当前位置:首页>文档>专题02数列求通项(累加法、累乘法)(典型题型归类训练)(解析版)_2025年新高考资料_专项复习_解题思路训练2025年高考数学复习解答题提优秘籍(新高考专用)_数列

专题02数列求通项(累加法、累乘法)(典型题型归类训练)(解析版)_2025年新高考资料_专项复习_解题思路训练2025年高考数学复习解答题提优秘籍(新高考专用)_数列

  • 2026-04-14 15:28:47 2026-04-14 15:28:47

文档预览

专题02数列求通项(累加法、累乘法)(典型题型归类训练)(解析版)_2025年新高考资料_专项复习_解题思路训练2025年高考数学复习解答题提优秘籍(新高考专用)_数列
专题02数列求通项(累加法、累乘法)(典型题型归类训练)(解析版)_2025年新高考资料_专项复习_解题思路训练2025年高考数学复习解答题提优秘籍(新高考专用)_数列
专题02数列求通项(累加法、累乘法)(典型题型归类训练)(解析版)_2025年新高考资料_专项复习_解题思路训练2025年高考数学复习解答题提优秘籍(新高考专用)_数列
专题02数列求通项(累加法、累乘法)(典型题型归类训练)(解析版)_2025年新高考资料_专项复习_解题思路训练2025年高考数学复习解答题提优秘籍(新高考专用)_数列
专题02数列求通项(累加法、累乘法)(典型题型归类训练)(解析版)_2025年新高考资料_专项复习_解题思路训练2025年高考数学复习解答题提优秘籍(新高考专用)_数列
专题02数列求通项(累加法、累乘法)(典型题型归类训练)(解析版)_2025年新高考资料_专项复习_解题思路训练2025年高考数学复习解答题提优秘籍(新高考专用)_数列
专题02数列求通项(累加法、累乘法)(典型题型归类训练)(解析版)_2025年新高考资料_专项复习_解题思路训练2025年高考数学复习解答题提优秘籍(新高考专用)_数列
专题02数列求通项(累加法、累乘法)(典型题型归类训练)(解析版)_2025年新高考资料_专项复习_解题思路训练2025年高考数学复习解答题提优秘籍(新高考专用)_数列
专题02数列求通项(累加法、累乘法)(典型题型归类训练)(解析版)_2025年新高考资料_专项复习_解题思路训练2025年高考数学复习解答题提优秘籍(新高考专用)_数列
专题02数列求通项(累加法、累乘法)(典型题型归类训练)(解析版)_2025年新高考资料_专项复习_解题思路训练2025年高考数学复习解答题提优秘籍(新高考专用)_数列
专题02数列求通项(累加法、累乘法)(典型题型归类训练)(解析版)_2025年新高考资料_专项复习_解题思路训练2025年高考数学复习解答题提优秘籍(新高考专用)_数列
专题02数列求通项(累加法、累乘法)(典型题型归类训练)(解析版)_2025年新高考资料_专项复习_解题思路训练2025年高考数学复习解答题提优秘籍(新高考专用)_数列
专题02数列求通项(累加法、累乘法)(典型题型归类训练)(解析版)_2025年新高考资料_专项复习_解题思路训练2025年高考数学复习解答题提优秘籍(新高考专用)_数列
专题02数列求通项(累加法、累乘法)(典型题型归类训练)(解析版)_2025年新高考资料_专项复习_解题思路训练2025年高考数学复习解答题提优秘籍(新高考专用)_数列
专题02数列求通项(累加法、累乘法)(典型题型归类训练)(解析版)_2025年新高考资料_专项复习_解题思路训练2025年高考数学复习解答题提优秘籍(新高考专用)_数列
专题02数列求通项(累加法、累乘法)(典型题型归类训练)(解析版)_2025年新高考资料_专项复习_解题思路训练2025年高考数学复习解答题提优秘籍(新高考专用)_数列
专题02数列求通项(累加法、累乘法)(典型题型归类训练)(解析版)_2025年新高考资料_专项复习_解题思路训练2025年高考数学复习解答题提优秘籍(新高考专用)_数列
专题02数列求通项(累加法、累乘法)(典型题型归类训练)(解析版)_2025年新高考资料_专项复习_解题思路训练2025年高考数学复习解答题提优秘籍(新高考专用)_数列
专题02数列求通项(累加法、累乘法)(典型题型归类训练)(解析版)_2025年新高考资料_专项复习_解题思路训练2025年高考数学复习解答题提优秘籍(新高考专用)_数列
专题02数列求通项(累加法、累乘法)(典型题型归类训练)(解析版)_2025年新高考资料_专项复习_解题思路训练2025年高考数学复习解答题提优秘籍(新高考专用)_数列

文档信息

文档格式
docx
文档大小
0.775 MB
文档页数
16 页
上传时间
2026-04-14 15:28:47

文档内容

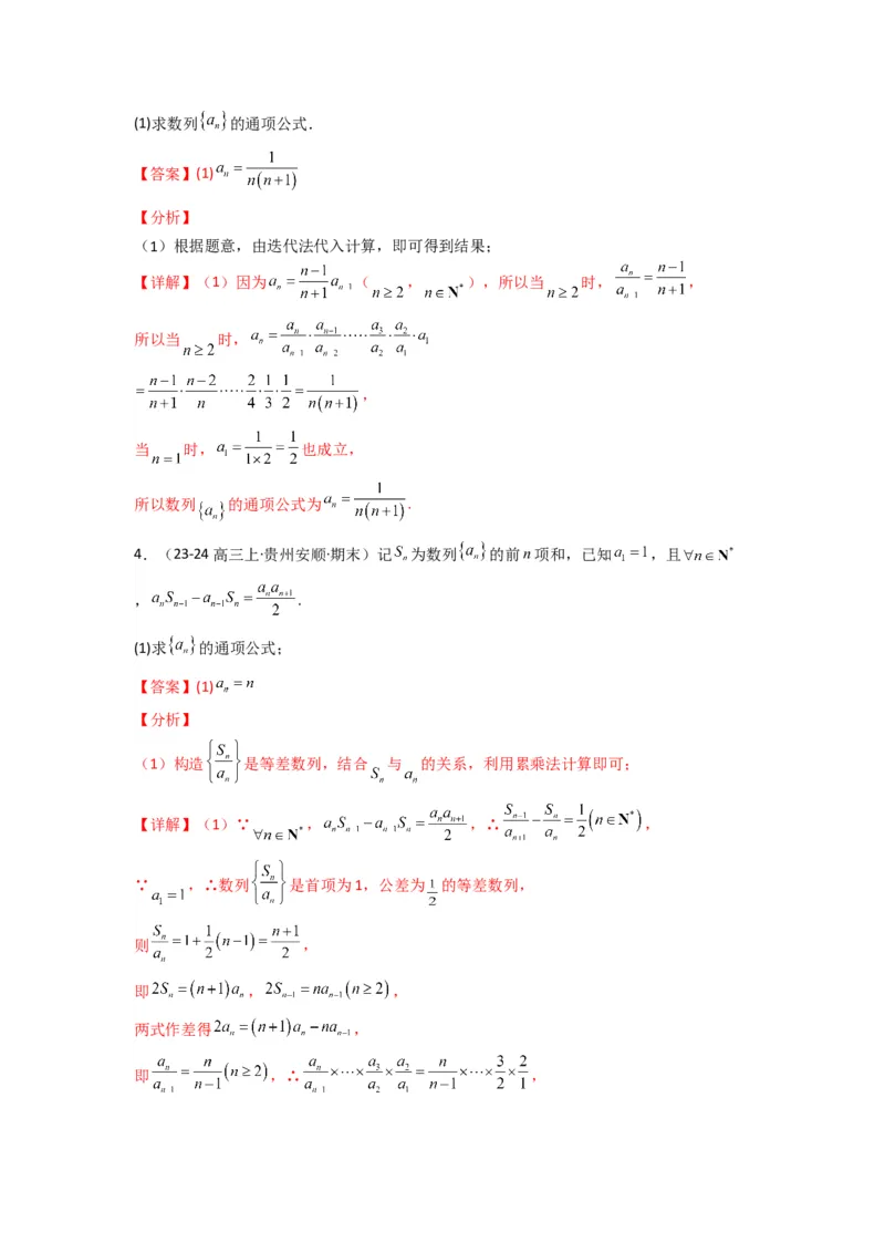
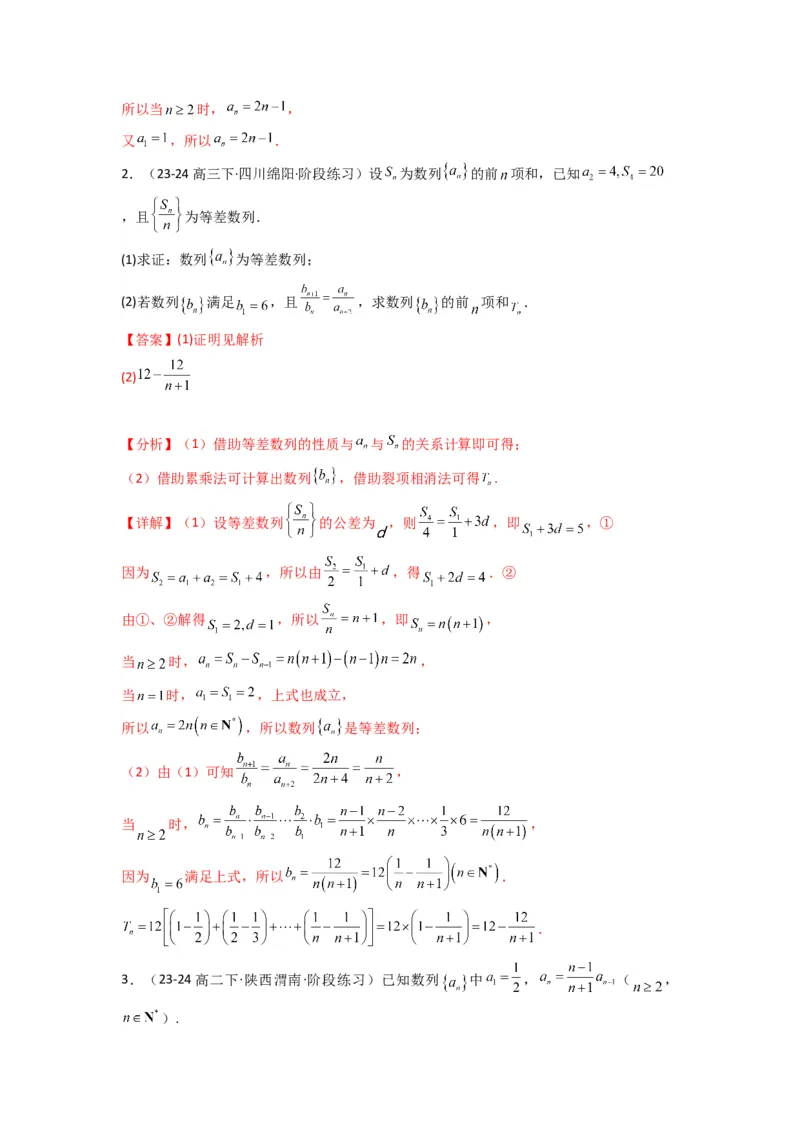
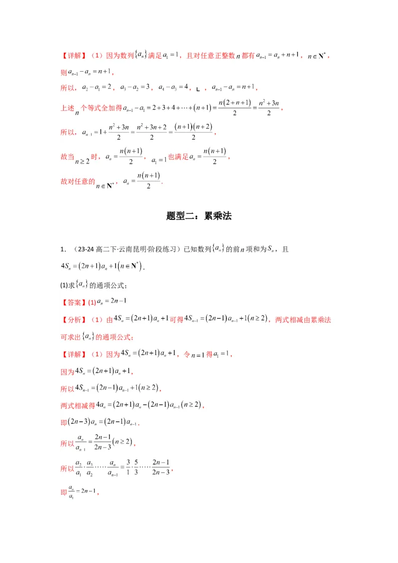
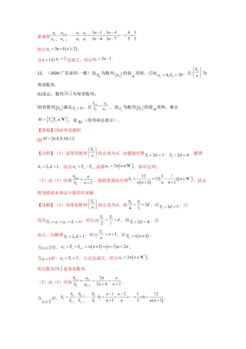
专题 02 数列求通项(累加法、累乘法)(典型题型归类训 练) 目录 一、必备秘籍..............................................1 二、典型题型..............................................2 题型一:累加法.........................................2 题型二:累乘法.........................................6 三、数列求通项(累加法、累乘法)专项训练..................9 一、必备秘籍 一、累加法(叠加法) a −a =f(n)(n∈N¿ ) 若数列 满足 ,则称数列 为“变差数列”,求变差数列 {a } n+1 n {a } n n {a }的通项时,利用恒等式 n a =a +(a −a )+(a −a )+¿⋅¿+(a −a )=a +f(1)+f(2)+f(3)+¿⋅¿+f(n−1)(n≥2) n 1 2 1 3 2 n n−1 1 求通项公式的方法称为累加法。 具体步骤: 将上述 个式子相加(左边加左边,右边加右边)得: = 整理得: =二、累乘法(叠乘法) a 若数列 满足 n+1 =f(n)(n∈N¿),则称数列 为“变比数列”,求变比数列 的 {a } a {a } {a } n n n n a a a a 通项时,利用a =a⋅ 2 ⋅ 3 ⋅ 4 ⋅¿⋅¿ n =a⋅f(1)⋅f(2)⋅f(3)⋅¿⋅¿f(n−1)(n≥2)求通 n 1 a a a a 1 1 2 3 n−1 项公式的方法称为累乘法。 具体步骤: 将上述 个式子相乘(左边乘左边,右边乘右边)得: 整理得: 二、典型题型 题型一:累加法 1.(2024·全国·模拟预测)已知数列 的前 项和为 ,且 . (1)求数列 的通项公式; 【答案】(1) ; 【分析】(1)当 时,求得 ,当 时,得到 ,两式相减 化简得到 ,结合叠加法,即可求得数列 的通项公式;【详解】(1)解:当 时, ,解得 , 当 时, , 两式相减可得, , 则 , 叠加可得, ,则 , 而 时也符合题意, 所以数列 的通项公式为 . 2.(2024·云南大理·模拟预测)在数列 中, ,且数列 是等 差数列. (1)求 的通项公式; 【答案】(1) ; 【分析】(1)利用等差数列的基本量,求得 ,再利用累积法即可求得 ; 【详解】(1)因为 ,所以 . 所以数列 是首项为4,公差为2的等差数列, 所以 . 当 时, , 当 时, 也满足上式,所以 . 3.(23-24高二下·广西桂林·阶段练习)在数列 中, . (1)证明: 是等比数列. (2)求 的通项公式. 【答案】(1)证明见解析 (2) 【分析】(1)将已知等式变形为 ,根据等比数列的定义,即可证明结论; (2)由(1)可得 ,利用累加法,即可求得 的通项公式.; 【详解】(1)证明:在数列 中, ,故 , 又 ,即 ,故 , 故 是首项为2,公比为2的等比数列; (2)由(1)可得 , 故 时, , 也适合该式,故 ; 4.(23-24高二下·山东淄博·阶段练习)已知公差不为零的等差数列 的前9项和 ,且 , , 成等比数列. (1)若数列 满足 , ,求数列 , 的通项公式; 【答案】(1) 【分析】(1)由题意,根据等差数列前n项求和公式和等比中项的应用可得 , 结合等比数列的通项公式得 ,再利用累加法求数列 的通项公式; 【详解】(1)设等差数列 的公差为 , 由 得, ,化简得 . 由 成等比数列,得 , 化简得 ,又 ,所以 , 所以 , 故数列 的通项公式 , , 当 时, , 当 时, ,符合上式,故 的通项公式为 ; 5.(23-24高三下·云南·阶段练习)已知数列 的前n项和为 ,且 .在数 列 中, , . (1)求 , 的通项公式; 【答案】(1) , 【分析】(1)直接利用 与 的关系求解 ,利用累加法求解 ; 【详解】(1)由题知,当 时, , 当 时, , 因为 ,所以 . 因为 ,所以 , 则 , 时符合,故 , 综上, , . 6.(23-24高二下·江西南昌·阶段练习)已知数列 满足 ,且对任意正整数 都有 , . (1)求数列 的通项公式; 【答案】(1) 【分析】 (1)利用累加法可求得数列 的通项公式;【详解】(1)因为数列 满足 ,且对任意正整数 都有 , , 则 , 所以, , , , , , 上述 个等式全加得 , 所以, , 故当 时, , 也满足 , 故对任意的 , . 题型二:累乘法 1.(23-24高二下·云南昆明·阶段练习)已知数列 的前 项和为 ,且 . (1)求 的通项公式; 【答案】(1) 【分析】(1)由 可得 ,两式相减由累乘法 可求出 的通项公式; 【详解】(1)因为 ,令 得 , 因为 , 所以 , 两式相减得 , 即 . 所以 , 所以 , 即 ,所以当 时, , 又 ,所以 . 2.(23-24高三下·四川绵阳·阶段练习)设 为数列 的前 项和,已知 ,且 为等差数列. (1)求证:数列 为等差数列; (2)若数列 满足 ,且 ,求数列 的前 项和 . 【答案】(1)证明见解析 (2) 【分析】(1)借助等差数列的性质与 与 的关系计算即可得; (2)借助累乘法可计算出数列 ,借助裂项相消法可得 . 【详解】(1)设等差数列 的公差为 ,则 ,即 ,① 因为 ,所以由 ,得 .② 由①、②解得 ,所以 ,即 , 当 时, , 当 时, ,上式也成立, 所以 ,所以数列 是等差数列; (2)由(1)可知 , 当 时, , 因为 满足上式,所以 . . 3.(23-24高二下·陕西渭南·阶段练习)已知数列 中 , ( , ).(1)求数列 的通项公式. 【答案】(1) 【分析】 (1)根据题意,由迭代法代入计算,即可得到结果; 【详解】(1)因为 ( , ),所以当 时, , 所以当 时, , 当 时, 也成立, 所以数列 的通项公式为 . 4.(23-24高三上·贵州安顺·期末)记 为数列 的前n项和,已知 ,且 , . (1)求 的通项公式; 【答案】(1) 【分析】 (1)构造 是等差数列,结合 与 的关系,利用累乘法计算即可; 【详解】(1)∵ , ,∴ , ∵ ,∴数列 是首项为1,公差为 的等差数列, 则 , 即 , , 两式作差得 , 即 ,∴ ,即 , , ∵ 符合上式,∴ . 5.(2023高二上·全国·专题练习)已知数列 满足 ,求 的通项公式. 【答案】 【分析】利用项与和的关系化简条件式,结合累乘法求出通项. 【详解】因为 , 当 时,可得 ; 当 时,可得 , 两式相减得, ,即 , 且 ,即 , 所以 ; 且 满足上式, 不满足上式, 所以数列 的通项公式为 . 6.(2023高二上·全国·专题练习)已知数列 满足 ,求数列 的通项公式. 【答案】 【分析】利用累乘法求数列通项. 【详解】因为 , 所以 ,则 , 故. 所以数列 的通项公式为 三、数列求通项(累加法、累乘法)专项训练 1.(2024·湖北·模拟预测)数列 中, , ,且 , (1)求数列 的通项公式; 【答案】(1) 【分析】(1)依题意可得 ,即可得到 为等差数列,即可得 到 ,再利用累加法计算可得; 【详解】(1)因为 ,所以 , 所以数列 是公差为 的等差数列,其首项为 , 于是 , 则 , , , , , 所以 , 所以 ;而 符合该式,故 . 2.(23-24高二下·四川成都·阶段练习)已知数列 满足: . (1)求数列 的通项公式; 【答案】(1) ; 【分析】(1)根据给定条件,利用累加法求出 的通项公式. 【详解】(1)数列 中, , 当 时, ,显然 满足上式, 所以数列 的通项公式是 .3.(23-24高二下·山东淄博·阶段练习)(1)在数列 中,已知 ,且 ,求 【答案】(1) ; 【分析】(1)利用累加法及等差数列等比数列的求和公式即可求解; 【详解】(1)因为 ,所以 , 所以 , ,…, , 将以上各式相加得 . 因为 ,所以 , 所以 . 4.(2024高三·全国·专题练习)在①当 时, ,②数列 与 均 为等差数列这两个条件中任选一个,补充在下面问题中,并解答. 已知正项数列 满足 ,______. (1)求数列 的通项公式; 注:若选择多个条件分别解答,则按第一个解答计分. 【答案】(1) (2)证明见解析 【分析】(1)选条件①,利用累加法求通项公式;选条件②,根据等差数列的通项公式求 通项公式; 【详解】(1)方案一:选条件①. 当 时, , 又 ,符合上式, 因此数列 的通项公式为 . 方案二:选条件②. 由数列 为等差数列,可设 , 则 ,即 , 因此 .又数列 为等差数列,因此 ,从而 . 又 ,所以 , 因此数列 的通项公式为 . 5.(23-24高二上·河北唐山·期末)数列 满足 , , . (1)求 , ; (2)证明:数列 是等差数列; 【答案】(1) , (2)证明见解析 【分析】(1)令 , ,结合递推关系即可求解; (2)利用等差数列的定义证明即可; 【详解】(1)令 ,得 ; 令 ,得 . (2) , 所以 是以 为首项,2为公差的等差数列. 6.(23-24高三下·山东·开学考试)已知数列 满足 . (1)求数列 的通项公式; 【答案】(1) 【分析】(1)利用累加法计算可得; 【详解】(1)因为 ,即 ,所以 , , 累加得 ,又 ,所以 , 经检验 时符合,所以 . 7.(23-24高三下·江西·阶段练习)已知数列 的前 项和为 ,且 . (1)求 的通项公式; 【答案】(1) 【分析】(1)先利用 整理,然后利用累乘法求解通项公式; (2)先求出 ,然后直接用等差等比的求和公式求解即可.【详解】(1)令 ,得 . 当 时,因为 ,所以 , 两式相减得 ,即 ,所以 , 所以 ,即 , 所以 又 ,符合上式,所以 ; 8.(2024高三·全国·专题练习)设 为数列 的前n项和,已知 .求 的通项公式; 【答案】 【分析】 利用 的关系式推得 ,再利用累乘法即可得解. 【详解】因为 , 当 时, ,即 ; 当 时, ,即 , 当 时, ,所以 , 整理得 , 当 时,易知 ,则 , 所以 ,则 , 当 时, , 都满足上式,所以 . 9.(23-24高三下·黑龙江哈尔滨·开学考试)记数列 的前 项和 ,对任意正整数 , 有 ,且 . (1)求数列 的通项公式; 【答案】(1) 【分析】(1)由 得出数列 的递推关系,然后由连乘法求得通项 ; 【详解】(1)由 ,则 ,两式相减得: ,整理得: ,即 时, , 所以 时, , 又 时, ,得 ,也满足上式. 故 . 10.(23-24高二上·河北邢台·期末)已知数列 满足 . (1)求 的通项公式; 【答案】(1) 【分析】(1)根据题意,由累乘法即可求得数列的通项公式; 【详解】(1)由题意 , ,所以 ,即 , 所以 , , 当 时,也满足 , 所以数列 的通项公式为 11.(23-24高三下·山东德州·开学考试)已知数列 前 项和为 ,满足 . (1)求数列 的通项公式; 【答案】(1) 【分析】(1)由 作差得到 ,再利用累乘法计算可得; 【详解】(1)因为 ,当 时, , 所以 , 当 时, , 所以 , 所以 , , , , ,累乘得 所以 , 当 时 也成立,所以 . 12.(2024·广东深圳·一模)设 为数列 的前 项和,已知 ,且 为 等差数列. (1)求证:数列 为等差数列; (2)若数列 满足 ,且 ,设 为数列 的前 项和,集合 ,求 (用列举法表示). 【答案】(1)证明见解析 (2) 【分析】(1)设等差数列 的公差为d,由题意可得 、 ,解得 ,结合 求得 ,即可证明; (2)由(1)可得 ,根据累乘法可得 ,结合 裂项相消求和法计算即可求解. 【详解】(1)设等差数列 的公差为d,则 ,即 ,① 因为 ,所以由 ,得 .② 由①、②解得 ,所以 ,即 , 当 时, , 当 时, ,上式也成立,所以 , 所以数列 是等差数列. (2)由(1)可知 , 当 时, ,因为 满足上式,所以 . , 因为当 时, ,所以 .