当前位置:首页>文档>3.2用频率估计概率(分层练习)(原卷版)_北师大初中数学_9上-北师大版初中数学_05习题试卷_1课时练习_同步练习(第1套)

3.2用频率估计概率(分层练习)(原卷版)_北师大初中数学_9上-北师大版初中数学_05习题试卷_1课时练习_同步练习(第1套)

  • 2026-04-12 05:57:17 2026-04-12 05:48:35

文档预览

3.2用频率估计概率(分层练习)(原卷版)_北师大初中数学_9上-北师大版初中数学_05习题试卷_1课时练习_同步练习(第1套)
3.2用频率估计概率(分层练习)(原卷版)_北师大初中数学_9上-北师大版初中数学_05习题试卷_1课时练习_同步练习(第1套)
3.2用频率估计概率(分层练习)(原卷版)_北师大初中数学_9上-北师大版初中数学_05习题试卷_1课时练习_同步练习(第1套)
3.2用频率估计概率(分层练习)(原卷版)_北师大初中数学_9上-北师大版初中数学_05习题试卷_1课时练习_同步练习(第1套)
3.2用频率估计概率(分层练习)(原卷版)_北师大初中数学_9上-北师大版初中数学_05习题试卷_1课时练习_同步练习(第1套)
3.2用频率估计概率(分层练习)(原卷版)_北师大初中数学_9上-北师大版初中数学_05习题试卷_1课时练习_同步练习(第1套)
3.2用频率估计概率(分层练习)(原卷版)_北师大初中数学_9上-北师大版初中数学_05习题试卷_1课时练习_同步练习(第1套)

文档信息

文档格式
docx
文档大小
0.135 MB
文档页数
7 页
上传时间
2026-04-12 05:48:35

文档内容

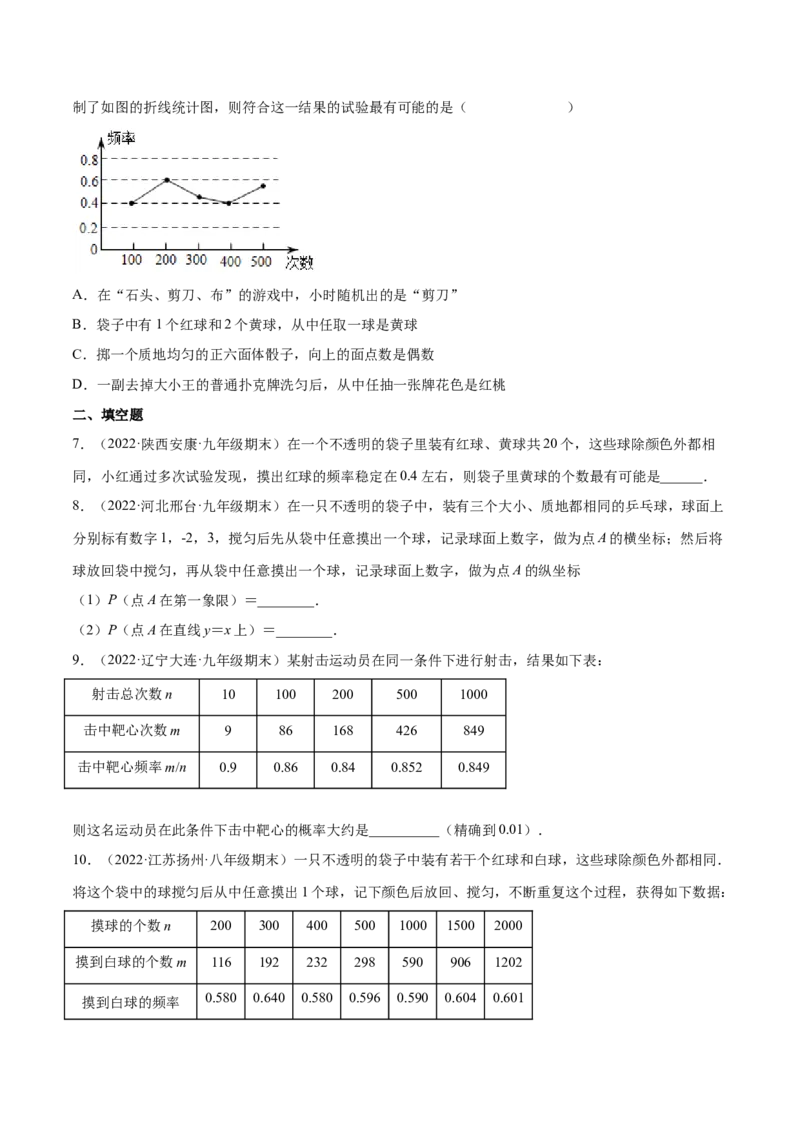
第三章 概率的进一步认识 3.2 用频率估计概率 精选练习 基础篇 一、单选题 1.(2022·重庆南开中学八年级期末)一个不透明的箱子里装有m个球,其中红球有5个,这些球除颜色 外都相同.每次将球搅拌均匀后,任意摸出一个球记下颜色后再放回.大量重复试验后发现,摸到红球的 频率稳定在0.25,那么可以估算出m的值为( ) A.25 B.20 C.15 D.10 2.(2022·山东青岛·七年级期末)下列叙述不正确的是( ) A.某种彩票中奖的概率为1%,那么买100张这种彩票一定会中奖 B.掷一枚骰子,向上的一面出现的点数为4是随机事件 C.某兴趣小组14位同学中至少两人的生日在同一月份是必然事件 D.在相同条件下,试验的次数足够大时,某一随机事件发生的频率会稳定于某一数值 3.(2022·江苏无锡·八年级期中)只有颜色不同的 个红球和若干个白球装在不透明的袋子里,从袋子里 摸出一个球记录下颜色后放回,经过多次重复试验,发现摸到红球的频率稳定在 ,则袋中红球与白球 共有( ) A. 个 B. 个 C. 个 D. 个 4.(2022·河北保定·九年级期末)在一个不透明的口袋中装有5个红球和若干个白球,它们除颜色外其他 完全相同,通过多次摸球实验后发现,摸到红球的频率稳定在0.25附近,则估计口袋中大约共有白球( ) A.10 B.15 C.20 D.都不对 5.(2022·全国·九年级课时练习)一个不透明的袋子中装有除颜色外均相同的4个白球和若干个绿球,每 次摇均匀后随机摸出一个球,记下颜色后再放回袋中,经大量试验,发现摸到绿球的频率稳定在0.2,则 摸到绿球的概率约为( ) A.0.2 B.0.5 C.0.6 D.0.8 6.(2021·陕西铜川·七年级期末)某小组做“用频率估计概率”的试验时,统计了某结果出现的频率,绘制了如图的折线统计图,则符合这一结果的试验最有可能的是( ) A.在“石头、剪刀、布”的游戏中,小时随机出的是“剪刀” B.袋子中有1个红球和2个黄球,从中任取一球是黄球 C.掷一个质地均匀的正六面体骰子,向上的面点数是偶数 D.一副去掉大小王的普通扑克牌洗匀后,从中任抽一张牌花色是红桃 二、填空题 7.(2022·陕西安康·九年级期末)在一个不透明的袋子里装有红球、黄球共20个,这些球除颜色外都相 同,小红通过多次试验发现,摸出红球的频率稳定在0.4左右,则袋子里黄球的个数最有可能是______. 8.(2022·河北邢台·九年级期末)在一只不透明的袋子中,装有三个大小、质地都相同的乒乓球,球面上 分别标有数字1,-2,3,搅匀后先从袋中任意摸出一个球,记录球面上数字,做为点A的横坐标;然后将 球放回袋中搅匀,再从袋中任意摸出一个球,记录球面上数字,做为点A的纵坐标 (1)P(点A在第一象限)=________. (2)P(点A在直线y=x上)=________. 9.(2022·辽宁大连·九年级期末)某射击运动员在同一条件下进行射击,结果如下表: 射击总次数n 10 100 200 500 1000 击中靶心次数m 9 86 168 426 849 击中靶心频率m/n 0.9 0.86 0.84 0.852 0.849 则这名运动员在此条件下击中靶心的概率大约是__________(精确到0.01). 10.(2022·江苏扬州·八年级期末)一只不透明的袋子中装有若干个红球和白球,这些球除颜色外都相同. 将这个袋中的球搅匀后从中任意摸出1个球,记下颜色后放回、搅匀,不断重复这个过程,获得如下数据: 摸球的个数n 200 300 400 500 1000 1500 2000 摸到白球的个数m 116 192 232 298 590 906 1202 0.580 0.640 0.580 0.596 0.590 0.604 0.601 摸到白球的频率根据以上数据,估计摸到白球的概率约为_________(精确到0.01). 三、解答题 11.(2022·江苏南京·八年级期末)在一个不透明的袋中装有若干个相同的白球,为了估计袋中白球的数 量,某数学学习小组进行了摸球试验:先将12个相同的黑球装入袋中,且这些黑球与白球除颜色外无其他 差别,搅匀后从袋中随机摸出一个球并记下颜色,再放回袋中,不断重复.如表是这次摸球试验获得的统 计数据: 摸球的次数s 150 300 600 900 1200 1500 摸到黑球的频 64 123 a 367 486 600 数 摸到黑球的频 0.427 0.410 0.415 0.408 0.405 b 率 (1)表中的a=____;b=____; (2)从袋中随机摸出一个球是黑球的概率的估计值是___;(精确到0.1) (3)袋中白球个数的估计值为____. 12.(2022·江苏连云港·八年级期中)一个不透明的袋子里装有黑白两种颜色的球若干个,这些球除颜色 外都相同.小明从袋子中随机摸一个球,记下颜色后放回,不断重复,并绘制了如图所示的统计图根据统 计图提供的信息解决下列问题: (1)摸到黑球的频率会接近 (精确到0.1);(2)若袋子中白球有4个, ①估算一下袋中两种颜色球共有 个; ②若小明又将a个相同的黑球放进了这个不透明的袋子里,然后再次进行摸球试验,当重复大量试验后, 摸出黑球的概率估计值是多少?(用含a的式子表示). 提升篇 一、填空题 1.(2022·辽宁沈阳·二模)在一个不透明的口袋中,装有若干个红球和6个黄球,它们除颜色外没有任何 区别,摇匀后从中随机摸出一个球,记下颜色后再放回口袋中,通过大量重复摸球试验发现,摸到黄球的 频率是0.3,摸到红球的频率是 _____,则估计盒子中大约有红球 _____个. 2.(2021·宁夏固原·二模)在一个不透明的布袋中,红色、黑色、白色的玻璃球共有40个,除颜色外其 它完全相同.小明通过多次摸球试验后发现其中摸到红色、黑色球的频率稳定在20%和45%,则口袋中白 色球的个数很可能是________. 3.(2022·江苏扬州·八年级期中)已知数据: , ,π, ,0,其中无理数出现的频率为_____. 4.(2022·北京东城·九年级期末)社团课上,同学们进行了“摸球游戏”:在一个不透明的盒子里,装有 20个除颜色不同外其余均相同的黑、白两种球,将盒子里面的球搅匀后,从中随机摸出一个球记下颜色, 再把它放回盒子中,不断重复上述过程.整理数据后,制作了“摸出黑球的频率”与“摸球的总次数”的 关系图象,如图所示,经分析可以推断“摸出黑球”的概率约为_______. 5.(2022·浙江·九年级专题练习)对一批口罩进行抽检,统计合格口罩的只数,得到合格口罩的频率如下: 抽取只数(只) 50 100 150 500 1000 2000 10000 50000 合格频率 0.82 0.83 0.82 0.83 0.84 0.84 0.84 0.84估计从该批次口罩中任抽一只口罩是合格品的概率为_____. 二、解答题 6.(2022·江苏镇江·八年级期中)一个不透明的口袋中放着若干个红球和黑球,这两种球除了颜色之外没 有其他任何区别,将袋中的球充分摇匀,闭眼从口袋中摸出一个球,经过很多次实验发现摸到黑球的频率 逐渐稳定在 . (1)估计摸到黑球的概率是_______; (2)如果袋中原有黑球15个,估计原口袋中共有几个球? (3)在(2)的条件下,又放入 个黑球,再经很多次实验发现摸到黑球的频率逐渐稳定在 ,估计 的值. 7.(2022·江苏常州·八年级期中)某批乒乓球的质量检验结果如下: 抽取的乒乓球数n 50 100 200 500 1000 1500 2000 优等品的频数m 48 95 188 471 946 1426 1898 0.960 0.950 ______ 0.942 0.946 0.951 ______ 优等品的频率 (精确到0.001) (1)填写完成表格中的空格; (2)画出该批乒乓球优等品频率的折线统计图; (3)从这批乒乓球中,任意抽取的一只乒乓球是优等品的概率的估计值是___________(精确到0.01) 8.(2022·江苏泰州·八年级期中)一个不透明的袋子里装有黑白两种颜色的球共40只,这些球除颜色外 都相同.小明从袋子中随机摸一个球,记下颜色后放回,不断重复,并绘制了如图所示的统计图,根据统 计图提供的信息解决下列问题: (1)估计袋中黑球的个数为 只; (2)若小明又将一些相同的黑球放进了这个不透明的袋子里,然后再次进行摸球试验,当重复大量试验后,发现黑球的频率稳定在0.6左右,则小明后来放进了多少个黑球?