2026欧几里得真题+解析出炉!完整PDF免费领~

🔥最新出炉!2026年欧几里得(Euclid)竞赛真题及详细解析完整版PDF来了!
涵盖全部10道大题,每道题都配有步骤清晰、逻辑严密的解答,几何、组合、数论、概率全覆盖。无论是冲刺高分、查漏补缺,还是模拟实战,这份资料都值得你反复刷!
👇完整PDF免费领取方式见文末
2026欧几里得真题+解析资料





26年完整版欧几里得真题+解析资料,添加小助手微信:X-NEW001领取~
2026年欧几里得题目难度分析

🌈核心高光题型点拨:
降维打击的试金石 (Q8a):如果孩子还在死磕初中那套做辅助线的方法,这题大概率会绕晕。但具备高阶思维的孩子,会直接建系上参数方程,将几何图形代数化。这种能力,正是顶级名校最看重的。
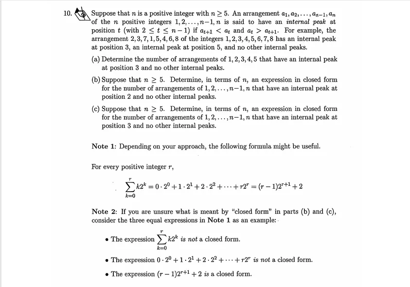
顶尖大脑的角斗场 (Q10):引入全新概念“内部峰值”,要求推导一般情况 n 的闭式表达式。这道题没有任何公式可以套用,完全考察考生的数学直觉和严密的说理证明能力。
26年欧几里得数学竞赛考后规划
🌈若成绩优异(前25%及以上):
-
冲刺更高奖项:可继续准备AMC10/12(每年11月举行),通过更高难度的竞赛提升竞争力,为申请顶尖理工专业增加筹码。
-
挑战国际奥赛:若具备较强抽象思维和证明能力,可尝试BMO(英国数学奥林匹克)或AIME(美国数学邀请赛),进一步拓展国际视野。
🌈若成绩中等(前25%-50%):
-
巩固基础:针对欧几里得竞赛中暴露的薄弱环节,如几何证明、数论等,进行系统复习,提升解题能力。
-
参与其他竞赛:可参加澳洲AMC(每年9月)或UKMT-SMC(英国高级数学挑战),丰富竞赛经历,增强学术背景。
🌈若成绩未达预期:
-
调整方向:若对数学竞赛兴趣减弱,可转向其他学科竞赛或学术活动,如物理碗、化学奥赛等,发挥自身优势。
-
强化基础学习:回归校内数学课程,巩固基础知识,为未来升学或竞赛打下坚实基础。

扫码添加犀牛老师微信,抢占名额!这个赛季,让我们一起,赢在起跑线,胜在每一步。

夜雨聆风