商场超市保安监控系统设计方案(免费下载)

-
独资质项目合作就找我
-
内容来源:资源整合
-
文章底部广告优惠招商

1、资源介绍
我们只有不断输入,才能不至于“感觉身体日日被掏空”。观察和实践是输入的主要方式之一,当然,输入的另一个主要途径就是阅读与参照,举一反三。
那么接下来给大家详细的介绍下,这样方便到你选取适合你的资料进行学习。
以上资料全部免费送! 获取完整版方案请到文未下载!
每天为大家分享一篇解决方案
下载提示
本文分享的是商场超市保安监控系统设计方案。内容来自互联网公开平台,版权归原作者所有,仅供学习参考。
以下为方案部分截图,关注【建筑智能化生态圈】公众号,后台对话框回复【方案获取】即可获取完整版下载方式
图片版权归建筑智能化生态圈所用未经许可任何人不得擅自使用
一、概述:
大型的商场超市人员流动比较频繁,商家为了方便顾客购买,通常都采用开放式柜台,顾客可以自由的选购商品。这种方式无疑会给顾客带来了极大的方便,并且售货员与顾客之间更容易沟通,但随之而来的是,这也给犯罪分子提供了可成之机,单靠以往的人防已远远不能满足要求,尤其在商场下班以后,商场内大量的商品更是犯罪分子主要攻击的目标。因此,利用现代的高科技技术手段,组成全方位防范系统是十分必要的。
在商场内安装闭路电视监控系统,不仅可以看到顾客的购物情况,还可以提早发现犯罪分子,并可打开录像机进行录像,以作为证据,对那些有不良企图的人们也起到一定的威慑作用。尤其在收银台上方装一部摄像机,不仅可以观察顾客付款情况,还可以监督收款人员的工作情况,杜绝财务上面的漏洞。
闭路监控系统要尽量能够覆盖整个商场,商场内所有人员的活动情况都可尽收眼底。摄像机尽量用彩色的,以提供较好的画面质量,外观最好选择半球型防护罩,这样不但具有隐蔽性,美观大方,又不破坏商场内的整体布局。
二、设计方案依据和指导思想
1、 设计依据:
甲方对工程的具体要求
GA/T75-94 安全防范工程程序与要求
GA/T74-94 安全防范系统通用图形符号
GB50198-94 民用闭路监控电视系统工程设计规范
GA/T 70-94 电视监控工程费用概预算编制办法
GB12663-90 防盗报警控制器通用技术条件
2、设计指导思想
☆ 性能、功能先进
设备选型要保证技术领先,性能可靠,操作简便、实用,维护简单,性能价格比最优,并留有扩展余地。设备均采用目前领先技术和生产工艺制造。
☆ 操作简单实用
实行人防、技防相结合,采用高科技手段,进行智能化设计,尽量减少系统操作的复杂性。
☆ 外观效果美观
前端装置安装均考虑安全性、隐蔽性及美观性。
三、电视监控系统总体功能概述
根据前端安装监控点的具体情况,可灵活的组合控制室内的设备。如前端没有云台和变焦镜头,可以不加矩阵主机,而用切换器或分割器即可。
彩色定焦镜头摄像机安装在商场购物收银结算台及出入口上方,对商场内顾客进出及购物结算情况进行定位监视,同时可实时监视收银员工作。彩色16倍变焦镜头一体化摄像机安装在商场商品货架区域的上方,对商场的自助购物情况进行全方位动态实时监视。
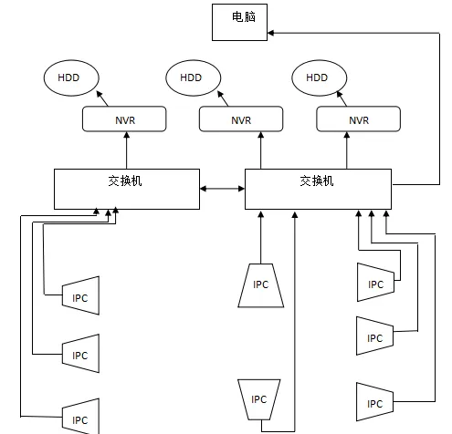
控制室采用一台交换机将所有的网络摄像头汇聚再接入到NVR中,NVR通过VGA的视频线接到监视器上,通过控制NVR可以对图像进行任意的切换。

监控系统构架

四、器材选型
高清硬盘录像机(NVR):高清网络硬盘录像机可接驳网络摄像机、网络视频服务器,支持百万像素高清网络视频的预览、存储与回放
电脑、显示器:VGA高清接口,可实时浏览高清图像;
摄像机:定焦摄像机采用大华的高解像数码彩色摄像机,1/3”CCD,650线,0.2Lux/F1.2,信噪比大于56dB,视频/直流双驱动自动光圈,电子快门开关,背光补偿开关,与其配套的镜头、云台、防护罩亦均选用大华出品的优质产品。
交换机:采用2台24路的百兆电口交换机,能将图像实时传送到NVR中;
硬盘:采用20块2T的硬盘,保证图像能存储20天以上,方便随时调取录像
就先分享到这里如果喜欢请下载完整版本。
|
目录 |
|
一、概述…………………………………………………………………3 二、设计方案依据和指导思想…………………………………………3 三、电视监控系统总体功能概述………………………………………4 四、器材选型……………………………………………………………7 五、闭路监视系统技术指标……………………………………………8 六、设备清单及报价……………………………………………………8 七、管线敷设方案………………………………………………………8 八、建设工期及售后服务………………………………………………8 (一)建设工期……………………………………………………..8 (二)工程管理……………………………………………………..9 (三)培训………………………………………………………….11 (四)服务………………………………………………………….11 |
完整方案获取
请关注公众号后回复:方案获取
本文留言区留言无效

2、获取方式
素材包由小二哥个人完成整理、收集过程繁琐枯燥,整理不易希望大家点一点文末在看然后分享到朋友圈是对小二哥最大的肯定。朋友圈看到您分享的资料会感激您的。
| 下载步骤 |
| ① 长按文末二维码“识别”,或关注、建筑智能化生态圈公众号。
② 在公众号对话框输入:【方案获取】即可获得资料下载链接。 ③回复关键字是在关注公众号后菜单栏回复,不是在本文章底部留言。 如果不会请看下面演示图 |

(微信搜索:建筑智能化生态圈|回复数字:方案获取)
或直接点击↓下面关注
点击关注公众号入3000人安防群

3、往期必读
你能看到小二哥这段文字,小二哥由衷的感谢你对建筑智能化生态圈公众号的支持。小二哥会更加努力的将更多的优质内容免费分享给大家,希望能都帮助到你!
4、福利放送
还有很多方案不再介绍,资料已经上传微信公众号、微信群、QQ群最近建筑智能化生态社群资料更新情况:
4、(免费领取)非常全面的小区智能化系统图纸,大家在做小区项目时可以参考
8、一套完整的医院智能化弱电设计方案,智慧校园项目设计方案(附下载)
12、智慧校园,某中学弱电智能化信息化系统设计方案(230页附下载)
未完待续、还请持续关注公众号
▌3000人安防交流群
建筑智能化生态圈建立至今,已有3000多位同行进群。目前建立了6个群每群达到400人以上、(群内严禁广告!),成为业务交流和技术交流的优质圈子,如果你不仅希望获得优质资料,还渴望与同行交流,我相信进入本群不会让你失望。入群请添加小编微信号:zhixiangbang02,并注明「入群」。或者点击文尾阅读原文查看入群流程。

建筑智能化生态圈安防交流群
热文回顾
● 学会这11个投标报价技巧,中标与多赚钱亦可兼得!
● 100份弱电智能人必看的常用资料(免费打包下载)
● 加入建筑智能化群聊,工程问题,项目合作,弱电资料都在这里
● 数据中心机房规划与建设关键技术【入门学习材料422页】附下载
你想不想在这里展示您的项目让更多人看到,如果想请联系小编


只要你戳「关注、点赞、在看」就能入3000人安防群
👇点击 阅读原文 免费加入安防无广告资源对接群
夜雨聆风