当前位置:首页>文档>第04讲圆锥曲线综合(练)(解析版)_2.2025数学总复习_赠品通用版(老高考)复习资料_一轮复习_2023年高考数学一轮复习讲练测(全国通用)_专题09圆锥曲线

第04讲圆锥曲线综合(练)(解析版)_2.2025数学总复习_赠品通用版(老高考)复习资料_一轮复习_2023年高考数学一轮复习讲练测(全国通用)_专题09圆锥曲线

  • 2026-03-30 17:20:46 2026-03-24 09:56:30

文档预览

第04讲圆锥曲线综合(练)(解析版)_2.2025数学总复习_赠品通用版(老高考)复习资料_一轮复习_2023年高考数学一轮复习讲练测(全国通用)_专题09圆锥曲线
第04讲圆锥曲线综合(练)(解析版)_2.2025数学总复习_赠品通用版(老高考)复习资料_一轮复习_2023年高考数学一轮复习讲练测(全国通用)_专题09圆锥曲线
第04讲圆锥曲线综合(练)(解析版)_2.2025数学总复习_赠品通用版(老高考)复习资料_一轮复习_2023年高考数学一轮复习讲练测(全国通用)_专题09圆锥曲线
第04讲圆锥曲线综合(练)(解析版)_2.2025数学总复习_赠品通用版(老高考)复习资料_一轮复习_2023年高考数学一轮复习讲练测(全国通用)_专题09圆锥曲线
第04讲圆锥曲线综合(练)(解析版)_2.2025数学总复习_赠品通用版(老高考)复习资料_一轮复习_2023年高考数学一轮复习讲练测(全国通用)_专题09圆锥曲线
第04讲圆锥曲线综合(练)(解析版)_2.2025数学总复习_赠品通用版(老高考)复习资料_一轮复习_2023年高考数学一轮复习讲练测(全国通用)_专题09圆锥曲线
第04讲圆锥曲线综合(练)(解析版)_2.2025数学总复习_赠品通用版(老高考)复习资料_一轮复习_2023年高考数学一轮复习讲练测(全国通用)_专题09圆锥曲线
第04讲圆锥曲线综合(练)(解析版)_2.2025数学总复习_赠品通用版(老高考)复习资料_一轮复习_2023年高考数学一轮复习讲练测(全国通用)_专题09圆锥曲线
第04讲圆锥曲线综合(练)(解析版)_2.2025数学总复习_赠品通用版(老高考)复习资料_一轮复习_2023年高考数学一轮复习讲练测(全国通用)_专题09圆锥曲线
第04讲圆锥曲线综合(练)(解析版)_2.2025数学总复习_赠品通用版(老高考)复习资料_一轮复习_2023年高考数学一轮复习讲练测(全国通用)_专题09圆锥曲线
第04讲圆锥曲线综合(练)(解析版)_2.2025数学总复习_赠品通用版(老高考)复习资料_一轮复习_2023年高考数学一轮复习讲练测(全国通用)_专题09圆锥曲线
第04讲圆锥曲线综合(练)(解析版)_2.2025数学总复习_赠品通用版(老高考)复习资料_一轮复习_2023年高考数学一轮复习讲练测(全国通用)_专题09圆锥曲线
第04讲圆锥曲线综合(练)(解析版)_2.2025数学总复习_赠品通用版(老高考)复习资料_一轮复习_2023年高考数学一轮复习讲练测(全国通用)_专题09圆锥曲线
第04讲圆锥曲线综合(练)(解析版)_2.2025数学总复习_赠品通用版(老高考)复习资料_一轮复习_2023年高考数学一轮复习讲练测(全国通用)_专题09圆锥曲线
第04讲圆锥曲线综合(练)(解析版)_2.2025数学总复习_赠品通用版(老高考)复习资料_一轮复习_2023年高考数学一轮复习讲练测(全国通用)_专题09圆锥曲线
第04讲圆锥曲线综合(练)(解析版)_2.2025数学总复习_赠品通用版(老高考)复习资料_一轮复习_2023年高考数学一轮复习讲练测(全国通用)_专题09圆锥曲线
第04讲圆锥曲线综合(练)(解析版)_2.2025数学总复习_赠品通用版(老高考)复习资料_一轮复习_2023年高考数学一轮复习讲练测(全国通用)_专题09圆锥曲线
第04讲圆锥曲线综合(练)(解析版)_2.2025数学总复习_赠品通用版(老高考)复习资料_一轮复习_2023年高考数学一轮复习讲练测(全国通用)_专题09圆锥曲线
第04讲圆锥曲线综合(练)(解析版)_2.2025数学总复习_赠品通用版(老高考)复习资料_一轮复习_2023年高考数学一轮复习讲练测(全国通用)_专题09圆锥曲线
第04讲圆锥曲线综合(练)(解析版)_2.2025数学总复习_赠品通用版(老高考)复习资料_一轮复习_2023年高考数学一轮复习讲练测(全国通用)_专题09圆锥曲线
第04讲圆锥曲线综合(练)(解析版)_2.2025数学总复习_赠品通用版(老高考)复习资料_一轮复习_2023年高考数学一轮复习讲练测(全国通用)_专题09圆锥曲线
第04讲圆锥曲线综合(练)(解析版)_2.2025数学总复习_赠品通用版(老高考)复习资料_一轮复习_2023年高考数学一轮复习讲练测(全国通用)_专题09圆锥曲线
第04讲圆锥曲线综合(练)(解析版)_2.2025数学总复习_赠品通用版(老高考)复习资料_一轮复习_2023年高考数学一轮复习讲练测(全国通用)_专题09圆锥曲线
第04讲圆锥曲线综合(练)(解析版)_2.2025数学总复习_赠品通用版(老高考)复习资料_一轮复习_2023年高考数学一轮复习讲练测(全国通用)_专题09圆锥曲线
第04讲圆锥曲线综合(练)(解析版)_2.2025数学总复习_赠品通用版(老高考)复习资料_一轮复习_2023年高考数学一轮复习讲练测(全国通用)_专题09圆锥曲线
第04讲圆锥曲线综合(练)(解析版)_2.2025数学总复习_赠品通用版(老高考)复习资料_一轮复习_2023年高考数学一轮复习讲练测(全国通用)_专题09圆锥曲线
第04讲圆锥曲线综合(练)(解析版)_2.2025数学总复习_赠品通用版(老高考)复习资料_一轮复习_2023年高考数学一轮复习讲练测(全国通用)_专题09圆锥曲线
第04讲圆锥曲线综合(练)(解析版)_2.2025数学总复习_赠品通用版(老高考)复习资料_一轮复习_2023年高考数学一轮复习讲练测(全国通用)_专题09圆锥曲线
第04讲圆锥曲线综合(练)(解析版)_2.2025数学总复习_赠品通用版(老高考)复习资料_一轮复习_2023年高考数学一轮复习讲练测(全国通用)_专题09圆锥曲线
第04讲圆锥曲线综合(练)(解析版)_2.2025数学总复习_赠品通用版(老高考)复习资料_一轮复习_2023年高考数学一轮复习讲练测(全国通用)_专题09圆锥曲线
第04讲圆锥曲线综合(练)(解析版)_2.2025数学总复习_赠品通用版(老高考)复习资料_一轮复习_2023年高考数学一轮复习讲练测(全国通用)_专题09圆锥曲线
第04讲圆锥曲线综合(练)(解析版)_2.2025数学总复习_赠品通用版(老高考)复习资料_一轮复习_2023年高考数学一轮复习讲练测(全国通用)_专题09圆锥曲线
第04讲圆锥曲线综合(练)(解析版)_2.2025数学总复习_赠品通用版(老高考)复习资料_一轮复习_2023年高考数学一轮复习讲练测(全国通用)_专题09圆锥曲线
第04讲圆锥曲线综合(练)(解析版)_2.2025数学总复习_赠品通用版(老高考)复习资料_一轮复习_2023年高考数学一轮复习讲练测(全国通用)_专题09圆锥曲线
第04讲圆锥曲线综合(练)(解析版)_2.2025数学总复习_赠品通用版(老高考)复习资料_一轮复习_2023年高考数学一轮复习讲练测(全国通用)_专题09圆锥曲线
第04讲圆锥曲线综合(练)(解析版)_2.2025数学总复习_赠品通用版(老高考)复习资料_一轮复习_2023年高考数学一轮复习讲练测(全国通用)_专题09圆锥曲线
第04讲圆锥曲线综合(练)(解析版)_2.2025数学总复习_赠品通用版(老高考)复习资料_一轮复习_2023年高考数学一轮复习讲练测(全国通用)_专题09圆锥曲线
第04讲圆锥曲线综合(练)(解析版)_2.2025数学总复习_赠品通用版(老高考)复习资料_一轮复习_2023年高考数学一轮复习讲练测(全国通用)_专题09圆锥曲线
第04讲圆锥曲线综合(练)(解析版)_2.2025数学总复习_赠品通用版(老高考)复习资料_一轮复习_2023年高考数学一轮复习讲练测(全国通用)_专题09圆锥曲线
第04讲圆锥曲线综合(练)(解析版)_2.2025数学总复习_赠品通用版(老高考)复习资料_一轮复习_2023年高考数学一轮复习讲练测(全国通用)_专题09圆锥曲线

文档信息

文档格式
docx
文档大小
2.452 MB
文档页数
40 页
上传时间
2026-03-24 09:56:30

文档内容

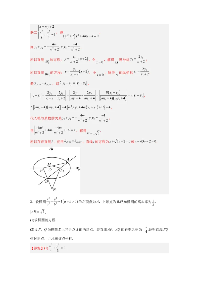
第 04 讲 圆锥曲线综合(练) 一、解答题 1.已知椭圆 为左、右焦点,直线 过 交椭圆于 两点. (1)若直线 垂直于 轴,求 ; (2)若直线 交 轴于 ,直线 交 轴于 ,是否存在直线 ,使得 ,若 存在,求出直线 的方程;若不存在,请说明理由. 【答案】(1) (2)存在,直线 的方程为 或 【分析】(1)根据题意可求得焦点坐标,进而求得直线 的方程,联立直线 和椭圆的方 程即可得到 两点的纵坐标,即可得 . (2)当直线 的斜率为0时,不能构成三角形,不满足题意舍去;当直线 的斜率不为0时, 可设直线 ,通过联立直线和椭圆方程得到 两点纵坐标 的关系,再写 出直线 的方程,以及直线 的方程,求出两直线分别与 轴交点 的纵坐标,然 后用 来表示 和 ,再根据 即可求得 的值,进而得到直线 的方 程. 【详解】(1)根据题意得, , 当 轴时,将 代入 ,解得 , 当 在 轴上方时,则 , 当 在 轴下方时, , 所以 . (2)设 , 当直线 的斜率为0时,直线 与 轴重合,此时 都在 轴上,不能构成三角形, 不满足题意,舍去; 当直线 的斜率不为0时,可设直线 , 则 , ,联立 ,得 , 则 . 所以直线 的方程: ,令 ,解得 纵坐标 ; 所以直线 的方程: ,令 ,解得 的纵坐标 . 若 ,即 , , , 代入根与系数的关系 , 得 ,解得 . 所以存在直线 ,使得 ,直线 的方程为 或 . 2.设椭圆 的左顶点为A,上顶点为B.已知椭圆的离心率为 , . (1)求椭圆的方程; (2)设P,Q为椭圆E上异于点A的两动点,若直线AP,AQ的斜率之积为 .证明直线PQ 恒过定点,并求出该点坐标. 【答案】(1)(2)证明见解析,定点 【分析】(1)由题意可得 , ,再结合 ,可求出 ,从而 可求得椭圆的方程, (2) 当直线 的斜率存在时,设直线 的方程为 ,代入椭圆方程中消去 , 利用根与系数的关系,再结合 化简可得 ,从 而可得 或 进而可求出定点,当直线 的斜率不存在时,若直线 过定点 ,求出 两点坐标,求解 即可, 【详解】(1)由于 ,① 又 ,② 由①②解得 , 椭圆的方程为 . (2)在(1)的条件下,当直线 的斜率存在时,设直线 的方程为 , 由 ,消去 得: , 设 ,则 ,. 又 ,由题知 , 则 ,且 , 则 . , 则 , 或 当 时,直线 的方程为 , 此时直线 过定点 ,显然不适合题意, 当 时,直线 的方程为 . 此时直线 过定点 .当直线 的斜率不存在时,若直线 过定点 , 点的坐标分别为 . 满足 . 综上,直线 过定点 . 3.已知椭圆 的长轴长为 , , 为 的左、右焦点,点 在 上运动,且 的最小值为 .连接 , 并延长分别交椭 圆 于 , 两点. (1)求 的方程; (2)证明: 为定值. 【答案】(1) (2)证明见解析 【分析】(1)由已知可得 ,根据焦点三角形各边长,结合余弦定理可得 ,即可得椭圆 方程; (2)设出直线 与 ,分别与椭圆联立可得点 与点 的坐标,代入面积即可得证. 【详解】(1)由题意得 , 设 , 的长分别为 , , 则 ,当且仅 当 时取等号, 从而 ,得 , ,则椭圆的标准方程为 ; (2)由(1)得 , , 设 , , 设直线 的方程为 ,直线 的方程为 , 由 ,得 , 则 , , 同理可得 , 所以 . 所以 为定值 . 4.设抛物线 的焦点为F,准线为l, ,以M为圆心的圆M与l相切于点Q,Q的纵坐标为 , 是圆M与x轴的不同于F的一个交点. (1)求抛物线C与圆M的方程; (2)过F且斜率为 的直线n与C交于A,B两点,求 ABQ的面积. △ 【答案】(1)抛物线 ,圆 (2) 【分析】(1)分别求点 的坐标,再利用圆心在线段 的垂直平分线上,求得 值, 即可求得抛物线和圆的方程; (2)直线与抛物线方程联立,求得点 的坐标,求得 ,以及点 到直线 的距离, 再求三角形的面积. 【详解】(1)由抛物线的定义知,圆M经过焦点 , ,点M的纵坐标为 ,又 ,则 ,得 , 则 , . 由题意,M是线段EF的垂直平分线上的点,所以 ,解得p=2, 故抛物线 ,圆 . (2)由题意知直线n的方程为 , 由 ,解得 或 设 , ,则 . 点 到直线 的距离 , 所以 ABQ的面积 . △ 5.已知椭圆 和双曲线 . 、 分别为 和 的离心率.(1)若 ,求 的渐近线方程; (2)若 ,过椭圆 的左焦点 作斜率为 的直线与 交于不同两点 、 ,过原点 作 的垂线,垂足为 .若点 恰好是 与 的中点,求线段 的长度. 【答案】(1) (2) 【分析】(1)根据题意可得出关于实数 的等式,求出 的值,即可得出双曲线 的渐近 线方程; (2)分析可知 ,设点 ,根据 可求出点 的坐标,进而可 得出直线 的方程,将该直线的方程与椭圆 的方程联立,求出点 的坐标,进而可求 得 . 【详解】(1)解:由已知可得 ,因为 ,解得 , 因此,双曲线 的渐近线方程为 . (2)解:当 时,椭圆 的方程为 ,其左焦点为 , 因为 且 为 的中点,则 , 设点 ,则 ,解得 ,则 , 由对称性,不妨设点 , ,则直线 的方程为 , 联立 解得 或 ,即点 , 故 . 6.已知双曲线C: ,过点 的直线l与双曲线C相交于A,B两点,O为坐 标原点. (1)判断点P能否为线段AB的中点,说明理由(2)若直线OA,OB的斜率分别记为 , ,且 ,求直线l的方程 【答案】(1)不能,理由见解析; (2) 【分析】(1)设过点 的直线为 ,联立双曲线方程得 ,由韦达定理及两点中点公式列式求解即可判断; (2) ,由(1)代入直线方程及韦达定理求解即可 【详解】(1)证明: 设过点 的直线为 , i. 时,直线与双曲线右支相切,不成立; ii. 时,联立双曲线方程得 , 直线l与双曲线C相交于A,B两点,故 ,且 , , , 若P为线段AB的中点,则 ,方程组无解,故点P不能为线段 AB的中点; (2)由(1)得, 整理得 ,即 , 即 ,得 或 (舍,此时不满足直线与曲线有两个交点) 故直线l为 7.已知椭圆 的长轴是短轴的2倍,且右焦点为 ,点B在 椭圆上,且点C为点B关于x轴的对称点.(1)求椭圆C的标准方程; (2)若点B在第一象限且 为等边三角形,求该等边三角形的边长; (3)设P为椭圆E上异于B,C的任意一点,直线 与x轴分别交于点M,N,判断 是否为定值?若是,求出定值;若不是,说明理由. 【答案】(1) ; (2) ; (3) 是定值4,理由见解析. 【分析】(1)根据题干条件得到 ,结合 ,求出 , ,得 到椭圆方程; (2)设出 点坐标,根据等边三角形得到 ,再由 ,求出 , 从而得到等边三角形的边长; (3)设出 , ,则 ,利用两点式表达出直线 的方程,求出 , ,结合 求出 是定值4. 【详解】(1)长轴是短轴的2倍,且右焦点为 , 所以 , 因为 , 所以 ,解得: , 故 , 椭圆的标准方程为: ; (2)若点B在第一象限且 为等边三角形, 设 , , 则 ,又 ,故 , 该等边三角形的边长为 ; (3) 是定值4,理由如下: 因为P为椭圆E上异于B,C的任意一点, 所以直线 的斜率存在, 设 , ,则 , , , 则 , 则直线 , 令 得: ,则 , 直线 , 令 得: ,则 , 所以 因为 , 所以 , 故 , 故 是定值,为4. 8.如图,已知 ,直线 , 为平面上的动点,过点 作 的垂线,垂足为点 , 且 .(1)求动点 的轨迹 的方程; (2)过点 的直线交轨迹 于 两点,交直线 于点 . (i)已知 , ,求 的值; (ii)求 的最小值. 【答案】(1) ; (2)(i)0;(ii)16. 【分析】(1)结合已知条件,设 ,利用直接法求轨迹方程即可. (2)(i)首先设出直线 的方程,然后联立直线 与抛物线方程,利用韦达定理以及向量的 共线关系即可求解;(ii)结合韦达定理以及距离公式表示出 ,然后利用基本不等 式即可求解. 【详解】(1)设点 ,则 ,且 , 由 得: , 即 化简得 , 故动点 的轨迹 的方程为: . (2)(i)设直线 的方程为: . 设 , ,又 , 联立 ,消去 得, , , 由韦达定理知, 由 , 得: , , 整理得: , ,故 . (ii) . 当且仅当 ,即 时等号成立,所以 的最小值为 . 一、解答题 1.如图,长轴长为4的椭圆 的左顶点为A,过原点 的直线(与 坐标轴不重合)与椭圆 交于 , 两点,直线 , 与 轴分别交于 , 两点,当 直线 的斜率为 时, . (1)求椭圆 的方程. (2)试问是否存在定点 ,使得 恒成立?若存在,求出定点 的坐标;若不存 在,说明理由. 【答案】(1) (2)存在定点 , . 【分析】(1)由题意可得 ,再利用直线 的斜率为 时, 设 ,列出方程求得 ,进而求得 ,可得答案; (2)设 ,则 ,表示出直线 , 的方程,求出 , 坐标,利用以 为直径的圆过点,进而求得答案.【详解】(1)由题意可知 ,则椭圆方程 即 , 当直线 的斜率为 时, , 故设 , ,解得 , 将 代入 得 ,即 , 故 ,所以椭圆的标准方程为 ; (2)设 ,则 , 则 , 由椭圆方程 可得 ,∴直线 方程为︰ , 令 可得 , 直线 方程为: ,令 得 , 假设存在定点 ,使得 ,则定点 必在以 为直径的圆上, 以 为直径的圆为 , 即 , ∵ ,即 ∴ , 令 ,则 ,解得 , ∴以 为直径的圆过定点 ,即存在定点 ,使得 . 2.如图,已知抛物线 : ( )的焦点为 ,双曲线 : 的斜率 大于0的渐近线为 ,过点 作直线 ,交抛物线 于A, 两点,且 .(1)求抛物线 的方程; (2)若直线 ,且与抛物线 相切于点 ,求 的值. 【答案】(1) ;(2)2. 【分析】(1)确定渐近线 的方程,设 ,写出直线 方程为 , 与抛物线方程联立消元后应用韦达定理得 ,由弦长公式可求得 得抛物线方程; (2)设切线方程为 ,与抛物线方程联立,消元后由 求得 ,从而得切线 坐标,由(1)得直线 方程为 , ,代入 可得结 论. 【详解】(1)由题意直线 的方程为 , , 因此直线 方程为 , 由 ,得 , 设 ,则 , , , , 所以抛物线方程为 ; (2)设直线 方程为 , 由 得 ,所以 , , ,从而 , 即 , 由(1)直线 方程为 , , , .3.已知椭圆 ,左右焦点为 ,离心率为 ,短轴长为 . (1)求椭圆C的标准方程; (2)若直线y=x+m(m>0)与椭圆交于P、Q两点,且OP⊥OQ,求m. (3)若点A 在椭圆上且在第一象限内, ,直线AF 与椭圆交于另外一点B,设点M在 1 椭圆上,记三角形OAB与三角形MAB的面积分别为S、S,若S=3S,求M坐标. 1 2 2 1 【答案】(1) (2) (3) 或 【分析】(1)由椭圆基本量列方程组即可; (2)直线与椭圆联立结合韦达定理求解; (3)求出点 到直线AB的距离,再设平行直线与椭圆联立即可. 【详解】(1)由题知 ,解得 所以椭圆 的标准方程 (2)设 联立 ,得 由 ,得 因为 ,所以即 所以 ,又 ,所以 (3) 由题知 ,得 由题知直线AB的斜率 又直线AB过点 ,所以直线AB的方程为 ,即 点 到直线AB的距离 因为 ,所以点 到直线AB的距离 设与直线AB平行且两直线距离为 的直线方程为 则 ,所以 或 若 ,即 ,即 联立 ,得 ,则直线与椭圆无交点,故舍去 若 ,即 ,即联立 ,得 解得 或 代入直线方程得 点的坐标为 或 4.已知椭圆 ,过动点 的直线 交 轴于点 ,交椭圆于点 , (点 在第一象限),且 是线段 的中点,过点 作 轴的垂线交椭圆于另一点 ,延长 交 椭圆于点 .点 在椭圆上. (1)求椭圆的焦距; (2)设直线 的斜率为 ,直线 的斜率为 ,证明: 为定值; (3)求直线 斜率的最小值. 【答案】(1) ; (2)证明见解析; (3) . 【分析】(1)将T点坐标代入椭圆方程,求出b后代入椭圆方程,根据椭圆方程求出焦距; (2)设 ,则直线 的斜率 ,直线 的斜率 ,进 而可证明: ; (3)联立直线 和椭圆方程,得出A点坐标,利用同构写出 点坐标,把直线 的斜率用 表示, ,再结合基本不等式求 的最小值,即可求直线 倾斜角的最小值.【详解】(1)解:由题知把 点代入椭圆方程得到 ,解得 , 所以焦距为 ; (2)由题知,设, 由 ,可得 , , 所以直线 的斜率 , 直线 的斜率 , 此时 , 所以 为定值 ; (3)由题知,设 , , , 直线 的方程为 ,由(2)知 ,所以 的斜率为 , 所以直线 的方程为 , 联立 , 整理得 . 由 ,可得 所以 . 同理 . 所以 , , 所以 ,由 , ,可知 , 所以 ,等号当且仅当 时取得, 此时 ,即 , 所以直线 的斜率的最小值为 , 所以倾斜角的最小值为 . 5.已知椭圆中有两顶点为 , ,一个焦点为 . (1)若直线 过点 且与椭圆交于 , 两点,当 时,求直线 的方程; (2)若直线 过点 且与椭圆交于 , 两点,并与 轴交于点 ,直线 与直 线 交于点 ,当点 异 , 两点时,试问 是否是定值?若是,请求出此定值, 若不是,请说明理由. 【答案】(1) ; (2)是定值,且 . 【分析】(1)由条件求出椭圆的方程,与所设直线方程联立,利用弦长公式求得直线斜率, 得到直线方程. (2)根据过 的直线l的方程可表示出点P的坐标,该直线与椭圆交于C、D两点, 直线AC与直线BD交于点Q,求出直线AC与直线BD的方程,解该方程组即可求得点Q 的坐标,代入 即可得到定值的结论. 【详解】(1)∵椭圆的焦点在 轴上,设椭圆的标准方程为 , 由已知得 , ,所以 , 椭圆的方程为 , 当直线 与 轴垂直时与题意不符, 设直线 的方程为 , , , 将直线 的方程代入椭圆的方程化简得 , 则 , ,∴ , 解得 . ∴直线 的方程为 ; (2)当 轴时, ,不符合题意, 当 与 轴不垂直时,设 : ,则 , 设 , ,联立方程组 得 , ∴ , , 又直线 : ,直线 : , 由 可得 ,即 , , , , , ,即 , 得 , ∴ 点坐标为 , ∴ , 所以 为定值. 6.已知双曲线 的右焦点 到渐近线的距离为 . (1)求双曲线 的方程.(2)过点 的直线与双曲线 的右支交于 两点,在 轴上是否存在点 ,使得点 到直 线 的距离相等? 若存在,求出点 的坐标; 若不存在,请说明理由. 【答案】(1) (2)存在 . 【分析】(1)利用点线距离公式及 即可求得 ,从而求得双曲线 的方 程; (2)假设存在点 ,据题意设 ,联立方程得到 , , 再由点 到直线 的距离相等可得 ,由此代入式子即可求得 ,故存在 . 【详解】(1)由题意得, ,故 , 又因为双曲线 的渐近线为 ,故 是双曲线C的一条渐近线, 所以右焦点 到渐近线的距离为 ,解得 , 所以 , , 所以双曲线C的标准方程为 . (2)假设存在 ,设 , , 由题意知,直线斜率不为0,设直线 , 联立 ,消去 ,得 , 则 , , 且 , , 因为使得点F到直线PA,PB的距离相等,所以PF是 的角平分线, 则 ,即 ,则 , 整理得 ,故 , 即 ,因为 ,所以 , 故存在 .7.已知椭圆 的一个焦点为 ,点 在椭圆上. (1)求椭圆的方程; (2)若 是椭圆上异于点 的两动点,当 的角平分线垂直于椭圆长轴时,试问直线 的斜率是否为定值?若是,请求出该定值;若不是,请说明理由. 【答案】(1) (2)是定值,定值为 【分析】(1)根据已知条件求得 ,从而求得椭圆的方程. (2)根据直线 、直线 的方程求得 两点的坐标,从而计算出直线 的斜率为定 值. (1) 依题意得 ,解得 , 所以椭圆方程为 . (2) 依题意可知直线 和直线 的斜率存在且互为相反数, 设直线 的斜率为 ,则直线 的斜率为 , 直线 的方程为 , 由 消去 并化简得 , , 则 ,根据直线 、直线 的对称性可知 . 设 ,则 , ,则 , 故 ,以 替换 ,得 , 所以 , 所以直线 的斜率为定值 . 8.已知双曲线 的左焦点坐标为 ,直线 与双 曲线 交于 两点,线段 中点为 . (1)求双曲线 的方程; (2)经过点 与 轴不重合的直线 与双曲线 交于两个不同点 ,点 ,直 线 与双曲线 分别交于另一点 . ①若直线 与直线 的斜率都存在,并分别设为 .是否存在实常数 ,使得 ? 若存在,求出 的值;若不存在,请说明理由. ②证明:直线 恒过定点. 【答案】(1) (2)①存在, ;②证明见解析 【分析】(1)由点差法可得 ,结合 及 ,可求得结果. (2)①又直线 与双曲线 相交可求得 ,再设 ,联立结 合韦达定理可求得 的坐标,进而得 ,代入可求解. ②由①知 ,由对称性知 过的定点 在 轴上,计算 可得解. (1) 由题意知 ,直线 的斜率为 ,设 , 由题意 ,两式相减得: ,整理得: ,即 , 又 ,所以 ,即双曲线 , 经检验满足题意. (2) ①因为 的斜率 存在且 ,设 , , 联立 ,消去 整理得: , 由题意得 ,解得 又 ,设直线 , 联立 ,整理得 , 由韦达定理得 , 又 , , 于是 , 故 ,同理可得 , , ,为定值 ,所以 的值 ②由①知 (*), 由对称性知 过的定点 在 轴上,在(*) 令 ,得 , 解得 直线 恒过定点 一、解答题 1.(2022·全国·高考真题)已知双曲线 的右焦点为 ,渐近线 方程为 . (1)求C的方程; (2)过F的直线与C的两条渐近线分别交于A,B两点,点 在C上,且 .过P且斜率为 的直线与过Q且斜率为 的直线交于点M.从下面 ①②③中选取两个作为条件,证明另外一个成立: ①M在 上;② ;③ . 注:若选择不同的组合分别解答,则按第一个解答计分. 【答案】(1) (2)见解析 【分析】(1)利用焦点坐标求得 的值,利用渐近线方程求得 的关系,进而利用 的平方关系求得 的值,得到双曲线的方程; (2)先分析得到直线 的斜率存在且不为零,设直线AB的斜率为k, M(x,y),由③|AM|=| 0 0 BM|等价分析得到 ;由直线 和 的斜率得到直线方程,结合双曲线的 方程,两点间距离公式得到直线PQ的斜率 ,由② 等价转化为 , 由① 在直线 上等价于 ,然后选择两个作为已知条件一个作为结论,进行证明即可. (1) 右焦点为 ,∴ ,∵渐近线方程为 ,∴ ,∴ ,∴ ,∴ ,∴ . ∴C的方程为: ; (2) 由已知得直线 的斜率存在且不为零,直线 的斜率不为零, 若选由①②推③或选由②③推①:由②成立可知直线 的斜率存在且不为零; 若选①③推②,则 为线段 的中点,假若直线 的斜率不存在,则由双曲线的对称 性可知 在 轴上,即为焦点 ,此时由对称性可知 、 关于 轴对称,与从而 , 已知不符; 总之,直线 的斜率存在且不为零. 设直线 的斜率为 ,直线 方程为 , 则条件① 在 上,等价于 ; 两渐近线的方程合并为 , 联立消去y并化简整理得: 设 ,线段中点为 ,则 , 设 , 则条件③ 等价于 , 移项并利用平方差公式整理得: , ,即 , 即 ; 由题意知直线 的斜率为 , 直线 的斜率为 , ∴由 , ∴ ,所以直线 的斜率 , 直线 ,即 , 代入双曲线的方程 ,即 中, 得: , 解得 的横坐标: , 同理: , ∴ ∴ , ∴条件② 等价于 , 综上所述: 条件① 在 上,等价于 ; 条件② 等价于 ; 条件③ 等价于 ; 选①②推③: 由①②解得: ,∴③成立; 选①③推②: 由①③解得: , , ∴ ,∴②成立; 选②③推①: 由②③解得: , ,∴ , ∴ ,∴①成立. 2.(2022·全国·高考真题(理))设抛物线 的焦点为F,点 , 过F的直线交C于M,N两点.当直线MD垂直于x轴时, .(1)求C的方程; (2)设直线 与C的另一个交点分别为A,B,记直线 的倾斜角分别为 . 当 取得最大值时,求直线AB的方程. 【答案】(1) ; (2) . 【分析】(1)由抛物线的定义可得 ,即可得解; (2)法一:设点的坐标及直线 ,由韦达定理及斜率公式可得 , 再由差角的正切公式及基本不等式可得 ,设直线 ,结合韦达定理 可解. (1) 抛物线的准线为 ,当 与x轴垂直时,点M的横坐标为p, 此时 ,所以 , 所以抛物线C的方程为 ; (2) [方法一]:【最优解】直线方程横截式 设 ,直线 , 由 可得 , , 由斜率公式可得 , , 直线 ,代入抛物线方程可得 , ,所以 ,同理可得 , 所以 又因为直线MN、AB的倾斜角分别为 ,所以 , 若要使 最大,则 ,设 ,则, 当且仅当 即 时,等号成立, 所以当 最大时, ,设直线 , 代入抛物线方程可得 , ,所以 , 所以直线 . [方法二]:直线方程点斜式 由题可知,直线MN的斜率存在. 设 ,直线 由 得: , ,同理, . 直线MD: ,代入抛物线方程可得: ,同理, . 代入抛物线方程可得: ,所以 ,同理可得 , 由斜率公式可得: (下同方法一)若要使 最大,则 , 设 ,则 , 当且仅当 即 时,等号成立, 所以当 最大时, ,设直线 , 代入抛物线方程可得 , ,所以 ,所以 直线 . [方法三]:三点共线 设 ,设 ,若 P、M、N三点共线,由 所以 ,化简得 , 反之,若 ,可得MN过定点 因此,由M、N、F三点共线,得 , 由M、D、A三点共线,得 , 由N、D、B三点共线,得 , 则 ,AB过定点(4,0) (下同方法一)若要使 最大,则 , 设 ,则 , 当且仅当 即 时,等号成立, 所以当 最大时, ,所以直线 . 3.(2022·全国·高考真题(文))已知椭圆E的中心为坐标原点,对称轴为x轴、y轴, 且过 两点. (1)求E的方程; (2)设过点 的直线交E于M,N两点,过M且平行于x轴的直线与线段AB交于点 T,点H满足 .证明:直线HN过定点. 【答案】(1) (2) 【分析】(1)将给定点代入设出的方程求解即可; (2)设出直线方程,与椭圆C的方程联立,分情况讨论斜率是否存在,即可得解. (1) 解:设椭圆E的方程为 ,过 ,则 ,解得 , , 所以椭圆E的方程为: . (2) ,所以 , ①若过点 的直线斜率不存在,直线 .代入 , 可得 , ,代入AB方程 ,可得 ,由 得到 .求得HN方程: ,过点 . ②若过点 的直线斜率存在,设 . 联立 得 , 可得 , , 且 联立 可得 可求得此时 , 将 ,代入整理得 , 将 代入,得 显然成立, 综上,可得直线HN过定点 4.(2022·北京·高考真题)已知椭圆: 的一个顶点为 ,焦距为 . (1)求椭圆E的方程; (2)过点 作斜率为k的直线与椭圆E交于不同的两点B,C,直线AB,AC分别与x轴 交于点M,N,当 时,求k的值. 【答案】(1) (2) 【分析】(1)依题意可得 ,即可求出 ,从而求出椭圆方程; (2)首先表示出直线方程,设 、 ,联立直线与椭圆方程,消元列出韦达 定理,由直线 、 的方程,表示出 、 ,根据 得到方程,解得即 可; (1) 解:依题意可得 , ,又 , 所以 ,所以椭圆方程为 ; (2) 解:依题意过点 的直线为 ,设 、 ,不妨令 , 由 ,消去 整理得 , 所以 ,解得 , 所以 , , 直线 的方程为 ,令 ,解得 , 直线 的方程为 ,令 ,解得 , 所以, 所以 , 即 即 即 整理得 ,解得 5.(2022·全国·高考真题)已知点 在双曲线 上,直线l交C于 P,Q两点,直线 的斜率之和为0. (1)求l的斜率; (2)若 ,求 的面积. 【答案】(1) ; (2) . 【分析】(1)由点 在双曲线上可求出 ,易知直线l的斜率存在,设 , ,再根据 ,即可解出l的斜率; (2)根据直线 的斜率之和为0可知直线 的倾斜角互补,根据 即可求出直线 的斜率,再分别联立直线 与双曲线方程求出 点 的坐标,即可得到直线 的方程以及 的长,由点到直线的距离公式求出点A到 直线 的距离,即可得出 的面积. (1) 因为点 在双曲线 上,所以 ,解得 ,即双曲 线 . 易知直线l的斜率存在,设 , ,联立 可得, , 所以, , 且 . 所以由 可得, , 即 , 即 , 所以 , 化简得, ,即 , 所以 或 , 当 时,直线 过点 ,与题意不符,舍去, 故 . (2) [方法一]:【最优解】常规转化 不妨设直线 的倾斜角为 ,因为 ,所以 ,由 (1)知, , 当 均在双曲线左支时, ,所以 , 即 ,解得 (负值舍去) 此时PA与双曲线的渐近线平行,与双曲线左支无交点,舍去; 当 均在双曲线右支时, 因为 ,所以 ,即 , 即 ,解得 (负值舍去), 于是,直线 ,直线 , 联立 可得, ,因为方程有一个根为 ,所以 , , 同理可得, , . 所以 , ,点 到直线 的距离 , 故 的面积为 . [方法二]: 设直线AP的倾斜角为 , ,由 ,得 , 由 ,得 ,即 , 联立 ,及 得 , , 同理, , ,故 , 而 , , 由 ,得 , 故 6.(2020·山东·高考真题)已知抛物线的顶点在坐标原点 ,椭圆 的顶点分别 为 , , , ,其中点 为抛物线的焦点,如图所示. (1)求抛物线的标准方程; (2)若过点 的直线 与抛物线交于 , 两点,且 ,求直线 的方程. 【答案】(1) ;(2) . 【分析】(1)根据抛物线的焦点,求抛物线方程;(2)首先设出直线 的方程为,与抛物线方程联立,并利用韦达定理表示 ,并利用 ,求直线的斜率,验证后,即可得到直线方程. 【详解】解:(1)由椭圆 可知 , , 所以 , ,则 , 因为抛物线的焦点为 ,可设抛物线方程为 , 所以 ,即 . 所以抛物线的标准方程为 . (2)由椭圆 可知 , , 若直线 无斜率,则其方程为 ,经检验,不符合要求. 所以直线 的斜率存在,设为 ,直线 过点 , 则直线 的方程为 , 设点 , , 联立方程组 , 消去 ,得 .① 因为直线 与抛物线有两个交点, 所以 ,即 , 解得 ,且 . 由①可知 , 所以 ,则 , 因为 ,且 , 所以 , 解得 或 , 因为 ,且 , 所以 不符合题意,舍去, 所以直线 的方程为 , 即 . 7.(2022·天津·高考真题)椭圆 的右焦点为F、右顶点为A,上顶点 为B,且满足 . (1)求椭圆的离心率 ; (2)直线l与椭圆有唯一公共点M,与y轴相交于N(N异于M).记O为坐标原点,若 ,且 的面积为 ,求椭圆的标准方程. 【答案】(1) (2) 【分析】(1)根据已知条件可得出关于 、 的等量关系,由此可求得该椭圆的离心率的 值; (2)由(1)可知椭圆的方程为 ,设直线 的方程为 ,将直线 的方 程与椭圆方程联立,由 可得出 ,求出点 的坐标,利用三角形的面 积公式以及已知条件可求得 的值,即可得出椭圆的方程. (1) 解: , 离心率为 . (2) 解:由(1)可知椭圆的方程为 ,易知直线 的斜率存在,设直线 的方程为 , 联立 得 , 由 ,① , , 由 可得 ,② 由 可得 ,③ 联立①②③可得 , , ,故椭圆的标准方程为 . 8.(2022·浙江·高考真题)如图,已知椭圆 .设A,B是椭圆上异于 的两 点,且点 在线段 上,直线 分别交直线 于C,D两点. (1)求点P到椭圆上点的距离的最大值; (2)求 的最小值. 【答案】(1) ; (2) . 【分析】(1)设 是椭圆上任意一点,再根据两点间的距离公式求出 ,再根据二次函数的性质即可求出; (2)设直线 与椭圆方程联立可得 ,再将直线 方程与 的方程分别联立,可解得点 的坐标,再根据两点间的距离公式求出 , 最后代入化简可得 ,由柯西不等式即可求出最小值. (1) 设 是椭圆上任意一点, , ,当且仅当 时取等号,故 的最大值是 . (2) 设直线 ,直线 方程与椭圆 联立,可得 , 设 ,所以 , 因为直线 与直线 交于 , 则 ,同理可得, .则 , 当且仅当 时取等号,故 的最小值为 .