当前位置:首页>文档>考向20等比数列及其前n项和(重点)-备战2023年高考数学一轮复习考点微专题(全国通用)(解析版)_2.2025数学总复习_赠品通用版(老高考)复习资料_一轮复习

考向20等比数列及其前n项和(重点)-备战2023年高考数学一轮复习考点微专题(全国通用)(解析版)_2.2025数学总复习_赠品通用版(老高考)复习资料_一轮复习

  • 2026-04-05 22:55:52 2026-03-27 04:34:03

文档预览

考向20等比数列及其前n项和(重点)-备战2023年高考数学一轮复习考点微专题(全国通用)(解析版)_2.2025数学总复习_赠品通用版(老高考)复习资料_一轮复习
考向20等比数列及其前n项和(重点)-备战2023年高考数学一轮复习考点微专题(全国通用)(解析版)_2.2025数学总复习_赠品通用版(老高考)复习资料_一轮复习
考向20等比数列及其前n项和(重点)-备战2023年高考数学一轮复习考点微专题(全国通用)(解析版)_2.2025数学总复习_赠品通用版(老高考)复习资料_一轮复习
考向20等比数列及其前n项和(重点)-备战2023年高考数学一轮复习考点微专题(全国通用)(解析版)_2.2025数学总复习_赠品通用版(老高考)复习资料_一轮复习
考向20等比数列及其前n项和(重点)-备战2023年高考数学一轮复习考点微专题(全国通用)(解析版)_2.2025数学总复习_赠品通用版(老高考)复习资料_一轮复习
考向20等比数列及其前n项和(重点)-备战2023年高考数学一轮复习考点微专题(全国通用)(解析版)_2.2025数学总复习_赠品通用版(老高考)复习资料_一轮复习
考向20等比数列及其前n项和(重点)-备战2023年高考数学一轮复习考点微专题(全国通用)(解析版)_2.2025数学总复习_赠品通用版(老高考)复习资料_一轮复习
考向20等比数列及其前n项和(重点)-备战2023年高考数学一轮复习考点微专题(全国通用)(解析版)_2.2025数学总复习_赠品通用版(老高考)复习资料_一轮复习
考向20等比数列及其前n项和(重点)-备战2023年高考数学一轮复习考点微专题(全国通用)(解析版)_2.2025数学总复习_赠品通用版(老高考)复习资料_一轮复习
考向20等比数列及其前n项和(重点)-备战2023年高考数学一轮复习考点微专题(全国通用)(解析版)_2.2025数学总复习_赠品通用版(老高考)复习资料_一轮复习
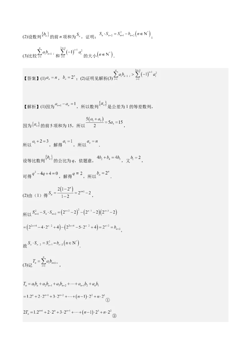
考向20等比数列及其前n项和(重点)-备战2023年高考数学一轮复习考点微专题(全国通用)(解析版)_2.2025数学总复习_赠品通用版(老高考)复习资料_一轮复习
考向20等比数列及其前n项和(重点)-备战2023年高考数学一轮复习考点微专题(全国通用)(解析版)_2.2025数学总复习_赠品通用版(老高考)复习资料_一轮复习
考向20等比数列及其前n项和(重点)-备战2023年高考数学一轮复习考点微专题(全国通用)(解析版)_2.2025数学总复习_赠品通用版(老高考)复习资料_一轮复习
考向20等比数列及其前n项和(重点)-备战2023年高考数学一轮复习考点微专题(全国通用)(解析版)_2.2025数学总复习_赠品通用版(老高考)复习资料_一轮复习
考向20等比数列及其前n项和(重点)-备战2023年高考数学一轮复习考点微专题(全国通用)(解析版)_2.2025数学总复习_赠品通用版(老高考)复习资料_一轮复习
考向20等比数列及其前n项和(重点)-备战2023年高考数学一轮复习考点微专题(全国通用)(解析版)_2.2025数学总复习_赠品通用版(老高考)复习资料_一轮复习
考向20等比数列及其前n项和(重点)-备战2023年高考数学一轮复习考点微专题(全国通用)(解析版)_2.2025数学总复习_赠品通用版(老高考)复习资料_一轮复习
考向20等比数列及其前n项和(重点)-备战2023年高考数学一轮复习考点微专题(全国通用)(解析版)_2.2025数学总复习_赠品通用版(老高考)复习资料_一轮复习
考向20等比数列及其前n项和(重点)-备战2023年高考数学一轮复习考点微专题(全国通用)(解析版)_2.2025数学总复习_赠品通用版(老高考)复习资料_一轮复习
考向20等比数列及其前n项和(重点)-备战2023年高考数学一轮复习考点微专题(全国通用)(解析版)_2.2025数学总复习_赠品通用版(老高考)复习资料_一轮复习
考向20等比数列及其前n项和(重点)-备战2023年高考数学一轮复习考点微专题(全国通用)(解析版)_2.2025数学总复习_赠品通用版(老高考)复习资料_一轮复习
考向20等比数列及其前n项和(重点)-备战2023年高考数学一轮复习考点微专题(全国通用)(解析版)_2.2025数学总复习_赠品通用版(老高考)复习资料_一轮复习
考向20等比数列及其前n项和(重点)-备战2023年高考数学一轮复习考点微专题(全国通用)(解析版)_2.2025数学总复习_赠品通用版(老高考)复习资料_一轮复习
考向20等比数列及其前n项和(重点)-备战2023年高考数学一轮复习考点微专题(全国通用)(解析版)_2.2025数学总复习_赠品通用版(老高考)复习资料_一轮复习
考向20等比数列及其前n项和(重点)-备战2023年高考数学一轮复习考点微专题(全国通用)(解析版)_2.2025数学总复习_赠品通用版(老高考)复习资料_一轮复习
考向20等比数列及其前n项和(重点)-备战2023年高考数学一轮复习考点微专题(全国通用)(解析版)_2.2025数学总复习_赠品通用版(老高考)复习资料_一轮复习
考向20等比数列及其前n项和(重点)-备战2023年高考数学一轮复习考点微专题(全国通用)(解析版)_2.2025数学总复习_赠品通用版(老高考)复习资料_一轮复习
考向20等比数列及其前n项和(重点)-备战2023年高考数学一轮复习考点微专题(全国通用)(解析版)_2.2025数学总复习_赠品通用版(老高考)复习资料_一轮复习
考向20等比数列及其前n项和(重点)-备战2023年高考数学一轮复习考点微专题(全国通用)(解析版)_2.2025数学总复习_赠品通用版(老高考)复习资料_一轮复习
考向20等比数列及其前n项和(重点)-备战2023年高考数学一轮复习考点微专题(全国通用)(解析版)_2.2025数学总复习_赠品通用版(老高考)复习资料_一轮复习
考向20等比数列及其前n项和(重点)-备战2023年高考数学一轮复习考点微专题(全国通用)(解析版)_2.2025数学总复习_赠品通用版(老高考)复习资料_一轮复习

文档信息

文档格式
docx
文档大小
1.566 MB
文档页数
27 页
上传时间
2026-03-27 04:34:03

文档内容

考向 20 等比数列 1(2021年甲卷理科第7题)等比数列 的公比为 ,前 项和为 .设甲: .乙: 是递增数 列,则 A.甲是乙的充分条件但不是必要条件 B.甲是乙的必要条件但不是充分条件 C.甲是乙的充要条件 D.甲不是乙的充分条件也不是必要条件 【答案】B 【解析】 时, 是递减数列,所以甲不是乙的充分条件; 是递增数列,可以推出 ,可以推出 ,甲是乙的必要条件.故选:B. 2.(2021年甲卷文科第9题)记 为等比数列 的前 项和.若 , ,则 A.7 B.8 C.9 D.10 【答案】A 【解析】由题意可知, , , 因为 是等比数列,所以 ,从而 . 3.(2022年乙卷理科第8题,文科第10题)已知等比数列 的前3项和为168, ,则 A.14 B.12 C.6 D.3 【答案】D 【解析】设等比数列 首项 ,公比由题意, ,即 ,即 解得, , ,所以 4.(2021 年上海第 8 题)已知等比数列 , 的各项和为 ,则数列 的各项和为 ________. 【答案】 【解析】因为 的各项和为 , 所以 ,解得 ,所以 , 即数列的各项和为 5. ( 2022 新 课 标 2 卷 第 17 题 ) 已 知 为 等 差 数 列 , 是 公 比 为 2 的 等 比 数 列 , 且 (1)证明: ; (2)求集合 中元素的个数. 【答案】(1)见解析;(2)9. 【解析】(1)设等差数列 公差为 由 ,知 ,故 由 ,知 , 故 ;故 ,整理得 ,得证. (2)由(1)知 ,由 知: 即 ,即 ,因为 ,故 ,解得 故集合 中元素的个数为9个. 1.在解决等比数列的有关问题时,要注意挖掘隐含条件.利用性质,特别是性质“若m+n=p+q,则a ·a m n =a·a”,可以减少运算量,提高解题速度. p q 2.在应用相应性质解题时,要注意性质成立的前提条件,有时需要进行适当变形.此外,解题时注意设而 不求思想的运用. 3.解决等比数列基本运算问题的两种常用思想 (1)方程的思想:等比数列中有五个量a ,n,q,a ,S ,一般可以“知三求二”,通过列方程(组)求关键量 1 n n a 和q,问题可迎刃而解; 1 (2)分类讨论的思想:等比数列的前n项和公式涉及对公比q的分类讨论,当q=1时,{a}的前n项和S = n n na;当q≠1时,{a}的前n项和S==. 1 n n 1.等比数列的单调性 当q>1,a>0或0<q<1,a<0时,{a}是递增数列; 1 1 n 当q>1,a<0或0<q<1,a>0时,{a}是递减数列; 1 1 n 当q=1时,{a}是常数列. n 2.等比数列与指数函数的关系 当q≠1时,a =·qn,可以看成函数y=cqx,是一个不为0的常数与指数函数的乘积,因此数列{a}各项 n n 所对应的点都在函数y=cqx的图象上. 3.等比数列{a}的前n项和S=A+B·Cn⇔A+B=0,公比q=C.(A,B,C均不为零) n n1.在等比数列中,易忽视每一项与公比都不为0. 2.在求等比数列的前n项和时,易忽略q=1这一特殊情形. 1.设等比数列{a}的前n项和为S,已知S=-2,S=-6,且公比q≠1,则a=( ) n n 1 3 3 A.-2 B.2 C.-8 D.-2或-8 【答案】C 【解析】依题意知解得q=-2(q=1舍去),故a=aq2=-2×(-2)2=-8 3 1 2.等比数列{a}的前n项和为S,且4a,2a,a 成等差数列.若a=1,则S=( ) n n 1 2 3 1 4 A.16 B.15 C.8 D.7 【答案】B 【解析】设公比为q,由题意得4a =4a +a ,即4aq=4a +aq2,又a≠0,所以4q=4+q2,解得q=2, 2 1 3 1 1 1 1 所以S==15,故选B. 4 3.已知在等比数列{a}中,a=7,前三项之和S=21,则公比q的值是( ) n 3 3 A.1 B.- C.1或- D.-1或 【答案】C 【解析】当q=1时,a=7,S=21,符合题意;当q≠1时,得q=-.综上,q的值是1或-,故选C. n 3 4.设正项等比数列{a}的前n项和为S,若S=3,S=15,则公比q=( ) n n 2 4 A.5 B.4 C.3 D.2 【答案】D 【解析】因为S=3,S=15,S-S=12,所以 2 4 4 2 两个方程左右两边分别相除,得q2=4, 因为数列是正项等比数列,所以q=2,故选D. 5.在等比数列{a}中,a,a 是方程x2+6x+2=0的两个实数根,则的值为( ) n 3 15 A.- B.- C. D.-或 【答案】B 【解析】设等比数列{a}的公比为q,因为a ,a 是方程x2+6x+2=0的两个实数根,所以a·a =a=2, n 3 15 3 15 a+a =-6,所以a<0,a <0,a=aq6<0,则a=-,所以==a=-. 3 15 3 15 9 3 9 9 6.设单调递增等比数列{a}的前n项和为S,若a+a=10,aaa=64,则正确的是( ) n n 2 4 2 3 4 A.S=2n-1-1 B.a=2n C.S -S=2n+1 D.S=2n-1 n n n+1 n n【答案】D 【解析】设等比数列{a}的公比为q, n 因为aaa=64,所以a=64,解得a=4. 2 3 4 3 又a+a=10,所以+4q=10,即2q2-5q+2=0,解得q=2或q=. 2 4 又等比数列{a}单调递增,所以q=2,a=1,所以a=2n-1, n 1 n 所以S==2n-1,S -S=2n+1-1-(2n-1)=2n. n n+1 n 因此只有选项D正确,故选D. 7.(多选)已知数列{a}是等比数列,那么下列数列一定是等比数列的是( ) n A. B.{log a} C.{a+a } D.{a+a +a } 2 n n+1 n n+1 n+2 【答案】AD 【解析】当等比数列{a}的通项公式为a =1时,log a=0,数列{log a}不是等比数列,当等比数列{a}的 n n 2 2 n 公比q=-1时,a +a =0,数列{a +a }不是等比数列,由等比数列的定义知和{a +a +a }都是 n n+1 n n+1 n n+1 n+2 等比数列.故选AD. 8.(多选)已知数列{a}是正项等比数列,且+=,则a 的值可能是( ) n 5 A.2 B.4 C. D. 【答案】ABD 【解析】因为数列{a}是正项等比数列,所以a >0,a >0,a >0.由=+≥2==,得a≥2.因此符合题意 n 3 7 5 5 的选项为ABD.故选ABD. 9.已知数列{a}是等比数列,a=1,a=-,若S=-,则k=________. n 2 5 k 【答案】5 【解析】设等比数列{a}的公比为q,因为a =1,a =-,所以q3=-,解得q=-,所以a =-2,由S n 2 5 1 k ==-,解得k=5. 10.设等比数列{a}满足a+a=4,a-a=8.则通项公式a=________. n 1 2 3 1 n 【答案】3n-1 【解析】设{a}的公比为q,则a=aqn-1. n n 1 由已知得解得a=1,q=3.所以{a}的通项公式为a=3n-1. 1 n n 11.在等比数列{a}中,a=4,a =16,则a 和a 的等比中项为________. n 2 10 2 10 【答案】±8 【解析】设a 与a 的等比中项为G,因为a=4,a =16,所以G2=4×16=64,所以G=±8. 2 10 2 10 12.在等比数列{a}中,若aa=16,a=8,则a=________. n 1 5 4 6 【答案】32 【解析】因为aa=16,所以a=16,所以a=±4.又a=8,所以q=±2. 1 5 3 4 所以a=aq2=8×4=32. 6 4 13.在等比数列{a}中,a=6,a=12-a. n 1 2 3 (1)求{a}的通项公式; n (2)记S 为{a}的前n项和,若S =66,求m. n n m【解析】(1)设等比数列{a}的公比为q, n 因为a=6,a=12-a, 1 2 3 所以6q=12-6q2,解得q=-2或q=1, 所以a=6×(-2)n-1或a=6. n n (2)①若a=6×(-2)n-1, n 则S==2[1-(-2)n], n 由S =66,得2[1-(-2)m]=66,解得m=5. m ②若a=6,q=1,则{a}是常数列, n n 所以S =6m=66,解得m=11. m 综上,m的值为5或11. 14.在数列{b}中,点(b,T)在直线y=-x+1上,其中T 是数列{b}的前n项和. n n n n n 求证:数列{b}是等比数列. n 【解析】因为点(b,T)在直线y=-x+1上,所以T=-b+1.① n n n n 所以T =-b +1(n≥2).② n-1 n-1 ①②两式相减,得b=-b+b (n≥2). n n n-1 所以b=b ,所以b=b . n n-1 n n-1 由①,令n=1,得b=-b+1,所以b=. 1 1 1 所以数列{b}是以为首项,为公比的等比数列. n 一、单选题 1.(2022·上海奉贤·二模)若 , , , 成等比数列,则下列三个数列:① ;② ;③ ,必成等比数列的个数为( ) A. B. C. D. 【答案】B 【解析】若 , , , 为 ,则 不为等比数列,①不符合; 由 , , , 必非零且公比为 ,则 也非零且公比为 ,②符合; 若 ,b,c,d为1,1,1,1,则ab,bc,cd不为等比数列,③不符合; 故选:B 2.(2022·陕西西安·一模(理))2020年底,国务院扶贫办确定的贫困县全部脱贫摘帽脱贫攻坚取得重大胜利!为进步巩固脱贫攻坚成果,接续实施乡村振兴战略,某企业响应政府号召,积极参与帮扶活动.该 企业2021年初有资金500万元,资金年平均增长率可达到20%.每年年底扣除下一年必须的消费资金后, 剩余资金全部投入再生产为了实现5年后投入再生产的资金达到800万元的目标,每年应扣除的消费资金 1.24 2.07 1.25 2.49 至多为( )(单位:万元,结果精确到万元)(参考数据: , ) A.83 B.60 C.50 D.44 【答案】B 【解析】设每年应扣除的消费资金为x万元,则 500(120%)x 1年后投入再生产的资金为: ,2年后投入再生产的资金为: [500(120%)x](120%)x500(120%)2(120%)xx , L 5年后投入再生产的资金为: 500(120%)5(120%)4x(120%)3x(120%)2x(120%)xx800 1.251 x5001.25800 ∴ 1.21 ,∴x60. 3.(2022·四川凉山·三模(理))下列选项中,p是q的充分不必要条件的是( ) ABC p:AB q:sinAsinB  A. 中, , p:b2 ac q:a,b,c B. , 成等比数列 S a  a  S C. n是数列 n 的前n项和,p:数列 n 为等比数列,q:数列 m, , 成等比数列 D. , , 【答案】D 【解析】对A, 中由正弦定理 ,且 均为正数可知,若 则 , ,反之也成立, p是q的充要条件; 对B,若 成等比数列则 ,但当 时 ,且 不成等比数列,故p是q的必要不充分条件; 对C,数列 时 为等比数列时,但 , , 不成等比数列,故p不是q的充分不必 要条件; 对D,当 时, ,但当 时, 也成立, 故p是q的充分不必要条件 4.(2022·全国·模拟预测(文))设正项等比数列 的前 项和为 , , .记 ,下列说法正确的是( ) A.数列 的公比为 B. C. 存在最大值,但无最小值 D. 【答案】C 【解析】因为 , , 所以正项等比数列 的公比 满足 ,且 , 所以 ,故A错误; 由等比数列的前 项和公式可得, , 因为 ,所以 ,故B错误; 因为 , 所以 ,易知 ,由指数函数单调性可知 , 所以 存在最大值,但无最小值,故C正确; ,故D错误; 5.(2022·江西省丰城中学模拟预测(理))记数列 中不超过正整数n的项的个数为 ,设数列 的前n项的和为 ,则 等于( ) A. B. C. D. 【答案】B 【解析】 , 当 时, ,所以 , 记 , , 两式相减得 , 化简得 ,所以 . 6.(2022·浙江省义乌中学模拟预测)已知数列 满足 , 则下列有可能成立的是( ) A.若 为等比数列,则B.若 为递增的等差数列,则 C.若 为等比数列,则 D.若 为递增的等差数列,则 【答案】B 【解析】因为 , ∴ ,即 , 若 为等比数列,则 的公比为 ,∴ , 由 ,可得 ,∴ ,故AC错误; 若 为递增的等差数列, ,公差 , 由 则 ,∴ , ∴ ,即 ,∴ , ∴ , 又 , ∴ ,又 则 ,∴当 时,不等式 恒成立, 故 ,故B正确,D错误. 二、多选题 7.(2022·全国·模拟预测)已知等比数列 的公比为 ,且 ,记 的前 项和为 ,前 项积 为 ,则下列说法正确的是( ) A.当 时, 递减 B.当 时, C.当 时, D.当 时, 【答案】BCD 【解析】对于A中,因为 , ,所以 ,所以 递增,所以A错误. 对于B中,当 时, , 当且仅当 时等号成立,所以B正确. 对于C中,当 时, 递增,因为 ,所以当 时, ; 当 时, ,所以当 或 时, 最小, 所以 ,故C正确. 对于D中,当 时, 是摆动数列,偶数项为正,奇数项为负, 递减, 因为 ,所以当 或 时, 最大, 的前2022项中有1011项为正,1011项为负, 所以 ,所以 恒成立,所以D正确.8.(2022·湖北武汉·二模)数列 共有 项(常数 为大于5的正整数),对任意正整数 ,有 ,且当 时, .记 的前 项和为 ,则下列说法中正确的有( ) A.若 ,则 B. 中可能出现连续五项构成等差数列 C.对任意小于 的正整数 ,存在正整数 ,使得 D.对 中任意一项 ,必存在 ,使得 按照一定顺序排列可以构成等差数列 【答案】BCD 【解析】对于A,根据条件可知,数列 具有性质为,首尾对称性两个数互为相反数,如果中间数为1 个,则必为0.下面对 讨论. 当 为偶数(数列 各个数非零), , 得 ,所以 . 当 为奇数(数列 ), ,解得 ,故A错误; 对于B,显然满足,如 ,故B正确; 对于C,通过数列具有对称性知,对任意小于 的正整数 有, 的值是该数列中的一项或两项, 当值为一项时,因为任意小于 正整数 ,故该项必定为中间项,数列 刚好具备相邻两项差为 该数列的某一项;如果为两项,显然直接找出其两项即可,故C正确; 对于D,考虑到数列 ,满足 ,当 时, ;当 时,由对称性,也成立, 例: . 故选:BCD 三、填空题 9.(2022·山东青岛·二模)将等差数列中的项排成如下数阵,已知该数阵第n行共有 个数,若 , 且该数阵中第5行第6列的数为42,则 ___________. a 1 a a 2 3 a a a a 4 5 6 7 …… 【答案】 【解析】设公差为 ,因为该数阵第n行共有 个数,则前4行共有 个数, 所以第5行第6列数为 ,则 ,所以 . 故答案为: . 10.(2021·四川成都·三模(理))已知等比数列 的前 项和 满足 ,数列 满足 ,其中 ,给出以下命题: ① ; ②若 对 恒成立,则 ; ③设 , ,则 的最小值为 ;④设 , 若数列 单调递增,则实数 的取值范围为 . 其中所有正确的命题的序号为________. 【答案】②④ 【解析】由 为等比数列,其前 项和 ,则 ,故①不正确; 由 ,可得 ,则 ,若 对 恒成立, 即 对 恒成立, 令 ,则 当 时, ; 当 时, , 当 时, ,则 , 则 ,故②正确; 由 , ,令 ,则 当 , 时, ,当 , 时 则 ,故③不正确; ,由 单调递增, 则 ,则 ,故④正确. 故答案为:②④ 【点睛】关键点点睛:(1)等比数列的前 项和 ; (2)证明数列的单调性一般采用作差(或作商)的方式;(3)数列作为特殊函数,特殊在定义域上,定义域不连续. 11.(2022·广西师范大学附属外国语学校模拟预测)设等差数列 的前 项和为 ,等比数列 的前 项和 ,数列 满足 , , ,且 ;下列几个结论中,所有正确结论 的编号为___________. ① ;② ;③ ;④ . 【答案】③④ 【解析】对于①,当 时, , 当 时, , 因为 是等比数列,所以, ,所以, ,①错; 对于②,因为 , , . 又因为 是等差数列,所以,公差 ,则 . 所以, . 设 ,则 , 所以, ,即 ,②错; 对于③, ,③对; 对于④,因为 , 当 时,, 当 时, 满足 , 所以, . 所以, . 故 ,④对. 故答案为:③④. 12.(2022·全国·长郡中学模拟预测)公比为q的等比数列{ }满足: ,记 , 则当q最小时,使 成立的最小n值是___________ 【答案】17 【解析】 是等比数列, , 又∵ , , 设函数 , ,当 时, , 时, ,∴在x=1时, 取极小值1, , ,由题意即q=e, , , , , , ∴n的最小值是17. 故答案为:17. 13.(2022·山东青岛·二模)已知等比数列 为递增数列, , 是 与 的等差中项. (1)求数列 的通项公式;(2)若项数为n的数列 满足: ( ,2,3,…,n)我们称其为n项的“对称数列”.例如:数 列1,2,2,1为4项的“对称数列”;数列1,2,3,2,1为5项的“对称数列”.设数列 为 项的“对称数列”,其中 , , ,…, 是公差为2的等差数列,数列 的最大项等于 .记数列 的前 项和为 ,若 ,求k. 【答案】(1) (2) 或 【解析】(1)设数列 的公比为q,由题意知: , 所以 ,解得 或 (舍),所以 . (2)由题知: , , , ,…, 是以8为末项,2为公差的等差数列, 所以 ,解得 , 所以 , 所以 所以 ,即 ,解得 或 . 14.(2022·天津市咸水沽第一中学模拟预测)已知数列 满足 ,其前5项和为15;数列 是等比数列,且 , , , 成等差数列. (1)求 和 的通项公式;(2)设数列 的前n项和为 ,证明: ; (3)比较 和 的大小 . 【答案】(1) , ;(2)证明见解析(3) 【解析】(1)因为 ,所以数列 是公差为1的等差数列, 因为 的前5项和为15,所以 , 所以 ,解得 ,所以 . 设等比数列 的公比为q,依题意, ,又 , 可得 ,解得 ,所以 . (2)由(1)得 , 所以 , 故 . (3)记 , ① ②②-①得 , , 所以 , 当 时, , 当 时, , 当 时, , 当 时,因为 , 所以 , 综上, . 【点睛】本题考查了等差等比数列通项公式的求解以及数列的求和方法和有关和式的大小比较,涉及到二 项式系数和,综合性较强,解答时要注意数列求和的错位相减法的应用,比较大小时要注意二项式展开式 的二项式系数和的应用.1.(2020全国Ⅰ文10)设 是等比数列,且 ,则 ( ) A. B. C. D. 【答案】D 【解析】设等比数列 的公比为 ,则 , , ,故选D. S n 2.(2020全国Ⅱ文6)记 S 为等比数列 {a } 的前 项和.若 a −a =12,a −a =24, 则 a =( ) n n n 5 3 6 4 n 2n −1 2−21−n 2−2n−1 21−n −1 A. B. C. D. 【答案】B 【解析】设等比数列的公比为 ,由 可得: , ∴ ,因此 ,故选B. 3.(2020全国Ⅱ理6)数列 {a n } 中, a 1 =2 , a m+n =a m a n,若 a k+1 +a k+2 +⋯+a k+10 =215 −25 ,则k=( ) A. B. C. D. 【答案】C 【解析】在等式 中,令 ,可得 , ,所以,数列 是以 为首项,以 为公比的等比数列,则 , , ,则 ,解得 .故选:C. 4.(2019•新课标Ⅲ,理5)已知各项均为正数的等比数列 的前4项和为15,且 ,则 ( ) A.16 B.8 C.4 D.2 【答案】C 【解析】设等比数列 的公比为 ,则由前4项和为15,且 ,有 , , ,故选 . 5.(2017•新课标Ⅱ,理3)我国古代数学名著《算法统宗》中有如下问题:“远看巍巍塔七层,红光点 点倍加增,共灯三百八十一,请问尖头几盏灯?”意思是:一座 7层塔共挂了381盏灯,且相邻两层中 的下一层灯数是上一层灯数的2倍,则塔的顶层共有灯 A.1盏 B.3盏 C.5盏 D.9盏 【答案】B 【解析】设塔顶的 盏灯,由题意 是公比为2的等比数列, , 解得 ,故选 . 6.(2015•新课标Ⅱ,理4)已知等比数列 满足 , ,则 A.21 B.42 C.63 D.84 【答案】B 【解析】 , , , , ,, ,故选 . 1 (2015新课标Ⅱ,文9)已知等比数列 {a n } 满足 a 1  4, a 3 a 5 4a 4 1 ,则 a 2  ( ) 7. 1 1 C. D. A.2 B.1 2 8 【答案】C a 1 【解析】由题意可得 a 3 a 5 a 4 2 4a 4 1a 4 2 ,所以 q3  a 1 4 8q2 ,故 a 2 a 1 q  2 8.(2018北京) “十二平均律”是通用的音律体系,明代朱载堉最早用数学方法计算出半音比例,为这个理 论的发展做出了重要贡献.十二平均律将一个纯八度音程分成十二份,依次得到十三个单音,从第二 个单音起,每一个单音的频率与它的前一个单音的频率的比都等于 .若第一个单音的频率为f,则 第八个单音的频率为 A. B. C. D. 【答案】D 【解析】从第二个单音起,每一个单音的频率与它的前一个单音的频率的比都等于 ,第一个单音的频 率为 ,由等比数列的概念可知,这十三个单音的频率构成一个首项为 ,公比为 的等比数列,记为 ,则第八个单音频率为 ,故选D. 9.(2018浙江)已知 , , , 成等比数列,且 .若 ,则 A. , B. , C. , D. , 【答案】B 【解析】 因为 ( ),所以,所以 ,又 ,所以等比数列的公比 . 若 ,则 , 而 ,所以 , 与 矛盾, 所以 ,所以 , , 所以 , ,故选B. {a } 10.(2014重庆)对任意等比数列 n ,下列说法一定正确的是 A. 成等比数列 B. 成等比数列 C. 成等比数列 D. 成等比数列 【答案】D 【解析】由等比数列的性质得, ,因此 一定成等比数列. 11.(2019•新课标Ⅰ,理14)记 为等比数列 的前 项和.若 , ,则 . 【答案】 【解析】在等比数列中,由 ,得 ,即 , ,则 . 12.(2019•新课标Ⅰ,文14)记 为等比数列 的前 项和,若 , ,则 . 【答案】 【解析】 等比数列 的前 项和, , , , ,整理可得, ,解可得, ,则 . 13.(2015新课标Ⅰ,文13)数列 中 为 的前n项和,若 ,则 . 【答案】6 【解析】∵ ,∴数列 是首项为2,公比为2的等比数列,∴ , ∴ ,∴n=6.. 14.(2017•新课标Ⅲ,理14)设等比数列 满足 , ,则 . 【答案】 【解析】设等比数列 的公比为 , , , , ,解得 , ,则 . 15.(2017江苏)等比数列 的各项均为实数,其前 项的和为 ,已知 , ,则 = . 【答案】32 【 解 析 】 设 的 公 比 为 , 由 题 意 , 由 , 所 以 , 由 ,得 ,所以 . 16.(2017北京)若等差数列 和等比数列 满足 , ,则 =_____. 【答案】1【解析】设 的公差为 , 的公比为 ,由题意 , 所以 , ,所以 . 17.(2017•新课标Ⅱ,文 17)已知等差数列 的前 项和为 ,等比数列 的前 项和为 , , , . (1)若 ,求 的通项公式; (2)若 ,求 . 【解析】(1)设等差数列 的公差为 ,等比数列 的公比为 , , , , ,可得 , , 解得 , 或 , (舍去),则 的通项公式为 , ; (2) , ,可得 ,解得 或 , 当 时, , , , ; 当 时, , , , . 18.(2018•新课标Ⅲ,理文17)等比数列 中, , . (1)求 的通项公式; (2)记 为 的前 项和.若 ,求 . 【解析】(1) 等比数列 中, , . ,解得 , 当 时, ,当 时, , 的通项公式为, ,或 .(2)记 为 的前 项和. 当 , 时, , 由 ,得 , ,无解; 当 , 时, , 由 ,得 , ,解得 .