfeng.com/vendor/topthink/framework/src/think/session/Store.php ( 7.12 KB )
  97. /yingpanguazai/ssd/ssd1/www/wwww.yeyulingfeng.com/vendor/topthink/framework/src/think/Route.php ( 23.73 KB )
  98. /yingpanguazai/ssd/ssd1/www/wwww.yeyulingfeng.com/vendor/topthink/framework/src/think/route/RuleName.php ( 5.75 KB )
  99. /yingpanguazai/ssd/ssd1/www/wwww.yeyulingfeng.com/vendor/topthink/framework/src/think/route/Domain.php ( 2.53 KB )
  100. /yingpanguazai/ssd/ssd1/www/wwww.yeyulingfeng.com/vendor/topthink/framework/src/think/route/RuleGroup.php ( 22.43 KB )
  101. /yingpanguazai/ssd/ssd1/www/wwww.yeyulingfeng.com/vendor/topthink/framework/src/think/route/Rule.php ( 26.95 KB )
  102. /yingpanguazai/ssd/ssd1/www/wwww.yeyulingfeng.com/vendor/topthink/framework/src/think/route/RuleItem.php ( 9.78 KB )
  103. /yingpanguazai/ssd/ssd1/www/wwww.yeyulingfeng.com/route/app.php ( 3.82 KB )
  104. /yingpanguazai/ssd/ssd1/www/wwww.yeyulingfeng.com/vendor/topthink/framework/src/think/facade/Route.php ( 4.70 KB )
  105. /yingpanguazai/ssd/ssd1/www/wwww.yeyulingfeng.com/vendor/topthink/framework/src/think/route/dispatch/Controller.php ( 4.74 KB )
  106. /yingpanguazai/ssd/ssd1/www/wwww.yeyulingfeng.com/vendor/topthink/framework/src/think/route/Dispatch.php ( 10.44 KB )
  107. /yingpanguazai/ssd/ssd1/www/wwww.yeyulingfeng.com/app/controller/Index.php ( 9.69 KB )
  108. /yingpanguazai/ssd/ssd1/www/wwww.yeyulingfeng.com/app/BaseController.php ( 2.05 KB )
  109. /yingpanguazai/ssd/ssd1/www/wwww.yeyulingfeng.com/vendor/topthink/think-orm/src/facade/Db.php ( 0.93 KB )
  110. /yingpanguazai/ssd/ssd1/www/wwww.yeyulingfeng.com/vendor/topthink/think-orm/src/db/connector/Mysql.php ( 5.44 KB )
  111. /yingpanguazai/ssd/ssd1/www/wwww.yeyulingfeng.com/vendor/topthink/think-orm/src/db/PDOConnection.php ( 52.47 KB )
  112. /yingpanguazai/ssd/ssd1/www/wwww.yeyulingfeng.com/vendor/topthink/think-orm/src/db/Connection.php ( 8.39 KB )
  113. /yingpanguazai/ssd/ssd1/www/wwww.yeyulingfeng.com/vendor/topthink/think-orm/src/db/ConnectionInterface.php ( 4.57 KB )
  114. /yingpanguazai/ssd/ssd1/www/wwww.yeyulingfeng.com/vendor/topthink/think-orm/src/db/builder/Mysql.php ( 16.58 KB )
  115. /yingpanguazai/ssd/ssd1/www/wwww.yeyulingfeng.com/vendor/topthink/think-orm/src/db/Builder.php ( 24.06 KB )
  116. /yingpanguazai/ssd/ssd1/www/wwww.yeyulingfeng.com/vendor/topthink/think-orm/src/db/BaseBuilder.php ( 27.50 KB )
  117. /yingpanguazai/ssd/ssd1/www/wwww.yeyulingfeng.com/vendor/topthink/think-orm/src/db/Query.php ( 15.71 KB )
  118. /yingpanguazai/ssd/ssd1/www/wwww.yeyulingfeng.com/vendor/topthink/think-orm/src/db/BaseQuery.php ( 45.13 KB )
  119. /yingpanguazai/ssd/ssd1/www/wwww.yeyulingfeng.com/vendor/topthink/think-orm/src/db/concern/TimeFieldQuery.php ( 7.43 KB )
  120. /yingpanguazai/ssd/ssd1/www/wwww.yeyulingfeng.com/vendor/topthink/think-orm/src/db/concern/AggregateQuery.php ( 3.26 KB )
  121. /yingpanguazai/ssd/ssd1/www/wwww.yeyulingfeng.com/vendor/topthink/think-orm/src/db/concern/ModelRelationQuery.php ( 20.07 KB )
  122. /yingpanguazai/ssd/ssd1/www/wwww.yeyulingfeng.com/vendor/topthink/think-orm/src/db/concern/ParamsBind.php ( 3.66 KB )
  123. /yingpanguazai/ssd/ssd1/www/wwww.yeyulingfeng.com/vendor/topthink/think-orm/src/db/concern/ResultOperation.php ( 7.01 KB )
  124. /yingpanguazai/ssd/ssd1/www/wwww.yeyulingfeng.com/vendor/topthink/think-orm/src/db/concern/WhereQuery.php ( 19.37 KB )
  125. /yingpanguazai/ssd/ssd1/www/wwww.yeyulingfeng.com/vendor/topthink/think-orm/src/db/concern/JoinAndViewQuery.php ( 7.11 KB )
  126. /yingpanguazai/ssd/ssd1/www/wwww.yeyulingfeng.com/vendor/topthink/think-orm/src/db/concern/TableFieldInfo.php ( 2.63 KB )
  127. /yingpanguazai/ssd/ssd1/www/wwww.yeyulingfeng.com/vendor/topthink/think-orm/src/db/concern/Transaction.php ( 2.77 KB )
  128. /yingpanguazai/ssd/ssd1/www/wwww.yeyulingfeng.com/vendor/topthink/framework/src/think/log/driver/File.php ( 5.96 KB )
  129. /yingpanguazai/ssd/ssd1/www/wwww.yeyulingfeng.com/vendor/topthink/framework/src/think/contract/LogHandlerInterface.php ( 0.86 KB )
  130. /yingpanguazai/ssd/ssd1/www/wwww.yeyulingfeng.com/vendor/topthink/framework/src/think/log/Channel.php ( 3.89 KB )
  131. /yingpanguazai/ssd/ssd1/www/wwww.yeyulingfeng.com/vendor/topthink/framework/src/think/event/LogRecord.php ( 1.02 KB )
  132. /yingpanguazai/ssd/ssd1/www/wwww.yeyulingfeng.com/vendor/topthink/think-helper/src/Collection.php ( 16.47 KB )
  133. /yingpanguazai/ssd/ssd1/www/wwww.yeyulingfeng.com/vendor/topthink/framework/src/think/facade/View.php ( 1.70 KB )
  134. /yingpanguazai/ssd/ssd1/www/wwww.yeyulingfeng.com/vendor/topthink/framework/src/think/View.php ( 4.39 KB )
  135. /yingpanguazai/ssd/ssd1/www/wwww.yeyulingfeng.com/vendor/topthink/framework/src/think/Response.php ( 8.81 KB )
  136. /yingpanguazai/ssd/ssd1/www/wwww.yeyulingfeng.com/vendor/topthink/framework/src/think/response/View.php ( 3.29 KB )
  137. /yingpanguazai/ssd/ssd1/www/wwww.yeyulingfeng.com/vendor/topthink/framework/src/think/Cookie.php ( 6.06 KB )
  138. /yingpanguazai/ssd/ssd1/www/wwww.yeyulingfeng.com/vendor/topthink/think-view/src/Think.php ( 8.38 KB )
  139. /yingpanguazai/ssd/ssd1/www/wwww.yeyulingfeng.com/vendor/topthink/framework/src/think/contract/TemplateHandlerInterface.php ( 1.60 KB )
  140. /yingpanguazai/ssd/ssd1/www/wwww.yeyulingfeng.com/vendor/topthink/think-template/src/Template.php ( 46.61 KB )
  141. /yingpanguazai/ssd/ssd1/www/wwww.yeyulingfeng.com/vendor/topthink/think-template/src/template/driver/File.php ( 2.41 KB )
  142. /yingpanguazai/ssd/ssd1/www/wwww.yeyulingfeng.com/vendor/topthink/think-template/src/template/contract/DriverInterface.php ( 0.86 KB )
  143. /yingpanguazai/ssd/ssd1/www/wwww.yeyulingfeng.com/runtime/temp/10a0c909b6afa23b5a52a2e2d58c3c0f.php ( 21.72 KB )
  144. /yingpanguazai/ssd/ssd1/www/wwww.yeyulingfeng.com/vendor/topthink/think-trace/src/Html.php ( 4.42 KB )
  1. CONNECT:[ UseTime:0.001120s ] mysql:host=127.0.0.1;port=3306;dbname=wenku;charset=utf8mb4
  2. SHOW FULL COLUMNS FROM `fenlei` [ RunTime:0.001626s ]
  3. SELECT * FROM `fenlei` WHERE `fid` = 0 [ RunTime:0.000775s ]
  4. SELECT * FROM `fenlei` WHERE `fid` = 63 [ RunTime:0.000687s ]
  5. SHOW FULL COLUMNS FROM `set` [ RunTime:0.001324s ]
  6. SELECT * FROM `set` [ RunTime:0.000613s ]
  7. SHOW FULL COLUMNS FROM `wendang` [ RunTime:0.001549s ]
  8. SELECT * FROM `wendang` WHERE `id` = 367588 LIMIT 1 [ RunTime:0.001178s ]
  9. UPDATE `wendang` SET `liulancishu` = 1 WHERE `id` = 367588 [ RunTime:0.001542s ]
  10. UPDATE `wendang` SET `lasttime` = 1773069599 WHERE `id` = 367588 [ RunTime:0.001149s ]
  11. SELECT * FROM `wendang` WHERE `id` < 367588 ORDER BY `id` DESC LIMIT 1 [ RunTime:0.001091s ]
  12. SELECT * FROM `wendang` WHERE `id` > 367588 ORDER BY `id` ASC LIMIT 1 [ RunTime:0.001864s ]
  13. SELECT * FROM `wendang` WHERE `id` <> 367588 ORDER BY `id` DESC LIMIT 10 [ RunTime:0.012619s ]
  14. SELECT * FROM `wendang` WHERE `id` <> 367588 ORDER BY `id` DESC LIMIT 10,10 [ RunTime:0.005203s ]
  15. SELECT * FROM `wendang` WHERE `id` <> 367588 ORDER BY `id` DESC LIMIT 20,10 [ RunTime:0.004751s ]
0.190573s