当前位置:首页>文档>专题12正余弦定理妙解三角形问题和最值问题(练习)(解析版)_新高考复习资料_2024年新高考资料_二轮复习资料_2024年高考数学二轮复习讲练测(新教材新高考)_教师版(含答案解析)

专题12正余弦定理妙解三角形问题和最值问题(练习)(解析版)_新高考复习资料_2024年新高考资料_二轮复习资料_2024年高考数学二轮复习讲练测(新教材新高考)_教师版(含答案解析)

  • 2026-04-21 04:44:16 2026-04-21 04:44:16

文档预览

专题12正余弦定理妙解三角形问题和最值问题(练习)(解析版)_新高考复习资料_2024年新高考资料_二轮复习资料_2024年高考数学二轮复习讲练测(新教材新高考)_教师版(含答案解析)
专题12正余弦定理妙解三角形问题和最值问题(练习)(解析版)_新高考复习资料_2024年新高考资料_二轮复习资料_2024年高考数学二轮复习讲练测(新教材新高考)_教师版(含答案解析)
专题12正余弦定理妙解三角形问题和最值问题(练习)(解析版)_新高考复习资料_2024年新高考资料_二轮复习资料_2024年高考数学二轮复习讲练测(新教材新高考)_教师版(含答案解析)
专题12正余弦定理妙解三角形问题和最值问题(练习)(解析版)_新高考复习资料_2024年新高考资料_二轮复习资料_2024年高考数学二轮复习讲练测(新教材新高考)_教师版(含答案解析)
专题12正余弦定理妙解三角形问题和最值问题(练习)(解析版)_新高考复习资料_2024年新高考资料_二轮复习资料_2024年高考数学二轮复习讲练测(新教材新高考)_教师版(含答案解析)
专题12正余弦定理妙解三角形问题和最值问题(练习)(解析版)_新高考复习资料_2024年新高考资料_二轮复习资料_2024年高考数学二轮复习讲练测(新教材新高考)_教师版(含答案解析)
专题12正余弦定理妙解三角形问题和最值问题(练习)(解析版)_新高考复习资料_2024年新高考资料_二轮复习资料_2024年高考数学二轮复习讲练测(新教材新高考)_教师版(含答案解析)
专题12正余弦定理妙解三角形问题和最值问题(练习)(解析版)_新高考复习资料_2024年新高考资料_二轮复习资料_2024年高考数学二轮复习讲练测(新教材新高考)_教师版(含答案解析)
专题12正余弦定理妙解三角形问题和最值问题(练习)(解析版)_新高考复习资料_2024年新高考资料_二轮复习资料_2024年高考数学二轮复习讲练测(新教材新高考)_教师版(含答案解析)
专题12正余弦定理妙解三角形问题和最值问题(练习)(解析版)_新高考复习资料_2024年新高考资料_二轮复习资料_2024年高考数学二轮复习讲练测(新教材新高考)_教师版(含答案解析)
专题12正余弦定理妙解三角形问题和最值问题(练习)(解析版)_新高考复习资料_2024年新高考资料_二轮复习资料_2024年高考数学二轮复习讲练测(新教材新高考)_教师版(含答案解析)
专题12正余弦定理妙解三角形问题和最值问题(练习)(解析版)_新高考复习资料_2024年新高考资料_二轮复习资料_2024年高考数学二轮复习讲练测(新教材新高考)_教师版(含答案解析)
专题12正余弦定理妙解三角形问题和最值问题(练习)(解析版)_新高考复习资料_2024年新高考资料_二轮复习资料_2024年高考数学二轮复习讲练测(新教材新高考)_教师版(含答案解析)
专题12正余弦定理妙解三角形问题和最值问题(练习)(解析版)_新高考复习资料_2024年新高考资料_二轮复习资料_2024年高考数学二轮复习讲练测(新教材新高考)_教师版(含答案解析)
专题12正余弦定理妙解三角形问题和最值问题(练习)(解析版)_新高考复习资料_2024年新高考资料_二轮复习资料_2024年高考数学二轮复习讲练测(新教材新高考)_教师版(含答案解析)
专题12正余弦定理妙解三角形问题和最值问题(练习)(解析版)_新高考复习资料_2024年新高考资料_二轮复习资料_2024年高考数学二轮复习讲练测(新教材新高考)_教师版(含答案解析)
专题12正余弦定理妙解三角形问题和最值问题(练习)(解析版)_新高考复习资料_2024年新高考资料_二轮复习资料_2024年高考数学二轮复习讲练测(新教材新高考)_教师版(含答案解析)
专题12正余弦定理妙解三角形问题和最值问题(练习)(解析版)_新高考复习资料_2024年新高考资料_二轮复习资料_2024年高考数学二轮复习讲练测(新教材新高考)_教师版(含答案解析)
专题12正余弦定理妙解三角形问题和最值问题(练习)(解析版)_新高考复习资料_2024年新高考资料_二轮复习资料_2024年高考数学二轮复习讲练测(新教材新高考)_教师版(含答案解析)
专题12正余弦定理妙解三角形问题和最值问题(练习)(解析版)_新高考复习资料_2024年新高考资料_二轮复习资料_2024年高考数学二轮复习讲练测(新教材新高考)_教师版(含答案解析)
专题12正余弦定理妙解三角形问题和最值问题(练习)(解析版)_新高考复习资料_2024年新高考资料_二轮复习资料_2024年高考数学二轮复习讲练测(新教材新高考)_教师版(含答案解析)
专题12正余弦定理妙解三角形问题和最值问题(练习)(解析版)_新高考复习资料_2024年新高考资料_二轮复习资料_2024年高考数学二轮复习讲练测(新教材新高考)_教师版(含答案解析)
专题12正余弦定理妙解三角形问题和最值问题(练习)(解析版)_新高考复习资料_2024年新高考资料_二轮复习资料_2024年高考数学二轮复习讲练测(新教材新高考)_教师版(含答案解析)
专题12正余弦定理妙解三角形问题和最值问题(练习)(解析版)_新高考复习资料_2024年新高考资料_二轮复习资料_2024年高考数学二轮复习讲练测(新教材新高考)_教师版(含答案解析)
专题12正余弦定理妙解三角形问题和最值问题(练习)(解析版)_新高考复习资料_2024年新高考资料_二轮复习资料_2024年高考数学二轮复习讲练测(新教材新高考)_教师版(含答案解析)
专题12正余弦定理妙解三角形问题和最值问题(练习)(解析版)_新高考复习资料_2024年新高考资料_二轮复习资料_2024年高考数学二轮复习讲练测(新教材新高考)_教师版(含答案解析)
专题12正余弦定理妙解三角形问题和最值问题(练习)(解析版)_新高考复习资料_2024年新高考资料_二轮复习资料_2024年高考数学二轮复习讲练测(新教材新高考)_教师版(含答案解析)
专题12正余弦定理妙解三角形问题和最值问题(练习)(解析版)_新高考复习资料_2024年新高考资料_二轮复习资料_2024年高考数学二轮复习讲练测(新教材新高考)_教师版(含答案解析)
专题12正余弦定理妙解三角形问题和最值问题(练习)(解析版)_新高考复习资料_2024年新高考资料_二轮复习资料_2024年高考数学二轮复习讲练测(新教材新高考)_教师版(含答案解析)
专题12正余弦定理妙解三角形问题和最值问题(练习)(解析版)_新高考复习资料_2024年新高考资料_二轮复习资料_2024年高考数学二轮复习讲练测(新教材新高考)_教师版(含答案解析)
专题12正余弦定理妙解三角形问题和最值问题(练习)(解析版)_新高考复习资料_2024年新高考资料_二轮复习资料_2024年高考数学二轮复习讲练测(新教材新高考)_教师版(含答案解析)
专题12正余弦定理妙解三角形问题和最值问题(练习)(解析版)_新高考复习资料_2024年新高考资料_二轮复习资料_2024年高考数学二轮复习讲练测(新教材新高考)_教师版(含答案解析)
专题12正余弦定理妙解三角形问题和最值问题(练习)(解析版)_新高考复习资料_2024年新高考资料_二轮复习资料_2024年高考数学二轮复习讲练测(新教材新高考)_教师版(含答案解析)
专题12正余弦定理妙解三角形问题和最值问题(练习)(解析版)_新高考复习资料_2024年新高考资料_二轮复习资料_2024年高考数学二轮复习讲练测(新教材新高考)_教师版(含答案解析)
专题12正余弦定理妙解三角形问题和最值问题(练习)(解析版)_新高考复习资料_2024年新高考资料_二轮复习资料_2024年高考数学二轮复习讲练测(新教材新高考)_教师版(含答案解析)
专题12正余弦定理妙解三角形问题和最值问题(练习)(解析版)_新高考复习资料_2024年新高考资料_二轮复习资料_2024年高考数学二轮复习讲练测(新教材新高考)_教师版(含答案解析)
专题12正余弦定理妙解三角形问题和最值问题(练习)(解析版)_新高考复习资料_2024年新高考资料_二轮复习资料_2024年高考数学二轮复习讲练测(新教材新高考)_教师版(含答案解析)
专题12正余弦定理妙解三角形问题和最值问题(练习)(解析版)_新高考复习资料_2024年新高考资料_二轮复习资料_2024年高考数学二轮复习讲练测(新教材新高考)_教师版(含答案解析)
专题12正余弦定理妙解三角形问题和最值问题(练习)(解析版)_新高考复习资料_2024年新高考资料_二轮复习资料_2024年高考数学二轮复习讲练测(新教材新高考)_教师版(含答案解析)
专题12正余弦定理妙解三角形问题和最值问题(练习)(解析版)_新高考复习资料_2024年新高考资料_二轮复习资料_2024年高考数学二轮复习讲练测(新教材新高考)_教师版(含答案解析)
专题12正余弦定理妙解三角形问题和最值问题(练习)(解析版)_新高考复习资料_2024年新高考资料_二轮复习资料_2024年高考数学二轮复习讲练测(新教材新高考)_教师版(含答案解析)
专题12正余弦定理妙解三角形问题和最值问题(练习)(解析版)_新高考复习资料_2024年新高考资料_二轮复习资料_2024年高考数学二轮复习讲练测(新教材新高考)_教师版(含答案解析)
专题12正余弦定理妙解三角形问题和最值问题(练习)(解析版)_新高考复习资料_2024年新高考资料_二轮复习资料_2024年高考数学二轮复习讲练测(新教材新高考)_教师版(含答案解析)
专题12正余弦定理妙解三角形问题和最值问题(练习)(解析版)_新高考复习资料_2024年新高考资料_二轮复习资料_2024年高考数学二轮复习讲练测(新教材新高考)_教师版(含答案解析)
专题12正余弦定理妙解三角形问题和最值问题(练习)(解析版)_新高考复习资料_2024年新高考资料_二轮复习资料_2024年高考数学二轮复习讲练测(新教材新高考)_教师版(含答案解析)
专题12正余弦定理妙解三角形问题和最值问题(练习)(解析版)_新高考复习资料_2024年新高考资料_二轮复习资料_2024年高考数学二轮复习讲练测(新教材新高考)_教师版(含答案解析)
专题12正余弦定理妙解三角形问题和最值问题(练习)(解析版)_新高考复习资料_2024年新高考资料_二轮复习资料_2024年高考数学二轮复习讲练测(新教材新高考)_教师版(含答案解析)
专题12正余弦定理妙解三角形问题和最值问题(练习)(解析版)_新高考复习资料_2024年新高考资料_二轮复习资料_2024年高考数学二轮复习讲练测(新教材新高考)_教师版(含答案解析)
专题12正余弦定理妙解三角形问题和最值问题(练习)(解析版)_新高考复习资料_2024年新高考资料_二轮复习资料_2024年高考数学二轮复习讲练测(新教材新高考)_教师版(含答案解析)
专题12正余弦定理妙解三角形问题和最值问题(练习)(解析版)_新高考复习资料_2024年新高考资料_二轮复习资料_2024年高考数学二轮复习讲练测(新教材新高考)_教师版(含答案解析)
专题12正余弦定理妙解三角形问题和最值问题(练习)(解析版)_新高考复习资料_2024年新高考资料_二轮复习资料_2024年高考数学二轮复习讲练测(新教材新高考)_教师版(含答案解析)
专题12正余弦定理妙解三角形问题和最值问题(练习)(解析版)_新高考复习资料_2024年新高考资料_二轮复习资料_2024年高考数学二轮复习讲练测(新教材新高考)_教师版(含答案解析)
专题12正余弦定理妙解三角形问题和最值问题(练习)(解析版)_新高考复习资料_2024年新高考资料_二轮复习资料_2024年高考数学二轮复习讲练测(新教材新高考)_教师版(含答案解析)
专题12正余弦定理妙解三角形问题和最值问题(练习)(解析版)_新高考复习资料_2024年新高考资料_二轮复习资料_2024年高考数学二轮复习讲练测(新教材新高考)_教师版(含答案解析)
专题12正余弦定理妙解三角形问题和最值问题(练习)(解析版)_新高考复习资料_2024年新高考资料_二轮复习资料_2024年高考数学二轮复习讲练测(新教材新高考)_教师版(含答案解析)
专题12正余弦定理妙解三角形问题和最值问题(练习)(解析版)_新高考复习资料_2024年新高考资料_二轮复习资料_2024年高考数学二轮复习讲练测(新教材新高考)_教师版(含答案解析)
专题12正余弦定理妙解三角形问题和最值问题(练习)(解析版)_新高考复习资料_2024年新高考资料_二轮复习资料_2024年高考数学二轮复习讲练测(新教材新高考)_教师版(含答案解析)
专题12正余弦定理妙解三角形问题和最值问题(练习)(解析版)_新高考复习资料_2024年新高考资料_二轮复习资料_2024年高考数学二轮复习讲练测(新教材新高考)_教师版(含答案解析)
专题12正余弦定理妙解三角形问题和最值问题(练习)(解析版)_新高考复习资料_2024年新高考资料_二轮复习资料_2024年高考数学二轮复习讲练测(新教材新高考)_教师版(含答案解析)
专题12正余弦定理妙解三角形问题和最值问题(练习)(解析版)_新高考复习资料_2024年新高考资料_二轮复习资料_2024年高考数学二轮复习讲练测(新教材新高考)_教师版(含答案解析)
专题12正余弦定理妙解三角形问题和最值问题(练习)(解析版)_新高考复习资料_2024年新高考资料_二轮复习资料_2024年高考数学二轮复习讲练测(新教材新高考)_教师版(含答案解析)
专题12正余弦定理妙解三角形问题和最值问题(练习)(解析版)_新高考复习资料_2024年新高考资料_二轮复习资料_2024年高考数学二轮复习讲练测(新教材新高考)_教师版(含答案解析)
专题12正余弦定理妙解三角形问题和最值问题(练习)(解析版)_新高考复习资料_2024年新高考资料_二轮复习资料_2024年高考数学二轮复习讲练测(新教材新高考)_教师版(含答案解析)
专题12正余弦定理妙解三角形问题和最值问题(练习)(解析版)_新高考复习资料_2024年新高考资料_二轮复习资料_2024年高考数学二轮复习讲练测(新教材新高考)_教师版(含答案解析)
专题12正余弦定理妙解三角形问题和最值问题(练习)(解析版)_新高考复习资料_2024年新高考资料_二轮复习资料_2024年高考数学二轮复习讲练测(新教材新高考)_教师版(含答案解析)
专题12正余弦定理妙解三角形问题和最值问题(练习)(解析版)_新高考复习资料_2024年新高考资料_二轮复习资料_2024年高考数学二轮复习讲练测(新教材新高考)_教师版(含答案解析)
专题12正余弦定理妙解三角形问题和最值问题(练习)(解析版)_新高考复习资料_2024年新高考资料_二轮复习资料_2024年高考数学二轮复习讲练测(新教材新高考)_教师版(含答案解析)
专题12正余弦定理妙解三角形问题和最值问题(练习)(解析版)_新高考复习资料_2024年新高考资料_二轮复习资料_2024年高考数学二轮复习讲练测(新教材新高考)_教师版(含答案解析)
专题12正余弦定理妙解三角形问题和最值问题(练习)(解析版)_新高考复习资料_2024年新高考资料_二轮复习资料_2024年高考数学二轮复习讲练测(新教材新高考)_教师版(含答案解析)
专题12正余弦定理妙解三角形问题和最值问题(练习)(解析版)_新高考复习资料_2024年新高考资料_二轮复习资料_2024年高考数学二轮复习讲练测(新教材新高考)_教师版(含答案解析)
专题12正余弦定理妙解三角形问题和最值问题(练习)(解析版)_新高考复习资料_2024年新高考资料_二轮复习资料_2024年高考数学二轮复习讲练测(新教材新高考)_教师版(含答案解析)
专题12正余弦定理妙解三角形问题和最值问题(练习)(解析版)_新高考复习资料_2024年新高考资料_二轮复习资料_2024年高考数学二轮复习讲练测(新教材新高考)_教师版(含答案解析)
专题12正余弦定理妙解三角形问题和最值问题(练习)(解析版)_新高考复习资料_2024年新高考资料_二轮复习资料_2024年高考数学二轮复习讲练测(新教材新高考)_教师版(含答案解析)
专题12正余弦定理妙解三角形问题和最值问题(练习)(解析版)_新高考复习资料_2024年新高考资料_二轮复习资料_2024年高考数学二轮复习讲练测(新教材新高考)_教师版(含答案解析)

文档信息

文档格式
docx
文档大小
5.166 MB
文档页数
70 页
上传时间
2026-04-21 04:44:16

文档内容

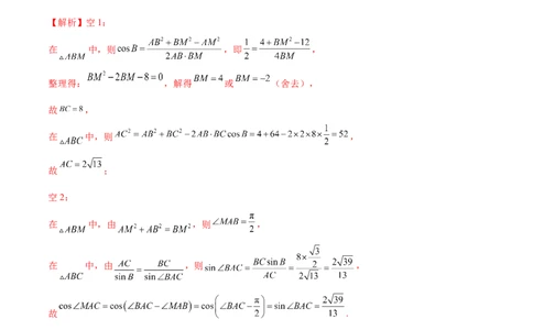
专题 12 正余弦定理妙解三角形问题和最值问题 目 录 01 倍长定比分线模型...........................................................................................................................2 02 倍角定理..........................................................................................................................................6 03 角平分线模型.................................................................................................................................10 04 隐圆问题........................................................................................................................................17 05 正切比值与和差问题.....................................................................................................................19 06 四边形定值和最值.........................................................................................................................24 07 边角特殊,构建坐标系.................................................................................................................30 08 利用正、余弦定理求解与三角形的周长、面积有关的问题.........................................................40 09 利用正,余弦定理求解三角形中的最值或范围............................................................................44 10 三角形中的几何计算.....................................................................................................................55 11 三角形的形状判定.........................................................................................................................59 【淘宝店铺:向阳百分百】01 倍长定比分线模型 1.(2023·四川成都·统考一模)在 中,角 所对的边分别为 ,且 是 的中点, ,则 , . 【答案】 / 【解析】空1: 在 中,则 ,即 , 整理得: ,解得 或 (舍去), 故 , 在 中,则 , 故 ; 空2: 在 中,由 ,则 , 在 中,由 ,则 , 故 . 故答案为: ; . 2.(2023·广东广州·高三华南师大附中校考阶段练习)在① ,② ,这两个条件中任选一个,补充在下面的问题中,并解答问题. 【淘宝店铺:向阳百分百】在 中,内角 的对边分别为 ,且满足____. (1)求 ; (2)若 的面积为 在边 上,且 , ,求 的值. 注:如果选择多个条件分别解答,按第一个解答记分. 【解析】(1)方案一:选条件①. 由 ,可得 , 由正弦定理得 , 因为 ,所以 , 所以 , 故 , 又 ,于是 ,即 , 因为 ,所以 方案二:选条件②. ,由正弦定理得 , 即 , , 由余弦定理得 又 ,所以 (2)由题意知 ,得 .① ,即 ② 联立①②解得 而 , 【淘宝店铺:向阳百分百】由余弦定理得 ,故 即 的值为 3.(2023·辽宁·高三校联考期末)在① ,② ,③ ,这三个条件中任选一个,补充在下面的问题中,并解答问题,在△ABC中, 内角A,B,C的对边分别为a,b,c,且满足 . (1)求C; (2)若△ABC的面积为 ,D在边AC上,且CD= CA,求BD的最小值. 【解析】(1)方案一:选条件①. 由 ,可得 , 由正弦定理得 , 因为 ,所以 , 所以 , 故 , 又 ,于是 ,即 , 因为 ,所以 . 方案二:选条件②. 因为 ,所以由正弦定理及同角三角函数的基本关系式得 ,即 , 因为 ,所以 , 【淘宝店铺:向阳百分百】又 所以 ,因为 ,所以 . 方案三:选条件③. ,由正弦定理得 , 即 ,∴ ,∴由余弦下定得 . 又 ,所以 . (2)由题意知 ,得 . 由余弦定理得 , 当且仅当 且 ,即 时取等号,所以 的最小值为 . 4.(2023·江苏南京·高三统考期末)如图,设 中角 、 、 所对的边分别为 、 、 , 为 边上的中线,已知 , , . (1)求边 、 的长度; (2)求 的面积; (3)点 为 上一点, ,过点 的直线与边 、 (不含端点)分别交于 、 .若 ,求 的值. 【解析】(1)因为 , 【淘宝店铺:向阳百分百】所以, ,即 , 所以, ,即 ,即 . 又因为 ,所以 , . (2)设 ,因为 为 边上的中线, 所以, , 则 , , ,① 整理得 ,即 , 得 或 , 由①,得 ,所以, ,则 , 故 , 因此, . (3)由(2)知, , 为 的中点,则 . 设 , ,其中 、 . 所以 ,得 . 又 、 、 三点共线,则 、 共线, 【淘宝店铺:向阳百分百】设 ,则 ,所以, , 因为 、 不共线,则 ,即 , 由 ,得 , 又 , 所以 , 即 , 又因为 , 所以, ,所以, ,解得 , 所以: , , 所以 . 02 倍角定理 5.(2023·河南·高三校联考阶段练习)从① ;② ;③ ,这三个条件中任选一个,补充在下面的横线上并解答问题. 在锐角 中,角 所对的边分别为 ,且________. (1)证明: ; (2)求 的取值范围. 注:如果选择多个条件分别解答,按第一个解答计分. 【淘宝店铺:向阳百分百】【解析】(1)选择①:由 及余弦定理可得 ; 即 , 又 , 所以 , 即 ,可得 . 又易知 ,可得 , 所以 或 , 即 或 (舍), 故 . 选择②:由 及 ,得 , 则由正弦定理得 , 又 , , 即 , 所以 . 又 ,可得 , 所以 , 故 . 选择③:由 可得 , 即 ,所以 . 【淘宝店铺:向阳百分百】又 ,可得 , 所以 , 故 . (2)令 , 由(1)可知 ,可得 . 由锐角 可得 , 即 ,解得 , 所以 . 令 , 根据对勾函数的性质知 在 上单调递增, 可得 , 即 的取值范围是 . 6.(2023·黑龙江绥化·高三校考阶段练习)已知a,b,c分别为 三个内角A,B,C的对边, . (1)证明: ; (2)若 ,且 为锐角三角形,求 的取值范围. 【淘宝店铺:向阳百分百】【解析】(1)证明:∵ , ∵ ,∴ , ∴ ,∴ , ∴ , ∴ ,∴ , ∴ , ∴A,B,C∈(0,π),∴ 即 . (2)∵ ,且a=2,∴ ∵A=2C,∴ , ∵ 为锐角三角形,所以 , ∴ ,∴ , 由a=2, ,所以 ,则 , 且 , 设 , , 设 ,则 , ∴ , , 所以 , 为减函数, 【淘宝店铺:向阳百分百】∴ . 7.(2023·湖南·高三校联考期末)记 的内角 的对边分别为 ,已知 ,且 . (1)证明: ; (2)若 为锐角三角形,且 ,求 的取值范围. 【解析】(1)证明:依题意知 , 故 ,即 , 由余弦定理得 , 代入 可得 , 因为 ,所以 ,即 ; (2)由题意 为锐角三角形,且 , 由(1)知,则 , 由正弦定理得, ,其中 为锐角,所以 , 因为 ,则 ,解得 , 则 ,则 ,即 , 因此 . 【淘宝店铺:向阳百分百】03 角平分线模型 8.(2023·山东德州·德州市第一中学校联考模拟预测)记 的内角 的对边分别为 , , , 已知 . (1)求角 和角 之间的等式关系; (2)若 , 为 的角平分线,且 , 的面积为 ,求 的长. 【解析】(1)由 得 , 因为 ,所以 ,故 , 即 , , 由于 ,故 , 则 或 ; (2)由(1) 或 , 因为 ,得 , , 为 的角平分线,故 , 故 , 因为 , 在 中,由正弦定理得 , 即 ,解得 , 【淘宝店铺:向阳百分百】在 中,由正弦定理得 , 即 ,解得 , 由 的面积为 ,得 , 因为 ,所以 ,解得 , 因为 ,故 ,所以 , 所以 . 9.(2023·山东济南·高三山东省济南市莱芜第一中学校考阶段练习)在 中,角A,B,C所对的边分 别a,b,c,且 (1)求角A的值; (2)若 ,BC边上的中线长为1, 为角A的角平分线,求 的长. 【解析】(1) ,由正弦定理得, , 因为 , 所以 , 因为 ,所以 ,故 , 因为 ,所以 ; (2) ,由正弦定理得 ,即 , 如图所示, 为 的中点,故 , 由(1)可知, , 【淘宝店铺:向阳百分百】延长 至点 ,使 ,故 , 连接 ,延长 , 相交于点 , 因为 ,所以 ≌ , 故 , ,所以 , 因为 ,所以 ,且 , 故 为等边三角形, 设 ,则 , 在 中,由余弦定理得 , 即 ,解得 , 故 ,则 , , 因为 ,所以 , 在 中,由余弦定理得 , 故 , 所以 . 10.(2023·河南·模拟预测)在 中,内角A,B,C的对边分别是a,b,c, 的面积记为S,已 知 , . (1)求A; (2)若BC边上的中线长为1,AD为角A的角平分线,求CD的长. 【解析】(1)因为 ,所以 ,即 , 由正弦定理可得 ,即 所以 . 【淘宝店铺:向阳百分百】因为 ,所以 . (2)设AE为BC边上的中线,可得 , 如下图所示: 则 , 所以 ,解得 . 因为 , 所以 , 所以 ;由 可得 , 利用余弦定理可得 , 所以 . 11.(2023•甲卷)在 中, , , , 为 上一点, 为 的平 分线,则 . 【答案】2. 【解析】如图, 在 中, , , 由正弦定理可得 , ,又 , , , 【淘宝店铺:向阳百分百】又 为 的平分线,且 , ,又 , , . 故答案为:2. 12.(2023·湖南邵阳·高三湖南省邵东市第一中学校考阶段练习)记 的内角A,B,C的对边分别为 a,b,c,已知 . (1)求A; (2)若 , , 的角平分线交BC于点D,求 的长. 【解析】(1)∵ , ∴由正弦定理得: , ∴ , 即 , 又∵ , ∴ ,则有 , ∴ , 即 , 又∵ ,∴ , ∴ , 【淘宝店铺:向阳百分百】∴ , ∴ ,即 , ∵ , ∴ ,解得 ; (2)由 得, ,所以 , 由(1)知, , 由余弦定理得: , 因为 ,所以 , ∴ , 由 得: , ∴ . 13.(2023·四川绵阳·统考二模)在三角形ABC中,角A、B、C所对边分别为a,b,c.已知 , . (1)求边b的长; (2)延长BC至D,使得 ,连接AD.已知 为锐角,且它的角平分线与AB交于点E,若 【淘宝店铺:向阳百分百】外接圆半径为 .求 长. 【解析】(1)因为 , 所以由正弦定理可得 , 所以 又因为 ,所以 , ∴ ,即 ,∴ (2)由(1)可知, 在 中,由正弦定理: , 可得: ,所以 , ∵ 为锐角,∴ 由 可得: 即 ① 因为 ,所以 , 在 中,由余弦定理可求得 ,求得 , 代入①可解得: 【淘宝店铺:向阳百分百】04 隐圆问题 14.(2023·湖南长沙·长郡中学校考模拟预测)阿波罗尼斯(古希腊数学家,约公元前262-190年)的著作 《圆锥曲线论》是古代世界光辉的科学成果,它将圆锥曲线的性质网罗殆尽几乎使后人没有插足的余地.他 证明过这样一个命题:平面内与两定点距离的比为常数k( 且 )的点的轨迹是圆,后人将这个圆 称为阿氏圆现有 , , ,则当 的面积最大时,它的内切圆的半径为 . 【答案】 【解析】∵ ,∴ 为非零常数,故点B的轨迹是圆. 以线段 中点为原点, 所在直线为x轴建立直角坐标系,则 , ,设 , ∵ , , ,整理得 , 因此,当 面积最大时, 边上的高为圆的半径4.此时 , , 设内切圆的半径为r,则 ,解得 . 故答案为: 15.(2023·江苏南京·高三南京市雨花台中学校考阶段练习)阿波罗尼斯的著作《圆锥曲线论》是古代世 界光辉的科学成果,它将圆锥曲线的性质网罗殆尽几乎使后人没有插足的余地.他证明过这样一个命题:平 面内与两定点距离的比为常数 ( 且 )的点的轨迹是圆,后人将这个圆称为阿氏圆,现有 , ,当 的面积最大时,则 的长为 . 【答案】 【解析】因为 ,由正弦定理可得 ,即 ,因为 ,不妨令 , , 建立如图所示的平面直角坐标系, 【淘宝店铺:向阳百分百】设点 的坐标为 ,点 的轨迹方程满足: , 整理可得: , , 即点 的轨迹是以 为圆心,4为半径的圆(除与 轴两交点外), 当点 的坐标 或 时三角形的面积最大,其最大值为 , 由勾股定理可得 . 故答案为: . 16.(2023·四川·校联考二模)阿波罗尼奥斯是古希腊时期与阿基米德、欧几里得齐名的数学家,以其姓 氏命名的 “阿氏圆”,是“指平面内到两定点的距离的比值为常数 的动点轨迹”,设 的角A, B,C所对的边分别为a,b,c,顶点C在以A,B为定点, 的一个阿氏圆上,且 , 的面 【淘宝店铺:向阳百分百】积为 ,则 . 【答案】 【解析】由已知,不妨设 , , , 解得 ,则 , 由余弦定理有 , 所以 . 17.(2023·内蒙古赤峰·高三统考阶段练习)材料一:已知三角形三边长分别为 ,则三角形的面积为 ,其中 .这个公式被称为海伦一秦九韶公式.材料二:阿波罗尼奥斯 (Apollonius)在《圆锥曲线论》中提出椭圆定义:我们把平面内与两个定点 的距离的和等于常数 (大于 )的点的轨迹叫做椭圆.根据材料一或材料二解答:已知 中, ,则 面积的最大值为( ) A.6 B.10 C.12 D.2 【答案】C 【解析】用材料一:根据海伦-秦九韶公式, ,其中 , 由题意,可知 , , ,且 , 故 , 当且仅当 ,即 时取等号. 用材料二:以 的中点为原点, 所在直线为 轴, 的垂直平分线为 轴, 由椭圆的定义易知,椭圆方程为 , 【淘宝店铺:向阳百分百】所以 面积 ( 为 到 的距离),, 可知当点 位于短轴的顶点时, 取到最大值为4, 所以 , 当且仅当 时取等号. 故选:C. 05 正切比值与和差问题 18.(2023·江苏南京·高三金陵中学校考期中)已知△ABC为锐角三角形,设角A,B,C所对的边分别为 a,b,c.R为△ABC外接圆半径. (1)若R=1,且满足 ,求 的取值范围; (2)若 ,求 的最小值. 【解析】(1)因为 , 所以由正弦定理,得 , 又由余弦定理,得 ,所以 , 即 ,所以 , 又因为△ABC为锐角三角形,所以 , 所以 , 【淘宝店铺:向阳百分百】因为△ABC为锐角三角形,所以 ,即 ,所以 , 所以 ,即 ,所以 , 所以 , 即 的取值范围为 . (2)因为 , 所以 ,即 , 又因为△ABC为锐角三角形,所以 ,所以 , 所以由正弦定理,得 , 又因为 ,所以 , 所以 ,即 , 两边同时除以 ,得 , 因为 且△ABC为锐角三角形, 所以 ,所以 所以 , 所以 , 令 ,则 , 所以 , 【淘宝店铺:向阳百分百】当且仅当 时,即 时等号成立, 所以 的最小值为 . 19.(多选题)(2023·湖北咸宁·高三统考期末) 的内角 , , 的对边分别为 , , ,且 , , ,则( ) A. B. C. 的面积为 D. 的周长为 【答案】BC 【解析】因为 , ,所以 , 由正弦定理知 , 化简得 , 所以 A, 因为 ,所以 ,所以 又因为 ,所以 , 故B正确; 由 ,可得 , 所以 , 所以 , 由正弦定理可得 ,即 故A错误; 故 的面积为: ,故C正确; 由余弦定理知 , 【淘宝店铺:向阳百分百】所以 , ,故 的周长为 ,故D错误; 故选:BC. 20.(2023·湖北·统考一模)锐角 中,角A所对的边为 , 的面积 ,给出以下结论:① ;② ;③ ; ④ 有最小值8.其中结论正确的是 A.1 B.2 C.3 D.4 【答案】D 【解析】分析:由三角形的面积公式得 ,结合正弦定理证得①正确;把①中的 用 表示, 化弦为切证得②正确;由 ,展开两角和的正切证得③正确;由 ,结合 ②转化为关于 的代数式,换元即可求得最值,证得④正确. 由 ,得 , 又 ,得 ,故①正确; 由 ,得 , 两边同时除以 ,可得 ,故②正确; 由 且 , 所以 ,整理移项得 , 故③正确; 由 , , 且 都是正数, 得 , 设 ,则 , , 当且仅当 ,即 时取“=”, 此时 , , 【淘宝店铺:向阳百分百】所以 的最小值是 ,故④正确,故选D. 21.(2023·江西·高三校联考阶段练习)在 中,角A、B、C的对边分别为a,b,c,且满足 . (1)求角B的大小; (2)若 ,求 的值. 【解析】(1)由题意得 ,所以 , 则由正弦定理得 , 因为 ,所以 , 因为 , 所以 ,所以 . (2) ,则 , 又 ,可得 , 因为 ,所以 , 则 ,所以 , 所以 ,则 . 06 四边形定值和最值 22.(2023·广东广州·高三广州市从化区从化中学校考阶段练习)广州市从化区政府拟在云岭湖建一个旅 游观光项目,设计方案如下:如图所示的圆O是圆形湖的边界,沿线段AB,BC,CD,DA建一个观景长 廊,其中A,B,C,D是观景长廊的四个出入口且都在圆O上,已知:BC=12百米,AB=8百米,在湖中 【淘宝店铺:向阳百分百】P处和湖边D处各建一个观景亭,且它们关于直线AC对称,在湖面建一条观景桥APC.观景亭的大小、 观景长廊、观景桥的宽度均忽略不计,设 . (1)当 时,求三角形区域ADC内的湖面面积的最大值; (2)若CD=8百米且规划建亭点P在三角形ABC区域内(不包括边界),试判断四边形ABCP内湖面面积是 否有最大值?若有,求出最大值,并写出此时 的值;若没有,请说明理由. 【解析】(1)∵ ,∴在 中, 令AD=x,CD=y, 在 中, ∴ , ∵ , ∴ (当且仅当x=y时,取等号) ∵ ,∴ (平方百米) 所以三角形区域ADC内的湖面面积最大值 平方百米. (2)∵点P和点D关于直线AC对称,∴ ,PC=CD=8 由(1)知 ,∴ ∵ ,∴ ∵点P在 区域内 ∴ ,∴ , ∵在 中, 在 中, ∴ 【淘宝店铺:向阳百分百】解得 或 (舍去), ∵ ,∴四边形ABCP内的湖面面积有最大值, 所以当 时,四边形ABCP内的湖面面积取到最大值,最大值为32平方百米 23.(2023·陕西西安·校联考模拟预测)在平面四边形 中, , , , . (1)若 ,求 的面积. (2)求 的最大值. 【解析】(1) 由 , , , 则 , 即 ,有 ,故 , 由 , ,则 为正三角形, 即有 , , 则 ; (2) 【淘宝店铺:向阳百分百】由 , , 作出 外接圆,令圆心为 , 则 外接圆半径 , 即有 , , 则 ,则 , 即有 , 即 , 则 ,当且仅当 、 、 三点共线时等号成立, 即 的最大值为 . 24.(2023·湖北·武汉市第三中学校联考一模)已知 中,角 , , 所对的边分别为 , , , 满足 . (1)求 的大小; (2)如图, ,在直线 的右侧取点 ,使得 ,求 为何值时,四边形 面积 的最大,并求出该最大值. 【淘宝店铺:向阳百分百】【解析】(1)由题意, , 由正弦定理得 即 又因为 中, , 所以 , 又因为 ,所以 ,即 . 又 ,故 . (2)由(1)知, , 因为 ,所以 为等边三角形, 在 中,由余弦定理得, , 而 , , 所以四边形 的面积为 , 因为 , , 当 ,即 时, 取得最大值,为 , 故四边形 面积的最大值为 . 25.(2023·辽宁·高三统考期中)如图,已知 三个内角 , , 的对边分别为 , , ,且 , , . 【淘宝店铺:向阳百分百】(1)求 ; (2) 是 外一点,连接 , 构成平面四边形 ,若 ,求 的最大值. 【解析】(1)由已知 , 则 , 所以 , 化简可得 , 又在 中, ,所以 , 则 ,即 , 又 , , 所以 , , 所以 ; (2)由(1)得 , 设 ,则 , 在 中,由正弦定理得 , 即 ,且 , 即 , 【淘宝店铺:向阳百分百】在 中, 由余弦定理得 , 即 , 由 ,所以 , 所以当 ,即 时, 取得最大值为 , 所以 的最大值为 . 26.(2023·上海浦东新·高三上海市建平中学校考期中)如图所示为某小区在草坪上活动区域的平面示意 图,在 四个点分别建造了供老年人活动的器械. 四个点所围成的四边形即为老年人的活 动区域.为了便于老年人在草坪上行走,小区建造了 , , , , , 六条步行道,其中 , , , .设 , , 为四边形 的面积. (1)若 ,求 的值: (2)求 的最大值,并求 取到最大值时 的值. 【解析】(1)在 中,由余弦定理得, , 在直角 中, ,故 , 设 和 分别为 和 的面积, 故 , , 【淘宝店铺:向阳百分百】故 . (2)在 中,由余弦定理得, , 在直角 中, , 设 和 分别为 和 的面积, 故 , , 可得 , 故 ,当且仅当 时取到. 27.(2023·黑龙江哈尔滨·高三哈九中校考阶段练习)2023年8月27日,哈尔滨马拉松在哈尔滨音乐公园 音乐长廊鸣枪开跑,比赛某补给站平面设计图如图所示,根据需要,在设计时要求 , , (1)若 , ,求 的值; (2)若 ,四边形ABCD面积为4,求 的值. 【解析】(1)在 中,∵ ,则 ∴ . 在 中,由正弦定理得, , ∴ . 由 ,得 , 【淘宝店铺:向阳百分百】∴ , ∴ . (2)在 、 中,由余弦定理得, , , 从而 ①, 由 得, ②, 得, , 即 , ∴ . 07 边角特殊,构建坐标系 28.(2023·江苏南京·统考一模)在△ABC中,角 所对的边分别为 .若 , 则△ABC的面积的最大值为 . 【答案】 【解析】方法1:在△ABC中,以线段 所在的直线为 轴, 的中垂线为 轴,建立平面直角坐标系, 则 , ,设 , 因为 ,所以 . 得 , 整理得 ,即 是如图1所示的圆上的动点. 【淘宝店铺:向阳百分百】如图2,当点C在y轴上时,即 时,△ABC面积最大, 故 ,当 时,即 时,△ABC面积取得最大值为 . 方法2:如图3,CD是△ABC边AB上的高,设 , , ,由 ,得 ,即 ,又 ,得 当且仅当 时取等号),所以 , 又 , 当且仅当 时,等号成立,即 , 将 与 代入 中,得 . 所以△ABC面积的最大值为 . 方法3:由三角形面积公式,得 ,即 , 【淘宝店铺:向阳百分百】由 ,得 ,由余弦定理,得 , 所以 (当且仅当 时取等号), 当 时,即 时, 取得最大值 ,即 ,所以△ABC面积的最大值为 . (也可以用基本不等式求 的最大值, 即 , 当 时,即 时取等号,所以△ABC面积的最大值为 .) 方法4:在△ABC中,由余弦定理,得 ,由 ,得 ,即 ,又 ,所以 ,即 ,故 ,又 ,所以 ,令 , ,得 ,令 ,得 , 0 极大值 即当 时, , ,所以△ABC面积的最大值为 . 29.(2023·全国·高三专题练习)在 中,角 所对的边分别为 , , .若 ,在 【淘宝店铺:向阳百分百】所在的平面内存在点 ,使得 ,则 的面积的最大值为 . 【答案】 【解析】以 所在直线为 轴, 边的垂直平分线为 轴,建立如图所示的平面直角坐标系,设 , , , , , . 由 ,得 ,即 ①,又 , 故 ②,其中①式可以看作以(0,0)为圆心,半径为 的圆的轨迹方程,②式可以看作 以 为圆心,半径为 的圆的轨迹方程, 由题意知两圆有公共点,即点 ,则 ③, 又 ,得 ④,由③,④得 , 因为 ,所以 , 当 时, 取得最大值 ,所以 的最大值为 . 故答案为: . 30.(2023·河北张家口·高三统考开学考试)在 中, , 为 边上的中线, , 则该三角形面积最大值为 . 【答案】8 【解析】法一:如图建立直角坐标系, 【淘宝店铺:向阳百分百】设 ,由 得: , 即: , 所以点A的轨迹为以 为圆心,半径为 的圆, , 所以当A到x轴距离最大时,即为半径 时, 面积最大. 故 . 法二:设 ,则 ,在 中, 由余弦定理可知, , , 而 , , 由图可知, 为半圆上的点与 连线的斜率,其最小值为直线 的斜率 , 故 面积的最大值为 . 故答案为:8. 31.(2023·四川成都·高三川大附中校考阶段练习)在 中,内角 所对的三边分别为 , 且 ,若 的面积为 ,则 的最小值是 . 【淘宝店铺:向阳百分百】【答案】 【解析】因为△ABC的面积为1,所以 , 可得 ,由 ,可得 , 设 ,其中 , 因为 表示点 与点 连线的斜率, 如图所示,当过点P的直线与半圆相切时,此时斜率最小, 在直角△OAP中, ,可得 , 所以斜率的最小值为 , 所以m的最大值为 ,所以 ,所以 , 即BC的最小值为 , 故答案为: 32.(2023·全国·高三专题练习) 为等边 内一动点,且 ,则 的最小值为 . 【淘宝店铺:向阳百分百】【答案】 【解析】如图所示, 不妨设等边 的边长为2, 为 的中点, 延长 至 ,使得 ,以点 为圆心, 为半径作圆弧 , 为 内一动点, , 点 在弦 所对的弧 上, 由图可知:当点 取与 轴的交点时, , 以 为原点, 为 轴,建立平面直角坐标系, 可得: , , , . 点 所在圆的方程为: . 设参数方程为: , , 令 ,化为: , 【淘宝店铺:向阳百分百】设 , , 则 , 解得 , ,故 的最小值为 . 故答案为: . 33.(2023·湖北·高三黄冈中学校联考开学考试)正三角形 中, 为 中点, 为三角形内满足 的动点,则 最小值为 . 【答案】 【解析】不妨设正三角形 的边长为 , 以 为坐标原点, 正方向为 轴,可建立如图所示平面直角坐标系, 则 , , , 设 ,则 , , , , 【淘宝店铺:向阳百分百】,即 , 点轨迹为: , ; 当 时, , ; 当 时,令 ,则 表示 与 连线的斜率, 设直线 与圆 相切, 则圆心到直线距离 ,解得: 或 , , 则当 时, 取得最小值 , ; 综上所述: 的最小值为 . 故答案为: . 34.(多选题)(2023·全国·高三专题练习)在 中,角 、 、 的对边分别为 、 、 ,面积为 ,有以下四个命题中正确的是( ) 【淘宝店铺:向阳百分百】A. 的最大值为 B.当 , 时, 不可能是直角三角形 C.当 , , 时, 的周长为 D.当 , , 时,若 为 的内心,则 的面积为 【答案】ACD 【解析】对于选项A: (当且仅当 时取等号). 令 , ,故 , 因为 ,且 , 故可得点 表示的平面区域是半圆弧上的点,如图所示: 目标函数 上,表示圆弧上一点到点 点的斜率, 数形结合可知,当且仅当目标函数过点 ,即 时,取得最小值 , 故可得 , 【淘宝店铺:向阳百分百】又 ,故可得 , 当且仅当 , ,即三角形为等边三角形时,取得最大值,故选项A正确; 对于选项B:因为 ,所以由正弦定理得 ,若 是直角三角形的斜边, 则有 ,即 ,得 ,故选项B错误; 对于选项C,由 ,可得 ,由 得 , 由正弦定理得, ,即 , 所以 ,化简得 , 因为 ,所以化简得 , 因为 ,所以 ,所以 ,则 , 所以 ,所以 , 因为 ,所以 , , 所以 的周长为 ,故选项C正确; 对于选项D,由C可知, 为直角三角形, 且 , , , 所以 的内切圆半径为 , 所以 的面积为 . 所以选项D正确. 故选:ACD 35.(2023·福建·统考模拟预测)在 中, , , , 为 所在平面上的一 【淘宝店铺:向阳百分百】点, ,则 的最大值为( ) A. B.25 C. D. 【答案】B 【解析】以 为原点, , 分别为 轴, 轴的正方向建立如图所示的平面直角坐标系, 则 , ,设 ,则 , , , 所以 , 而 与 的距离为 ,故其最大值为 , 的最大值为 . 故选:B 08 利用正、余弦定理求解与三角形的周长、面积有关的问题 36.(2023·浙江杭州·高三浙江大学附属中学校考期中)在 中, 所对的边分别为 ,且 , (1)求 ; (2)若 , 的面积为 ,求 的周长. 【解析】(1)因为 ,由正弦定理可得 , 又因为 , 【淘宝店铺:向阳百分百】即 ,则 , 且 ,则 ,可得 , 因为 ,所以 . (2)因为 的面积为 ,可得 , 由余弦定理可得 ,即 , 整理得 ,可得 , 所以 的周长为 . 37.(2023·福建泉州·高三福建省德化第一中学校联考阶段练习)已知函数 (1)当 ,求 的最值,及取最值时对应的 的值; (2)在 中, 为锐角,且 ,求 的面积. 【解析】(1) , , , 当 ,即 时, ; 当 ,即 时, ; (2)由 ,即 , 【淘宝店铺:向阳百分百】而 为锐角, ,则 , , 又 , 由余弦定理得 ,即 ,即 , . 38.(2023·四川甘孜·统考一模)已知① ,② ,③ ,从上述三个条件中任选一个补充到下面问题中,并解答问题.在 中,内 角 的对边分别为 ,并且满足__________. (1)求角 ; (2)若 为角 的平分线,点 在 上,且 ,求 的面积. 【解析】选①:由 , 得 , 因为 ,则sinB>0, 可得 , 所以 . 选②:由正弦定理得 ,即 , 由余弦定理得 , 选③:由 得 则 【淘宝店铺:向阳百分百】即 , 且 ,可知 ,则 , 解得 ,即 , ,故 . (2)由 ,得 , 即 . 由余弦定理得 ,所以 . 解得 (舍去)或 ,所以 . 39.(2023·全国·高三专题练习)记 的内角A,B,C的对边分别为a,b,c,已知 . (1)若 的面积为 ,求a的最小值; (2)若 ,BC边上的中线长为 ,且 的外接圆半径为 ,求 的周长. 【解析】(1) , 又 ,则 , 又 ,则 . , 又 ,所以 , 则 ,解得 ,当且仅当b=c=1时取等号,故a的最小值为1; 【淘宝店铺:向阳百分百】(2)由正弦定理得 , 设BC的中点为E,则 ,两边平方得 , 即 ① 由余弦定理得 ②, ①-②得 ,又 ,解得 , 故 的周长为 . 40.(2023·江西上饶·高三校联考期末)法国著名军事家拿破仑·波拿巴最早提出的一个几何定理:“以任 意三角形的三条边为边向外构造三个等边三角形,则这个三个三角形的外接圆圆心恰为另一个等边三角形 的顶点”.如图,在 中,内角A,B,C的对边分别为a,b,c,已知 .以 AB,BC,AC为边向外作三个等边三角形,其外接圆圆心依次为 , , . (1)求角A; (2)若 , 的面积为 ,求 的周长. 【解析】(1)因为 , 有余弦定理可得 , 即 , 由正弦定理可得 , 【淘宝店铺:向阳百分百】即 ,即 , 因为 ,所以 , 因为 ,所以 . (2)如图,连接 , ,则 , , 正 面积 ,∴ , 而 ,则 , 在 中,由余弦定理得: , 即 ,则 , 在 中, , ,由余弦定理得 , 则 ,∴ , , ∴ ,所以 的周长为 . 09 利用正,余弦定理求解三角形中的最值或范围 41.(2023·重庆·高三重庆八中校考阶段练习)在锐角 中,角A,B,C所对的边分别为a,b,c, 【淘宝店铺:向阳百分百】. (1)求证: ; (2)求 的取值范围. 【解析】(1)因为 , 所以 . 所以 , 所以 , 所以 .因为在 中, , 所以 ,由 , 得 . (2)在锐角 中, , , 因为 ,得 ,C为锐角, 故 ,故 ,令 , 又函数 在 上都单调递增,则 在 上都单调递增, 所以 在 上单调递增, 所以 . 42.(2022•上海)如图,在同一平面上, , , 为 中点,曲线 上任一点到 【淘宝店铺:向阳百分百】距离相等,角 , , 关于 对称, ; (1)若点 与点 重合,求 的大小; (2) 在何位置,求五边形 面积 的最大值. 【解析】(1)点 与点 重合,由题意可得 , , , 由余弦定理可得 , 所以 ,在 中,由正弦定理得 , 所以 ,解得 , 所以 的大小为 ; (2)如图,连结 , , , , 曲线 上任意一点到 距离相等, , , 关于 对称, 点在劣弧 中点或劣弧 的中点位置, , 则 , 则五边形面积 【淘宝店铺:向阳百分百】,其中 , 当 时, 取最大值 , 五边形 面积 的最大值为 . 43.(2020•新课标Ⅱ) 中, . (1)求 ; (2)若 ,求 周长的最大值. 【解析】(1)设 的内角 , , 所对的边分别为 , , , 因为 , 由正弦定理可得 , 即为 , 由余弦定理可得 , 由 ,可得 ; (2)由题意可得 , 【淘宝店铺:向阳百分百】又 ,可设 , , , 由正弦定理可得 , 可得 , , 则 周长为 , , 当 ,即 时, 的周长取得最大值 . 另 , ,又 , , 由 ,则 (当且仅当 时,“ ”成立), 则 周长的最大值为 . 44.(2022•新高考Ⅰ)记 的内角 , , 的对边分别为 , , ,已知 . (1)若 ,求 ; (2)求 的最小值. 【解析】(1) , , . , 化为: , , , , 【淘宝店铺:向阳百分百】, , . (2)由(1)可得: , 可得 为钝角, , . 在三角形中, , ,当且仅当 时取等号. 的最小值为 . 45.(2023·安徽·高三校联考阶段练习)在 中,角 的对边分别为 , . (1)求角 ; (2)若 为钝角三角形,且 ,求 的取值范围. 【解析】(1)由 ,得 , 即 ,所以 , 又 ,所以 ,又 且 ,所以 . (2)由正弦定理,得 , 所以 ,所以 , 【淘宝店铺:向阳百分百】因为 是钝角三角形,不妨设 为钝角,则 , 所以 , 因为 ,所以 ,所以 , 所以 的取值范围是 . 46.(2023·重庆沙坪坝·高三重庆一中校考阶段练习)在锐角 中,角A,B,C所对的边分别为a, b,c,且a,b, 成等比数列. (1)若 ,求角C; (2)若 的面积为S,求 的取值范围. 【解析】(1)由题设 ,即 ,且 , 由 ,即 , 所以 ,即 , 所以 ,故 , 所以 或 (舍),可得 ,故 . (2)由(1)知 , 为锐角三角形,则 ,可得 , 又 ,则 , 所以 , 【淘宝店铺:向阳百分百】又 , ,故 , 整理得 ,令 ,则 , 所以 ,令 ,则 , 故 在 上递减, ,即 , 所以 在 上递减,故 . 47.(2023·辽宁·高三东北育才学校校联考开学考试)已知H为锐角 的垂心, 为三角形 的三条高线,且满足 . (1)求 的值. (2)求 的取值范围. 【解析】(1)记 的三个内角为 . 因为H为锐角 的垂心, 为三角形的三条高线, 所以 ,故 , 所以 , 同理可得 , , 所以 , 因为 , 所以 ; 【淘宝店铺:向阳百分百】(2)因为 , , 故 , 即 , 设 ,则 ,解得 , 故 当 时,等号成立, 又 为锐角三角形,故当 等号成立, 所以当 时, 取得最小值, 当 时, 取得最大值, 因此, 的范围是 . 48.(2023·山西吕梁·高三校联考阶段练习)如图,在平面凸四边形 中, 为边 的中点. (1)若 ,求 的面积; (2)求 的最大值. 【解析】(1)因为 , ,由余弦定理可得, , 【淘宝店铺:向阳百分百】则 ,且 , ,所以 , 则 的面积为 . (2) 取线段 的中点为 ,连接 , 设 , ,因为 , 由余弦定理可得, , 由正弦定理可得, ,则 , 因为 分别为 的中点,所以 ,且 , 所以 ,且 ,所以 , 在 中,由余弦定理可得, , 由 可得, , 所以当 时,即 时, 取得最大值 , 【淘宝店铺:向阳百分百】所以 的最大值为 . 49.(2023·广东肇庆·高三统考阶段练习)如图,在四边形 中, , , , . (1)若 ,求 ; (2)求 的最大值. 【解析】(1)由题意知 , , ,所以 . 在 中, , , 所以 . 在 中,由余弦定理得, , 所以 . (2)过点 作 于点 ,由 , , , , 可得 , , 【淘宝店铺:向阳百分百】设 ,当 时,点 在点 的右侧,如图①, ,则 . 当 时,点 在点 的左侧,如图②, ,则 . 又 ,所以当 ,且 时, . 当 时,点 与点 重合, ,满足上式, 所以 ,其中 . 令 ,则 , 所以 , 当且仅当 ,即 , 时,等号成立,此时 取得最大值 , 因为 ,所以 为锐角, 所以当 时, 取得最大值 . 50.(2023·山东青岛·高三统考期中)记 的内角A,B,C的对边分别为a,b,c.已知 . (1)若 ,求C; 【淘宝店铺:向阳百分百】(2)若 ,且 ,求 的最小值. 【解析】(1)∵ , ∴ , ∴ , ∴ , ∴ 或者 , 由 ,得 ,从而 , 由 得 , ∴ ,则 ,而 ,故 综上, 或 ; (2)∵ ,∴ ,即 , 由(1)知 , , 又 ,∴ , ∴ , 由正弦定理, , , 【淘宝店铺:向阳百分百】,当且仅当 时取等号, ∴ 的最小值为 . 10 三角形中的几何计算 51.(2023·广东汕头·高三统考期中)在凸四边形 中,对角线 交于点 ,且 . (1)若 ,求 的余弦值; (2)若 ,求边 的长. 【解析】(1)因为 ,所以 ,设 , 在 中,由余弦定理得 , 在 中,由余弦定理得 , 所以 ,解得 ,所以 , 在 中,由余弦定理得 ; 【淘宝店铺:向阳百分百】(2)在 中,由正弦定理得 , 所以 ,又 为三角形的内角,所以 , 所以 , ,且 , 所以 ,又 , 在 中,由余弦定理得 ,所以 . 52.(2023·河南·高三内黄县第一中学校联考阶段练习)已知平面四边形ABDC中,对角线CB为钝角 的平分线,CB与AD相交于点O, , , . (1)求CO的长; (2)若 ,求 的面积. 【解析】(1)在 中,由余弦定理得 , 解得 或 (舍去). 因为 ,所以 . 所以 ,解得 (负值舍去), 所以 . 因为 , 【淘宝店铺:向阳百分百】所以 . 所以 . 所以 . (2)在 中,由正弦定理可得 , 则 ,由于 为锐角,所以 . 因为 ,所以 , 所以 ,所以 , 由余弦定理可得 ,解得 . 因为 , 所以 , 所以 . 53.(2023·河南信阳·信阳高中校考模拟预测)在 中, , 的面积为 , 为 的中点, 于点 于点 . 【淘宝店铺:向阳百分百】(1)求 的面积; (2)若 ,求 的值. 【解析】(1)在四边形 中, , , 故 , 故 , 作 于点 , 于点 , 又 为 的中点, 则 , , 故 . (2)设 的三条边 , , 分别为 , , , 【淘宝店铺:向阳百分百】由 ,知 , 延长 到点 ,使 ,连接 , 则 , , 则在 中, , , 故由 与 可得, ,则 , ,则 , 由正弦定理得 , 则 . 11 三角形的形状判定 54.(2023·全国·高三专题练习)设△ 的三边长为 , , ,若 , ,则△ 是( ). A.等腰三角形 B.直角三角形 C.等腰三角形或直角三角形 D.等腰直角三角形 【答案】B 【解析】设 ,△ 的内切圆半径为r,如图所示, 法一: ∴ ①; ②. 【淘宝店铺:向阳百分百】①÷②,得: ,即 . 于是 , , , 从而得 或 , ∴ 或 .故△ 为等腰三角形或直角三角形, (1)当 时,内心I在等腰三角形 的底边上的高 上, ,从而得 . 又 ,代入①式,得 ,即 , 上式两边同时平方,得: ,化简 ,即 .即△ 直角三角形, ∴△ 为等腰直角三角形. (2)当 时,易得 . 代入②式,得 ,此式恒成立, 综上,△ 为直角三角形. 法二: 利用 , 及正弦定理和题设条件,得 ①, 【淘宝店铺:向阳百分百】②. ∴ ③; ④. 由③和④得: ,即 , , 因为 为三角形内角, ∴ 或 ,即 或 . (1)若 ,代入③得: ⑤ 又 ,将其代入⑤,得: . 变形得 , 即 ⑥, 由 知A为锐角,从而知 . ∴由⑥,得: ,即 ,从而 , . 因此,△ 为等腰直角三角形. (2)若 ,即 ,此时③④恒成立, 综上,△ 为直角三角形. 故选:B 55.(2023·内蒙古呼伦贝尔·高三海拉尔第一中学校考阶段练习) 的内角 的对边分别为 , 且 ,则 的形状为( ) A.等边三角形 B.直角三角形 C.等腰直角三角形 D.等边三角形或直角三角形 【答案】B 【解析】∵ ,∴ ,即 , 又由余弦定理可得 , ∴ ,可得: 【淘宝店铺:向阳百分百】∴ 是以∠C为直角的直角三角形. 故选:B. 56.(2023·河南·高三校联考阶段练习)在 中,角A,B,C的对边分别为a,b,c, ,则 为( ) A.钝角三角形 B.正三角形 C.直角三角形 D.等腰直角三角形 【答案】C 【解析】由 结合正弦定理可得 , 即 , 所以 , 所以 , 因为 ,所以 , 因为 ,所以 ,故 为直角三角形, 故选:C 【淘宝店铺:向阳百分百】