当前位置:首页>文档>专题3-5平行四边形(考题猜想,特殊平行四边形的性质和判定综合应用的四种类型)解析版_初中数学人教版_八年级数学下册_保存转存之后查看(1)_旧版-可参考_06习题试卷

专题3-5平行四边形(考题猜想,特殊平行四边形的性质和判定综合应用的四种类型)解析版_初中数学人教版_八年级数学下册_保存转存之后查看(1)_旧版-可参考_06习题试卷

  • 2026-04-24 23:36:18 2026-03-27 23:02:35

文档预览

专题3-5平行四边形(考题猜想,特殊平行四边形的性质和判定综合应用的四种类型)解析版_初中数学人教版_八年级数学下册_保存转存之后查看(1)_旧版-可参考_06习题试卷
专题3-5平行四边形(考题猜想,特殊平行四边形的性质和判定综合应用的四种类型)解析版_初中数学人教版_八年级数学下册_保存转存之后查看(1)_旧版-可参考_06习题试卷
专题3-5平行四边形(考题猜想,特殊平行四边形的性质和判定综合应用的四种类型)解析版_初中数学人教版_八年级数学下册_保存转存之后查看(1)_旧版-可参考_06习题试卷
专题3-5平行四边形(考题猜想,特殊平行四边形的性质和判定综合应用的四种类型)解析版_初中数学人教版_八年级数学下册_保存转存之后查看(1)_旧版-可参考_06习题试卷
专题3-5平行四边形(考题猜想,特殊平行四边形的性质和判定综合应用的四种类型)解析版_初中数学人教版_八年级数学下册_保存转存之后查看(1)_旧版-可参考_06习题试卷
专题3-5平行四边形(考题猜想,特殊平行四边形的性质和判定综合应用的四种类型)解析版_初中数学人教版_八年级数学下册_保存转存之后查看(1)_旧版-可参考_06习题试卷
专题3-5平行四边形(考题猜想,特殊平行四边形的性质和判定综合应用的四种类型)解析版_初中数学人教版_八年级数学下册_保存转存之后查看(1)_旧版-可参考_06习题试卷
专题3-5平行四边形(考题猜想,特殊平行四边形的性质和判定综合应用的四种类型)解析版_初中数学人教版_八年级数学下册_保存转存之后查看(1)_旧版-可参考_06习题试卷
专题3-5平行四边形(考题猜想,特殊平行四边形的性质和判定综合应用的四种类型)解析版_初中数学人教版_八年级数学下册_保存转存之后查看(1)_旧版-可参考_06习题试卷
专题3-5平行四边形(考题猜想,特殊平行四边形的性质和判定综合应用的四种类型)解析版_初中数学人教版_八年级数学下册_保存转存之后查看(1)_旧版-可参考_06习题试卷
专题3-5平行四边形(考题猜想,特殊平行四边形的性质和判定综合应用的四种类型)解析版_初中数学人教版_八年级数学下册_保存转存之后查看(1)_旧版-可参考_06习题试卷
专题3-5平行四边形(考题猜想,特殊平行四边形的性质和判定综合应用的四种类型)解析版_初中数学人教版_八年级数学下册_保存转存之后查看(1)_旧版-可参考_06习题试卷
专题3-5平行四边形(考题猜想,特殊平行四边形的性质和判定综合应用的四种类型)解析版_初中数学人教版_八年级数学下册_保存转存之后查看(1)_旧版-可参考_06习题试卷
专题3-5平行四边形(考题猜想,特殊平行四边形的性质和判定综合应用的四种类型)解析版_初中数学人教版_八年级数学下册_保存转存之后查看(1)_旧版-可参考_06习题试卷
专题3-5平行四边形(考题猜想,特殊平行四边形的性质和判定综合应用的四种类型)解析版_初中数学人教版_八年级数学下册_保存转存之后查看(1)_旧版-可参考_06习题试卷
专题3-5平行四边形(考题猜想,特殊平行四边形的性质和判定综合应用的四种类型)解析版_初中数学人教版_八年级数学下册_保存转存之后查看(1)_旧版-可参考_06习题试卷
专题3-5平行四边形(考题猜想,特殊平行四边形的性质和判定综合应用的四种类型)解析版_初中数学人教版_八年级数学下册_保存转存之后查看(1)_旧版-可参考_06习题试卷
专题3-5平行四边形(考题猜想,特殊平行四边形的性质和判定综合应用的四种类型)解析版_初中数学人教版_八年级数学下册_保存转存之后查看(1)_旧版-可参考_06习题试卷
专题3-5平行四边形(考题猜想,特殊平行四边形的性质和判定综合应用的四种类型)解析版_初中数学人教版_八年级数学下册_保存转存之后查看(1)_旧版-可参考_06习题试卷
专题3-5平行四边形(考题猜想,特殊平行四边形的性质和判定综合应用的四种类型)解析版_初中数学人教版_八年级数学下册_保存转存之后查看(1)_旧版-可参考_06习题试卷
专题3-5平行四边形(考题猜想,特殊平行四边形的性质和判定综合应用的四种类型)解析版_初中数学人教版_八年级数学下册_保存转存之后查看(1)_旧版-可参考_06习题试卷
专题3-5平行四边形(考题猜想,特殊平行四边形的性质和判定综合应用的四种类型)解析版_初中数学人教版_八年级数学下册_保存转存之后查看(1)_旧版-可参考_06习题试卷
专题3-5平行四边形(考题猜想,特殊平行四边形的性质和判定综合应用的四种类型)解析版_初中数学人教版_八年级数学下册_保存转存之后查看(1)_旧版-可参考_06习题试卷
专题3-5平行四边形(考题猜想,特殊平行四边形的性质和判定综合应用的四种类型)解析版_初中数学人教版_八年级数学下册_保存转存之后查看(1)_旧版-可参考_06习题试卷
专题3-5平行四边形(考题猜想,特殊平行四边形的性质和判定综合应用的四种类型)解析版_初中数学人教版_八年级数学下册_保存转存之后查看(1)_旧版-可参考_06习题试卷
专题3-5平行四边形(考题猜想,特殊平行四边形的性质和判定综合应用的四种类型)解析版_初中数学人教版_八年级数学下册_保存转存之后查看(1)_旧版-可参考_06习题试卷
专题3-5平行四边形(考题猜想,特殊平行四边形的性质和判定综合应用的四种类型)解析版_初中数学人教版_八年级数学下册_保存转存之后查看(1)_旧版-可参考_06习题试卷
专题3-5平行四边形(考题猜想,特殊平行四边形的性质和判定综合应用的四种类型)解析版_初中数学人教版_八年级数学下册_保存转存之后查看(1)_旧版-可参考_06习题试卷
专题3-5平行四边形(考题猜想,特殊平行四边形的性质和判定综合应用的四种类型)解析版_初中数学人教版_八年级数学下册_保存转存之后查看(1)_旧版-可参考_06习题试卷
专题3-5平行四边形(考题猜想,特殊平行四边形的性质和判定综合应用的四种类型)解析版_初中数学人教版_八年级数学下册_保存转存之后查看(1)_旧版-可参考_06习题试卷
专题3-5平行四边形(考题猜想,特殊平行四边形的性质和判定综合应用的四种类型)解析版_初中数学人教版_八年级数学下册_保存转存之后查看(1)_旧版-可参考_06习题试卷
专题3-5平行四边形(考题猜想,特殊平行四边形的性质和判定综合应用的四种类型)解析版_初中数学人教版_八年级数学下册_保存转存之后查看(1)_旧版-可参考_06习题试卷
专题3-5平行四边形(考题猜想,特殊平行四边形的性质和判定综合应用的四种类型)解析版_初中数学人教版_八年级数学下册_保存转存之后查看(1)_旧版-可参考_06习题试卷
专题3-5平行四边形(考题猜想,特殊平行四边形的性质和判定综合应用的四种类型)解析版_初中数学人教版_八年级数学下册_保存转存之后查看(1)_旧版-可参考_06习题试卷

文档信息

文档格式
docx
文档大小
2.607 MB
文档页数
30 页
上传时间
2026-03-27 23:02:35

文档内容

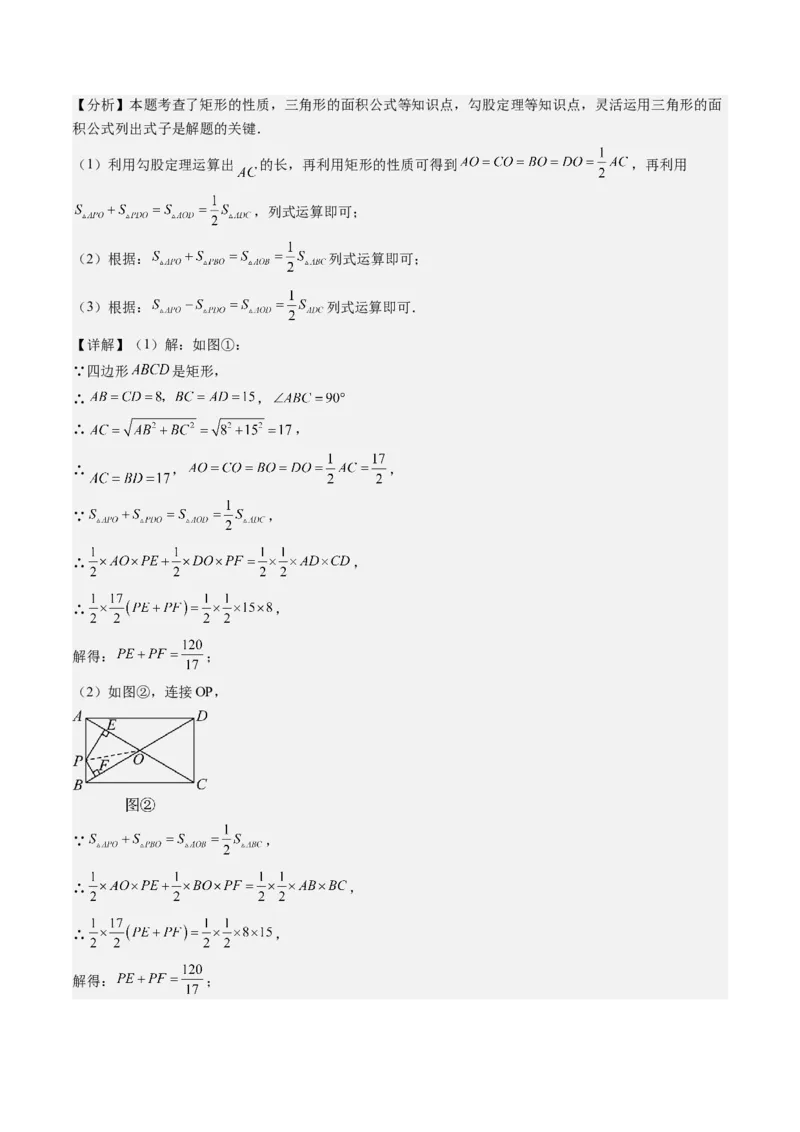
专题 3-5 平行四边形(考题猜想,特殊平行四边形的性质和判 定综合应用的四种类型) 类型1:利用矩形的性质巧求折叠中线段的和 【例题1】(22-23八年级下·黑龙江齐齐哈尔·期末)如图,在矩形 中, ,动点 满 足 ,则点P到 两点距离之和 的最小值为( ) A. B. C. D. 【答案】D 【分析】过P点作 ,交 于M,交 于N,作A点关于 的对称点 ,连接 交 于点 P, 即为所求,由面积关系可得 ,在 中求出 即可. 【详解】解:过P点作 ,交 于M,交 于N,作A点关于 的对称点 ,连接 交 于点P, ∴ ,此时 的值最小,∵ , ∴ , ∴ , ∵ , ∴ , ∴ , ∵ , 在 中, . 故选:D. 【点睛】本题考查了轴对称-最短路线问题,凡是涉及最短距离的问题,一般要考虑线段的性质定理,结合 轴对称变换来解决,多数情况要作点关于某直线的对称点 【变式1】(22-23八年级下·内蒙古呼和浩特·期末)如图,四边形 是矩形纸片, ,对折矩形 纸片 ,使 与 重合,折痕为 ,展平后再过点 折叠矩形纸片,使点 落在 上的点 处, 折痕为 ;再次展平,连接 , .则 ,若 为线段 上一动点, 是 的中点,则 的最小值是 . 【答案】 /60度 【分析】首先根据 垂直平分 ,可得 ;然后根据折叠的性质,可得 ,据此判断出 为等边三角形,根据等边三角形的性质得到 ;点 是 的中点,根据折叠可知 点和 点关于 对称可得 ,因此 与 重合时, ,据此求出 的最 小值即可. 【详解】解:如图,连接 ,设 与 的交点为点 , 对折矩形纸片 ,使 与 重合,折痕为 , 垂直平分 , ,折叠矩形纸片,使点 落在 上的点 , , , 为等边三角形, , 点 是 的中点,点 是 的中点, 由折叠可知: 点和 点关于 对称, , 与 重合时, 有最小值,此时 , , , 故答案为: , . 【点睛】本题考查了几何变换综合问题,折叠的性质、等边三角形的判定和性质、直角三角形的性质、矩 形的性质、轴对称最短问题,熟练掌握折叠的性质是解题的关键 【变式2】(22-23八年级上·贵州黔东南·期末)如图,在长方形 中,对角线 , , 将长方形 沿对角线 折叠,点 落在点 处,点 是线段 上一点,则 的最小值是 【答案】 【分析】本题主要考查了矩形的性质,翻折的性质,含 角的直角三角形的性质,通过作辅助线将 的最小值转化为 的长是解题的关键.作 于 ,由 ,得 , 即 、 、 三点共线时, 最小值为 ,然后通过含 角的直角三角形的性质求出 的长 即可. 【详解】解:如图,作 于 ,四边形 是矩形, , , , , , , , 即 、 、 三点共线时, 最小值为 , 将长方形 沿对角线 折叠,得 , , , , , 的最小值为 , 故答案为: 【变式3】(22-23八年级下·湖北咸宁·期中)如图,对折矩形纸片 ,使 与 重合,得到折痕 ,将纸片展平,再一次折叠,使点 落到 上的点 处,折痕为 ;延长 交 于点 . (1)求证: 为等边三角形; (2) 为线段 上一动点, 为 的中点,连接 , .若 ( ),则 的最小 值是__________. 【答案】(1)见解析 (2)【分析】( )由折叠的性质得到 、 分别为 、 的中点,利用平行线分线段成比例得到 为 的中点,再由折叠的性质得到 垂直于 ,证明 ,得到对应边相等,利用三线合一得到 ,由折叠的性质及等量代换得到 为 ,根据 且有一个角为 即可得证. (2)根据 ,可得当 三点共线时, 取得最小值,最小值为 的 长,然后勾股定理即可求解. 【详解】(1)证明:由折叠可得: 、 分别为 、 的中点, , 为 的中点,即 , 由折叠可得: , , 在 和 中, , , , , , , , ,即 , 为等边三角形. (2)解:如图所示,连接 , ∵折叠, ∴ , ∴ , ∴当 三点共线时, 取得最小值,最小值为 的长, 由(1)可得 , 又 , ∴ 是等边三角形, ∵ , 为 的中点,∴ , , 在 中, . 故答案为: . 【点睛】本题考查了翻折变换(折叠问题),全等三角形的判定与性质,等边三角形的判定,轴对称的性 质,以及矩形的性质,熟练掌握相关的性质与定理是解本题的关键 类型2:特殊平行四边形中的操作型问题 【例题2】(22-23八年级下·湖南邵阳·期末)已知,如图是由八个全等的直角三角形拼接而成的图形.记 图中正方形 、正方形 、正方形 的面积分别为 , , ,若正方形 的边长为 ,则 的值为( ) A. B. C. D. 【答案】C 【分析】设八个全等的直角三角形每个的面积为: ,则 , ,即可. 【详解】解:设八个全等的直角三角形每个的面积为: , ∴ , , ∴ , ∵正方形 的边长为 , ∴ , ∴ . 故选:C. 【点睛】本题考查正方形的知识,解题的关键是结合图形,找到三个正方形的面积关系,进行解答 【变式1】(22-23八年级下·浙江温州·阶段练习)图1是邻边长为16和25的矩形,把它分割成①,②, ③,④四块后,拼接成不重叠、无缝隙的正方形 (如图2),则图2中 的长为 ,四边形 的面积为 .【答案】 15 154 【分析】根据题意得: , , , , ,根据 矩形的面积等于正方形的面积可得 ,在 中,根据勾股定理可求出 ;连接 , 在 和 中,求出 的长,然后根据四边形 的面积为 ,即可求解. 【详解】解:根据题意得: , , , , , ∵ , ∴ (负值舍去), 在 中, , ∴ ; 连接 ,如图, ∵ , , ∴ , 在 中, , 在 中, , ∴四边形 的面积为 . 故答案为:15;154 【点睛】本题主要考查了勾股定理,正方形和矩形的性质,根据题意得到 是解题的关键 【变式2】(21-22八年级下·山东潍坊·期中)如图①,美丽的弦图,蕴含着四个全等的直角三角形.(1)弦图中包含了一大,一小两个正方形,已知每个直角三角形较长的直角边为a,较短的直角边为b,斜 边长为c,结合图①,试验证勾股定理. (2)如图②,将这四个直角三角形紧密地拼接,形成飞镖状,已知外围轮廓(粗线)的周长为24, ,求该飞镖状图案的面积. (3)如图③,将八个全等的直角三角形紧密地拼接,记图中正方形ABCD,正方形EFGH,正方形MNKT的 面积分别为 ,若 ,求 . 【答案】(1)见解析 (2)24 (3) 【分析】(1)根据小正方形面积等于大正方形面积减去四个直角三角形面积列等式,或者用大正方形面 积等于小正方形面积加上四个直角三角形面积列出等式; (2)设 ,则三角形三边长分别为3、3+x、6-x,根据勾股定理列出等式求出x,再用总面积等于四 个三角形面积计算即可; (3)设四边形MTKN的面积设为x,一个三角形的面积设为y,则正方形ABCD面积为8x+y,根据 进行计算可得 ,即为 的值. 【详解】(1)法一: , 另一方面, , 即 ,则 . 法二: 另一方面, ∴ 整理得: (2) ,设 ,依题意有 解得 . 故该飞镖状图案的面积是24. (3)将四边形MTKN的面积设为x,将其余八个全等的三角形一个的面积设为y, ∵正方形ABCD,正方形EFGH,正方形MNKT的面积分别为 ,且 , ∴ , ∴ , ∴ , ∴ . 【点睛】本题考查了三角形和正方形面积的应用,熟练掌握三角形和面积的计算方法是解题关键 【变式3】(22-23八年级下·山东临沂·期末)综合与实践 问题:给你两个大小不等的正方形,你能通过切割把他们拼接成一个大正方形吗? 下面是某研究小组的研究过程: (1)首先研究两个一样大小的正方形 把两个边长相等的正方形 和正方形 ,按图1所示的方式摆放,沿虚线 、 剪开后,可 按图1所示的移动方式拼接成四边形形 ,则四边形形 是正方形,请说明理由; (2)研究大小不等的两个正方形 把边长不等的两个正方形 和正方形 ,按图2所示的方式摆放,连接 ,过点D作 ,交 于点M,过点M作 ,过点E作 , 与 相交于点N. ①证明四边形 是正方形; ②在图2中,将正方形 和正方形 沿虚线剪开后,能够拼接为正方形 ,请简略说明你的 拼接方法(类比图1,用数字表示对应的图形). 【答案】(1)理由见解析(2)①证明见解析;②见解析 【分析】(1)设边长为 ,可求 , ,即可求解; (2)①可证四边形 是矩形,再证 ,可得 ,即可求解;②沿着 、 、 虚线剪开,得到如图所标注的 部分,按要求摆放即可求解. 【详解】(1)证明: 四边形 和四边形 是正方形,且边长相等, , , 设边长为 ,则 , , 同理可求: , ∴四边形 是正方形. (2)①证明: , , , , ∴四边形 是矩形, 四边形 是正方形, , , , , , 在 和 中 , (ASA), . ∴四边形 是正方形. ②解:如图,沿着 、 、 虚线剪开, 得到如图所标注的 部分,摆放拼成如下图:【点睛】本题主要考查了正方形的判定及性质,矩形的判定,三角形全等的判定及性质,勾股定理等,掌 握相关的判定方法及性质是解题的关键 类型3:特殊平行四边形中的探究型问题 【例题3】(23-24八年级下·重庆沙坪坝·阶段练习)如图,在平面直角坐标系中, 点O、 、 、 、 、 、 ……, 都是平行四边形的顶点,点 、 、 在 轴正半轴上, , , , , , , ,平行四边形按照此规律依次排列,则第 个 平行四边形的对称中心的坐标是( ) A. B. C. D. 【答案】D 【分析】本题考查了平行四边形的性质,勾股定理,点的坐标规律,先求出前几个点的坐标,找到规律第 个平行四边形的对称中心坐标为 ,即可求解. 【详解】解:如图所示,连接 轴于点 , ∵ , ∴ 又∵∴ 重合, ∴ 则 的中点即为所第1个平行四边形的对称中心,其坐标为 ; 同理可得 , , ,则 的中点坐标即第2个平行四边形的对 称中心坐标为 同理可得第3个平行四边形的对称中心坐标为 即 …… 同理可得第 个平行四边形的对称中心坐标为 ∴第 个平行四边形的对称中心的坐标是 即 为 故选:D. 【变式1】(23-24八年级下·广东广州·期中)如图:顺次连接矩形A B C D 四边的中点得到四边形 1 1 1 1 ,再顺次连接四边形 四边的中点得四边形 ,…,按此规律得到四边形 . 若矩形A B C D 的面积为24,那么四边形 的面积为( ) 1 1 1 1 A. B. C. D. 【答案】B 【分析】本题是几何规律探究题,根据已知条件求得四边形 的面积 矩形 的面积是解 A B C D 1 1 1 1 决问题的关键. 根据已知条件可得四边形 的面积 矩形A B C D 的面积;四边形 的面积 四边形 1 1 1 1 的面积= 矩形 的面积;由此可得四边形 的面积 矩形 的面积. A B C D A B C D 1 1 1 1 1 1 1 1 根据所得规律求解即可. 【详解】解:∵四边形A B C D 是矩形, 1 1 1 1 ∴ ;又∵各边中点是 , ∴四边形 的面积 矩形 的面积, A B C D 1 1 1 1 即四边形 的面积 矩形A B C D 的面积; 1 1 1 1 同理,四边形 的面积 四边形 的面积= 矩形 的面积; A B C D 1 1 1 1 以此类推,四边形 的面积 矩形 的面积. A B C D 1 1 1 1 A B C D 又∵矩形 的面积为24, 1 1 1 1 ∴四边形 的面积为 . 故选:B. 【变式2】(22-23八年级下·四川泸州·期末)同学们还记得教科书中的这个问题吗?如图(1),四边形 是正方形,点 是边 的中点, ,且 交正方形外角 的平分线 于点 .求 证: .书中的提示是:取 的中点G,连接 ,这样易证 后得到 . 在此基础上,请同学们探究以下问题: (1)如图(2),点E是边 上(除点B,C外)的任意一点,其它条件不变, 的结论还成立吗? 如果成立,写出证明过程;如果不成立,请说明理由; (2)如图(3),点E是 的延长线上(除点C外)的任意一点,其他条件不变, 的结论仍然成立 吗?如果成立,写出证明过程;如果不成立,请说明理由; 【答案】(1) 的结论还成立,理由见解析 (2) 的结论仍然成立,理由见解析 【分析】本题考查了正方形的性质、全等三角形的判定和性质等知识,解题的关键是学会添加常用辅助线, 构造全等三角形解决问题. (1)如图,在 上取一点 ,使 ,连接 ,利用 判定 ,从而得到 ; (2)延长 到 ,使 ,根据已知及正方形的性质利用 判定 ,从而得到 . 【详解】(1)解: 的结论还成立,理由如下. 如图,在 上取一点 ,使 ,连接 ,, , , 是正方形外角 的平分线, , , , , , , ∴ , ; (2)解: 的结论还成立,理由如下. 理由如下:如图,延长 到 ,使 , , . , , . , , 即 . , . 在 与 中, , , 【变式3】(22-23八年级下·江苏宿迁·阶段练习)在菱形 中, , 是对角线 上一动点,以 为边向右侧作等边 ( , , 按逆时针排列),点 的位置随点 的位置变化而变化. (1)如图1,当点 在菱形 内部时,连接 ,则 与 的数量关系是______, 与 的位置关 系是______; (2)如图2,当点 在菱形 外部时,(1)中的结论是否还成立?若成立,请予以证明;若不成立,请 说明理由. 【答案】(1)相等,垂直 (2)成立,证明见详解 【分析】本题主要考查了菱形的性质、等边三角形的判定和性质、全等三角形的判定和性质等知识,解题 的关键是正确寻找全等三角形解决问题,学会添加常用辅助线,构造全等三角形解决问题. (1)根据菱形的性质结合 ,可证明 , 都是等边三角形,然后利用 证明 ,得到 , ,延长 交 于 ,由 ,可求出 ,即 ,即可证明结论; (2)结论仍然成立,根据题意作出图形,证明过程与(1)类似. 【详解】(1)解:如下图,连接 , ∵四边形 是菱形, , ∴ , 都是等边三角形, , ∴ , , ∵ 是等边三角形, ∴ , , ∵ , ∴ ,即 , ∴ , ∴ , , 延长 交 于 ,如下图,∵ , ∴ , ∴ ,即 , ∵四边形 是菱形, ∴ , ∴ . 故答案为:相等,垂直; (2)结论仍然成立,证明如下: 如下图,设 交 于 , 交 于 , ∵四边形 是菱形, , ∴ , 都是等边三角形, , ∴ , , ∵ 是等边三角形, ∴ , , ∵ , ∴ , ∴ , ∴ , , ∵ , ∴ , ∴ ,即 , ∵四边形 是菱形, ∴ , ∴ 【变式4】.(23-24八年级下·江苏泰州·阶段练习)(1)探究规律: 如图1,点P为平行四边形 内一点, , 的面积分别记为 , ,平行四边形 的面积记为S,试探究 与S之间的关系. (2)解决问题: 如图2 矩形 中, , ,点E、F、G、H分别在 、 、 、 上,且 , ,点P为矩形内一点,四边形 、四边形 的面积分别记为 , , 求 . 【答案】探究规律: ,理由见详解;解决问题: ; 【分析】本题考查平行四边形性质,矩形的性质: (1)过 作 并延长 交 于F,根据平行四边形得到 , ,结合平行线间距 离处处相等得到 即可得到答案; (2)过 作 并延长 交 于T,过 作 并延长 交 于N, 结合矩形的性质及三角形面积加减关系求解即可得到答案; 【详解】解:探究规律:过 作 并延长 交 于F, ∵四边形 是平行四边形, ∴ , , ∴ , ∴ , , ∴ ; 解决问题:过 作 并延长 交 于T,过 作 并延长 交 于N,连接: , , , , ∵四边形 是矩形, , , , , ∴ , , , , ,, ∵ , , ∴ , , ∴ . 【变式5】.(23-24八年级下·浙江宁波·期中)规律:如图1,直线 , , 为直线 上的点, , 为直线 上的点.如果 , , 为三个定点,点 在直线 上移动,那么无论点 移动到何位置, 与 的面积始终相等,其理由是 ___. 应用: (1)如图 , 、 、 三点在同一条直线上, 与 都是等边三角形,连结 , .若 , ,求 的面积. (2)如图 ,已知 , , , 是矩形 边上的点,且 , ,连结 交 于 点 ,连结 交 于点 ,连结 交 于点 ,连结 ,若四边形 的面积等于 ,求四边 形 的面积. 【答案】规律:同底等高的两个三角形的面积相等;(1) (2) 【分析】本题主要考查了三角形的面积、勾股定理,等边三角形的性质,平行线之间的距离等知识点; 规律:利用“平行线间的距离相等”和“同底等高的三角形的面积相等”即可解答; (1)利用“平行线间的距离相等”和“同底等高的三角形的面积相等”求 即可解答; (2)利用“平行线间的距离相等”和“同底等高的三角形的面积相等” ,将四边形 的面积拆成4个小三角形,将四个小三角形转化为矩形 的一半,即可求解. 【详解】解:规律:∵直线 , ∴点 和点 到直线 的距离相等. 又∵在 和 中, , ∴ (同底等高的两个三角形的面积相等). 故答案为:同底等高的两个三角形的面积相等. (1)如图所示,过点 作 于点 , ∵ 与 都是等边三角形, ∴ ∴ , ∴ ∵ ∴ ∵ , , ∴ ∴ ∴ ∴ ; (2)如图所示,连接 , ∵四边形 是矩形, ∴ ∵ , , ∴ ,∴ , , ∴ , 又 , ∵ , ∴ , ∴ , ∵ , ∴ , ∴ , ∴ 【变式6】.(22-23八年级下·吉林长春·期中)【教材呈现】如图是华师版八年级下册数学教材第 页的 练习中的第 题. 点 是矩形边 上的一个动点,矩形的两条边长 、 分别为 和 .求点 到矩形的两条对角线 和 的距离之和.(提示:记对角线 和 的交点为点 ,连结 ). (1)【问题解决】小明发现:如图①,连结 ,过点 作 ,垂足分别为点 、 ,利用矩形对角 线的性质 ,便可求出 的值,请你运用小明发现的方法,求出点 到矩形的两 条对角线 和 的距离之和 (2)【规律应用】如图②,当点 是矩形边 上任意一点时, _______. (3)【规律探究】如图③,当点 是 延长线上任意一点时,则 和 之间的数量关系是 ______. 【答案】(1) (2) (3)【分析】本题考查了矩形的性质,三角形的面积公式等知识点,勾股定理等知识点,灵活运用三角形的面 积公式列出式子是解题的关键. (1)利用勾股定理运算出 的长,再利用矩形的性质可得到 ,再利用 ,列式运算即可; (2)根据: 列式运算即可; (3)根据: 列式运算即可. 【详解】(1)解:如图①: ∵四边形 是矩形, ∴ , ∴ , ∴ , , ∵ , ∴ , ∴ , 解得: ; (2)如图②,连接OP, ∵ , ∴ , ∴ , 解得: ;(3) ,理由如下: 如图③,连接 , ∵ , ∴ , ∴ , 解得: . 【变式7】.(23-24八年级下·陕西西安·阶段练习)如果一个正整数能表示为两个连续奇数的平方差,那 么称这个正整数为“奇特数”. 例如: ;则 、 、 这三个数都是奇特数. (1)填空:32______奇特数,2018______奇特数.(填“是”或者“不是”) (2)如图所示,拼叠的正方形边长是从1开始的连续奇数…,按此规律拼叠到正方形 ,其边长为 403,求阴影部分的面积. 【答案】(1)是,不是 (2)81608 【分析】本题考查了图形的变化类、新概念以及平方差公式的应用,利用图形正确表示出阴影部分是解题 关键. (1)根据奇特数的概念进行判断即可; (2)利用阴影部分面积为 ,运用平方差进行运算,进而求得答案即可. 【详解】(1)解:∵ ∴ 是奇特数; ∵8、16、24这三个数都是奇特数,它们都是 的倍数,而 不是 的倍数 ∴ 不是奇特数; 故答案为:是,不是. (2) 【变式8】.(22-23八年级下·江苏·期末)解答题 (1)证明三角形中位线定理:三角形的中位线平行于第三边,且等于第三边的一半;[要求根据图1写出已知、 求证、证明;在证明过程中,至少有两处写出推理依据(“已知”除外)] (2)如图2,在 中,对角线交点为 分别是 的中点, 分别是 的中点,…,以此类推.若 的周长为1,直接用算式 表示各四边形的周长之和l; (3)借助图形3反映的规律,猜猜l可能是多少? 【答案】(1)见解析 (2) (3) (无限接近于2) 【分析】(1)先作出图形,延长 至F,使 ,然后根据“边角边”证明 和 全等, 根据全等三角形对应边相等可得 ,全等三角形对应角相等可得 ,再根据内错角相等, 两直线平行可得 ,然后证明四边形 是平行四边形,再根据平行四边形的对边平行且相等可 得 且 ,然后整理即可证明结论; A B C D (2)根据三角形的中位线平行于第三边并且等于第三边的一半求出四边形 的周长等于 周 1 1 1 1 长的一半,然后依次表示出各四边形的周长,再相加即可解答;(3)根据规律,l的算式等于大正方形的面积减去最后剩下的一小部分的面积,然后写出结果即可解答. 【详解】(1)解:已知:在 中,D、E分别是边 的中点, 求证: 且 , 证明:如图,延长 至F,使 , ∵E是 的中点, ∴ , 在 和 中, , ∴ , ∴ (全等三角形对应边相等), (全等三角形对应角相等), ∴ , ∵点D是 的中点, ∴ , ∴ 且 , ∴四边形 是平行四边形(一组对边平行且相等的四边形是平行四边形), ∴ 且 (平行四边形的对边平行且相等), ∵ , ∴ 且 . (2)解:∵ 分别是 的中点, ∴ , ∴四边形A B C D 的周长 1, 1 1 1 1 同理可得,四边形 的周长 ,四边形ABC D 的周长 , 3 3 3 3 …, ∴四边形的周长之和 . (3)解:由图可知, (无限接近于1), 所以 (无限接近于2). 【点睛】本题主要考查了三角形的中位线定理的证明、平行四边形的判定与性质、数字规律等知识点,正 确作辅助线构造出全等三角形的和平行四边形是解题的关键. 类型4:特殊平行四边形中的阅读理解型问题 【例题4】(22-23八年级下·江苏常州·期中)阅读:如果两个动点到一个定点的距离的比为定值,且这两 个动点与定点连线所成角的度数也为定值,那么这两动点的运动路径相同. 应用:如图,点O是矩形 的对角线AC的中点, ,以O为直角顶点的 的顶点P在边 上, ,当P在 上运动时, 的最大值为( ) A.1 B. C.2 D. 【答案】C 【分析】根据题意,确定出点 的轨迹为一条线段,确定出点 在 两点时,点 的位置,即可求解. 【详解】解:由题意可得:点 的轨迹为一条线段, , ∴ 又∵ , ∴ 中, , 设 ,则 ,由勾股定理可得: 解得 ∴ , , ∴ 当 与 重合时,过点 作 交 于点 如下图:∵ , ∴ 在线段 上, ∴点 与点 重合 由勾股定理可得: , 当 与 重合时,过点 作 交 于点 ,连接 , ,如下图: 由题意可得: , ∴ 为等边三角形,即 , ∵ , , ∴ ∴ ,此时,点 在射线 上 ∴ ,则点 与点 重合, ∴点 的轨迹为线段 由此可得,当 与 重合时, 最大,为 的长度 在 中, , , 可得: , 即 最大为 , 故选:C 【点睛】此题考查了矩形的性质,勾股定理,含 直角三角形的性质,等边三角形的判定与性质,解题 的关键是熟练掌握相关基础性质,确定出点 的轨迹 【变式1】(22-23八年级下·四川南充·期末)阅读下面材料: 小明遇到这样一个问题:如图 ,在 中, 为 中点, 、 分别为 、 上一点,且 ,求证: . 小明发现,延长 到点 ,使 ,连接 、 ,构造 和 ,通过证明 与 全等、 为等腰三角形,利用 使问题得以解决 如图 . 参考小明思考问题的方法,解决问题: 如图 ,在矩形 中, 为对角线 中点,将矩形 翻折,使点 恰好与点 重合, 为折痕,猜想 、 、 之间的数量关系?并证明你的猜想. 【答案】猜想: ,理由见解析 【分析】猜想: ,延长 交 于点 ,连接 ,首先证明 ,进而可得 , ,由折叠的性质可得 ,所以 ,继而在 中,由勾 股定理得 ,即 问题得证. 【详解】解:猜想: ,理由如下:延长 交 于点 ,连接 . 四边形 是矩形, , . 为对角线 中点, . , ∴ . , , ∵折叠, ∴ . . 垂直平分 . 在 中,由勾股定理得 , .【点睛】本题考查了全等三角形的判定和性质、矩形的性质勾股定理的运用以及折叠的性质,解题的关键 是正确条件辅助线构造全等三角形 【变式2】(22-23八年级下·重庆渝北·期中)阅读下面材料: 小明遇到这样一个问题:如图①,在 中, ,且 ,试求 的值. 小明发现,过点E作 ,交 的延长线于点F,经过推理得到 ,再计算就能够使问题得 到解决(如图②) ,并写出推理和计算过程. 参考小明思考问题的方法,请你解决如下问题: 如图③,已知 和矩形 , 与 交于点G,求 的度数. 【答案】 ,过程见解析; 【分析】由 ,可证得四边形 是平行四边形, 即可得 , 即可得 , 然后利用勾股定理,求得 的值;首先连接 , 由四边形 是平行四边形, 四边形 是矩形,易证得四边形 是平行四边形,继而证得 是等边三角形,则可求得答案. 【详解】解:∵ , ∴四边形 是平行四边形, ∴ , ∵ , ∴ , ∴ , 解决问题:连接 . ∵四边形 是平行四边形, ∴ . ∵四边形 是矩形, ∴ . ∴ . ∴四边形 是平行四边形. ∴ . ∵ , ∴ . ∴ 是等边三角形.∴ . ∵ , ∴ . 【点睛】此题考查了平行四边形的判定与性质、矩形的性质、等边三角形的判定与性质以及勾股定理,解 题的关键是注意掌握辅助线的作法 【变式3】(22-23八年级下·江苏扬州·阶段练习)阅读下面材料: 小明遇到这样一个问题:如图 ,在 中, 分别交 于 ,交 于 . 已知 , , ,求 的值. 小明发现,过点 作 ,交 延长线于点 ,构造 ,经过推理和计算能够使问题得到解决 (如图2). (1)请按照上述思路完成小明遇到的这个问题 (2)参考小明思考问题的方法,解决问题: 如图 ,已知 和矩形 , 与 交于点 , ,求 的度数. 【答案】(1)见解析 (2) 【分析】(1)先说明四边形 是平行四边形,可得 , 再说明 ,由勾 股定理可得 ,最后根据 即可解答; (2)如图3:连接 . 由四边形 是平行四边形,四边形 是矩形,易证得四边形 是平行四边形,继而证得 是等边三角形即可解答. 【详解】(1)解:∵ , ∴四边形 是平行四边形, ∴ , ∵ , ∴ ,∴ , ∴ . (2)解:如图3:连接 . ∵四边形 是平行四边形, ∴ . ∵四边形 是矩形, ∴ . ∴ . ∴四边形 是平行四边形. ∴ . ∵ , ∴ . ∴ 是等边三角形. ∴ . ∵ , ∴ . 【点睛】本题主要考查了平行四边形的判定与性质、矩形的性质、等边三角形的判定与性质、勾股定理等 知识点,正确做出辅助线是解答本题的关键