当前位置:首页>文档>2020年北京市东城区小升初数学试卷(带解析)_北京小升初全套文件_数学

2020年北京市东城区小升初数学试卷(带解析)_北京小升初全套文件_数学

  • 2026-04-15 16:50:07 2026-04-15 16:41:19

文档预览

2020年北京市东城区小升初数学试卷(带解析)_北京小升初全套文件_数学
2020年北京市东城区小升初数学试卷(带解析)_北京小升初全套文件_数学
2020年北京市东城区小升初数学试卷(带解析)_北京小升初全套文件_数学
2020年北京市东城区小升初数学试卷(带解析)_北京小升初全套文件_数学
2020年北京市东城区小升初数学试卷(带解析)_北京小升初全套文件_数学
2020年北京市东城区小升初数学试卷(带解析)_北京小升初全套文件_数学
2020年北京市东城区小升初数学试卷(带解析)_北京小升初全套文件_数学
2020年北京市东城区小升初数学试卷(带解析)_北京小升初全套文件_数学
2020年北京市东城区小升初数学试卷(带解析)_北京小升初全套文件_数学
2020年北京市东城区小升初数学试卷(带解析)_北京小升初全套文件_数学
2020年北京市东城区小升初数学试卷(带解析)_北京小升初全套文件_数学
2020年北京市东城区小升初数学试卷(带解析)_北京小升初全套文件_数学
2020年北京市东城区小升初数学试卷(带解析)_北京小升初全套文件_数学
2020年北京市东城区小升初数学试卷(带解析)_北京小升初全套文件_数学
2020年北京市东城区小升初数学试卷(带解析)_北京小升初全套文件_数学

文档信息

文档格式
docx
文档大小
0.188 MB
文档页数
11 页
上传时间
2026-04-15 16:41:19

文档内容

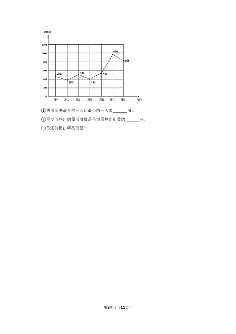
2020年北京市东城区小升初数学试卷 一、直接写出下面各题的得数 1.直接写出下面各题的得数. 24+11= 1.2+0.4= 1.8÷0.3= 1﹣ = × = 3.6÷0.4= 2﹣1 = = 42× = = 4.25+3.75= 54÷18= ×16= 0.375+ = 0÷ = 8.1÷9= 1.25×8= 0.8×3= ×15= = 13.8﹣7= 0.5×0.6= = ÷9= = 10﹣0.5= 0.25×0.8×4= 1﹣3÷8= ×12= 1﹣ = 二、填空. 2.如果规定向东为正,那么向西走2m记作 m. 3.在0.25、125%、 和2.5中,最大的数是 ,最小的数是 . 4. =0.875= %=7: . 5.一个圆柱的体积是75.36m3,与它等底等高的圆锥的体积是 m3. 三、选择正确答案的字母填在括号里. 6.经检验一种零件的合格率是98%,那么300个这样的零件中,有( )个不合格. A.294 B.98 C.6 D.2 7.下面每题中的两种量,成正比例关系的是( ) A.小伟比小红大4岁,小伟的年龄和小红的年龄 B.圆柱的体积一定,它的底面积和高 C.一条路,未修的长度与已修的长度 D.报纸的单价一定,订阅的份数与总价 8.x=0.5是方程( )的解. A.2x+6=7 B.4x=8 C.9.2+x=9.25 D.x﹣ x=11 第1页(共11页)9.如图所示,把一张三条边长分别是5cm、12cm和13cm的直角三角形硬纸贴在木棒上, 快速转动木棒,转出的圆锥高是___cm,底面半径是___cm.( ) A.5,12 B.12,5 C.13,5 D.12,13 四、脱式计算下面各题.(能简算的要简算) 10.脱式计算下面各题.(能简算的要简算) 28.9﹣6.25﹣3.75 1.98÷(0.6×0.3) 36×( ) 2.5 × 五、解决问题. 11.小新准备在网上书店买一套精装版《中国儿童百科全书》,原价 300元.网上书店搞 促销活动,打八折销售,现在买这套图书应付多少钱? 12.在一幅比例尺是1:2000000地图上,量得北京到武汉的距离是 60cm,北京到武汉的 实际距离是多少千米? 13.一个圆柱形粮囤,从里面量得底面半径是 2m,高2.5m.如果每立方米稻谷重500kg, 这个粮囤能装多少吨稻谷? 14.一辆货车从甲地到乙地,计划每小时行50千米,9小时到达.实际速度比计划慢,这 辆货车从甲地到乙地实际行了几小时? 15.如图是光明书店一周图书销售情况统计图,请根据图中信息回答问题. 第2页(共11页)售出图书最多的一天比最少的一天多 册. ①星期五售出的图书册数是星期四售出册数的 %. ②你还能提出哪些问题? ③ 第3页(共11页)2020年北京市东城区小升初数学试卷 参考答案与试题解析 一、直接写出下面各题的得数 1.直接写出下面各题的得数. 24+11= 1.2+0.4= 1.8÷0.3= 1﹣ = × = 3.6÷0.4= 2﹣1 = = 42× = = 4.25+3.75= 54÷18= ×16= 0.375+ = 0÷ = 8.1÷9= 1.25×8= 0.8×3= ×15= = 13.8﹣7= 0.5×0.6= = ÷9= = 10﹣0.5= 0.25×0.8×4= 1﹣3÷8= ×12= 1﹣ = 【分析】根据整数、分数、小数加减乘除法的计算方法求解即可; 0.25×0.8×4根据乘法交换律简算; 【解答】解: 24+11=35 1.2+0.4 = 1.8÷0.3=6 1﹣ = × = 1.6 3.6÷0.4=9 2﹣1 = =1 42× =18 = 4.25+3.75=8 54÷18=3 ×16=10 0.375+ = 0÷ =0 8.1÷9=0.9 1.25×8=10 0.8×3=2.4 ×15=6 = 13.8﹣ 7 = 0.5×0.6=0.3 =1 ÷9= = 6.8 10﹣ 0.5 =0.25×0.8×4=0.8 ×12=9 1﹣ =1﹣3÷8= 9.5 0 【点评】本题属于基本的计算,在平时注意积累经验,逐步提高运算的速度和准确性. 第4页(共11页)二、填空. 2.如果规定向东为正,那么向西走2m记作 ﹣ 2 m. 【分析】此题主要用正负数来表示具有意义相反的两种量:向东记为正,则向西就记为 负,由此得出结论. 【解答】解:如果规定向东为正,那么向西走2m记作﹣2m; 故答案为:﹣2. 【点评】此题主要考查正负数的意义,正数与负数表示意义相反的两种量,看清规定哪 一个为正,则和它意义相反的就为负. 3.在0.25、125%、 和2.5中,最大的数是 2. 5 ,最小的数是 0.2 5 . 【分析】首先把其中的百分数和分数都化成小数,然后根据小数大小比较的方法判断即 可. 【解答】解:125%=1.25, =0.4, 因为0.25<0.4<1.25<2.5, 所以0.25< <125%<2.5, 所以最大的数是2.5,最小的数是0.25. 故答案为:2.5,0.25. 【点评】此题主要考查了分数比较大小的方法的应用,以及小数大小比较的方法和百分 数、分数和小数之间的互化的方法,要熟练掌握,解答此题的关键是把其中的百分数和 分数都化成小数. 4. =0.875= 87. 5 %=7: 8 . 【分析】把0.875化成分数并化简是 ,根据分数的基本性质分子、分母都乘3就是 ; 根据比与分数的关系 =7:8;把 0.875 的小数点向右移动两位添上百分号就是 87.5%;据此解答即可. 【解答】解: =0.875=87.5%=7:8 故答案为:24、87.5、8. 第5页(共11页)【点评】此题主要是考查除法、小数、分数、百分数、比之间的关系及转化.利用它们 之间的关系和性质进行转化即可. 5.一个圆柱的体积是75.36m3,与它等底等高的圆锥的体积是 25.1 2 m3. 【分析】根据等底等高的圆锥的体积是圆柱体积的 ,已知圆柱的体积是75.36m3,求 与它等底等高的圆锥的体积,根据一个数乘分数的意义,用乘法解答. 【解答】解:75.36× =25.12(立方米), 答:与它等底等高的圆锥的体积是25.12立方米. 故答案为:25.12. 【点评】此题主要考查圆锥的体积计算,根据等底等高的圆锥的体积是圆柱体积的 这 一关系,再根据一个数乘分数的意义,用乘法解决问题. 三、选择正确答案的字母填在括号里. 6.经检验一种零件的合格率是98%,那么300个这样的零件中,有( )个不合格. A.294 B.98 C.6 D.2 【分析】合格率是98%,是指合格产品数量是产品总数量的98%,把产品的总数量看成 单位“1”,则不合格就占总数量的(1﹣98%),用总数量乘这个百分数即可求出不合 格的数量. 【解答】解:300×(1﹣98%) =300×2% =6(个) 答:有6个不合格. 故选:C. 【点评】解决本题先理解合格率,找出单位“1”,再根据分数乘法的意义求解. 7.下面每题中的两种量,成正比例关系的是( ) A.小伟比小红大4岁,小伟的年龄和小红的年龄 B.圆柱的体积一定,它的底面积和高 C.一条路,未修的长度与已修的长度 D.报纸的单价一定,订阅的份数与总价 【分析】判断两个相关联的量之间成什么比例,就看这两个量是对应的比值一定,还是 对应的乘积一定;如果是比值一定,就成正比例;如果是乘积一定,则成反比例. 第6页(共11页)【解答】解:A、小伟的年龄﹣小红的年龄=4,差一定,所以小伟的年龄和小红的年龄 不成比例; B、圆柱的底面积×高=体积(一定),乘积一定,所以圆柱的底面积和高成反比例; C、未修的长度+已修的长度=这条路的总长(一定),和一定,所以未修的长度与已修 的长度不成比例; D、总价÷订阅的份数=单价(一定),比值一定,所以订阅的份数与总价成正比例; 故选:D. 【点评】此题属于辨识成正、反比例的量,就看这两个量是对应的比值一定,还是对应 的乘积一定,再做判断. 8.x=0.5是方程( )的解. A.2x+6=7 B.4x=8 C.9.2+x=9.25 D.x﹣ x=11 【分析】把x=0.5分别代入每一个选项中,如果能使方程左右两边相等,就说明它是这 个方程的解,否则x=0.5就不是这个方程的解. 【解答】解:把x=0.5分别代入每一个方程,则有 A、因为2×0.5+6=7,所以x=0.5是这个方程的解; B、因为4×0.5=2≠8,所以x=0.5不是这个方程的解; C、因为9.2+0.5=9.7≠9.25,所以x=0.5不是这个方程的解; D、因为0.5﹣ ×0.5=0.25,所以x=0.5不是这个方程的解. 故选:A. 【点评】此题主要考查了检验方程的解的方法,要熟练掌握. 9.如图所示,把一张三条边长分别是5cm、12cm和13cm的直角三角形硬纸贴在木棒上, 快速转动木棒,转出的圆锥高是___cm,底面半径是___cm.( ) A.5,12 B.12,5 C.13,5 D.12,13 【分析】根据图示,将三角形围着一条直角边旋转,得到一个圆锥,这条直角边就是圆 锥的高,另一条直角边就是圆锥的底面半径. 【解答】解:将三角形围着一条直角边旋转得到一个圆锥,这条直角边就是圆锥的高, 第7页(共11页)即12cm,另一条直角边就是圆锥的底面半径,即5cm. 答:转出的圆锥高是12cm,底面半径是5cm. 故选:B. 【点评】本题主要考查了圆锥的特征,需要学生熟记圆锥的特性,并能灵活运用. 四、脱式计算下面各题.(能简算的要简算) 10.脱式计算下面各题.(能简算的要简算) 28.9﹣6.25﹣3.75 1.98÷(0.6×0.3) 36×( ) 2.5 × 【分析】(1)根据减法的性质进行简算; (2)根据乘法分配律进行简算; (3)先算小括号里面的乘法,再算除法; (4)按照从左向右的顺序进行计算. 【解答】解:(1)28.9﹣6.25﹣3.75 =28.9﹣(6.25+3.75) =28.9﹣10 =18.9 (2)36×( ) =36× +36× =8+21 =29 (3)1.98÷(0.6×0.3) =1.98÷0.18 =11 (4)2.5 × =4× =7 第8页(共11页)【点评】考查了运算定律与简便运算,四则混合运算.注意运算顺序和运算法则,灵活 运用所学的运算定律进行简便计算. 五、解决问题. 11.小新准备在网上书店买一套精装版《中国儿童百科全书》,原价 300元.网上书店搞 促销活动,打八折销售,现在买这套图书应付多少钱? 【分析】打八折是指现价是原价的80%,把原价看成单位“1”,用原价乘80%即可求 出现价. 【解答】解:300×80%=240(元) 答:现在买这套图书应付240元. 【点评】本题关键是理解打折的含义:打几折,现价就是原价的百分之几十. 12.在一幅比例尺是1:2000000地图上,量得北京到武汉的距离是 60cm,北京到武汉的 实际距离是多少千米? 【分析】要求北京到武汉的实际距离是多少千米,根据“图上距离÷比例尺=实际距 离”,代入数值,计算即可. 【解答】解:60÷ =120000000(厘米) 120000000厘米=1200千米 答:北京到武汉的实际距离是1200千米. 【点评】解答此题应根据图上距离、比例尺和实际距离三者的关系,进行分析解答即可 得出结论. 13.一个圆柱形粮囤,从里面量得底面半径是 2m,高2.5m.如果每立方米稻谷重500kg, 这个粮囤能装多少吨稻谷? 【分析】由题意知:先根据圆柱的体积公式V= r2h算出这个粮囤的容积即是装稻谷的 体积,然后根据乘法的意义算出共重多少千克即可π 解答. 【解答】解:这个粮囤装稻谷的体积是: 3.14×22×2.5 =3.14×10 第9页(共11页)=31.4(立方米), 这个粮囤能装稻谷的重量是: 500×31.4=15700(千克) 15700千克=15.7吨 答:这个粮囤能装稻谷15.7吨. 【点评】此题重点要理解根据圆柱的体积算粮囤的容积,利用乘法的意义算出能装的重 量. 14.一辆货车从甲地到乙地,计划每小时行50千米,9小时到达.实际速度比计划慢,这 辆货车从甲地到乙地实际行了几小时? 【分析】根据题意,先利用公式:路程=速度×时间,计算甲乙两地的路程,然后用实 际2.5小时所行路程除以2.5,求实际的速度;最后用总路程除以实际速度,求实际所行 时间即可. 【解答】解:50×9÷(112.5÷2.5) =450÷45 =10(小时) 答:这辆货车从甲地到乙地实际行了10小时. 【点评】本题主要考查简单的行程问题,关键是利用路程、速度和时间的关系做题. 15.如图是光明书店一周图书销售情况统计图,请根据图中信息回答问题. 第10页(共11页)售出图书最多的一天比最少的一天多 60 0 册. ①星期五售出的图书册数是星期四售出册数的 137. 5 %. ②你还能提出哪些问题? ③【分析】 根据求一个数比另一个数多几,用减法解答. 把星期①四售出的册数看作单位“1”,根据求一个数是另一个数的百分之几,用除法 ②解答. 这一周平均每天售出图书多少册?根据求平均数的方法,先求出这一周够售出图书多 ③少本,然后再除以7即可. 【解答】解: 990﹣390=600(册) 答:售出图书①最多的一天比最少的一天多600册. 550÷400 ②=1.375 =137.5% 答:星期五售出的图书册数是星期四售出册数的137.5%. 这一周平均每天售出图书多少册? ③(480+390+522+400+550+990+805)÷7 =4137÷7 =591(册) 答:这一周平均每天售出图书591册. 故答案为:600;137.5. 【点评】此题考查的目的是理解掌握折线统计图的特点及作用,并且能够根据统计 图提供的信息,解决有关的实际问题. 第11页(共11页)