当前位置:首页>文档>备战2024年高考数学模拟卷(新高考II卷专用)(解析版)_02高考数学_新高考复习资料_2024年新高考资料_专项复习资料_2024年高考预测模拟卷+押题卷(新高考)

备战2024年高考数学模拟卷(新高考II卷专用)(解析版)_02高考数学_新高考复习资料_2024年新高考资料_专项复习资料_2024年高考预测模拟卷+押题卷(新高考)

  • 2026-04-15 06:41:55 2026-04-15 05:32:36

文档预览

备战2024年高考数学模拟卷(新高考II卷专用)(解析版)_02高考数学_新高考复习资料_2024年新高考资料_专项复习资料_2024年高考预测模拟卷+押题卷(新高考)
备战2024年高考数学模拟卷(新高考II卷专用)(解析版)_02高考数学_新高考复习资料_2024年新高考资料_专项复习资料_2024年高考预测模拟卷+押题卷(新高考)
备战2024年高考数学模拟卷(新高考II卷专用)(解析版)_02高考数学_新高考复习资料_2024年新高考资料_专项复习资料_2024年高考预测模拟卷+押题卷(新高考)
备战2024年高考数学模拟卷(新高考II卷专用)(解析版)_02高考数学_新高考复习资料_2024年新高考资料_专项复习资料_2024年高考预测模拟卷+押题卷(新高考)
备战2024年高考数学模拟卷(新高考II卷专用)(解析版)_02高考数学_新高考复习资料_2024年新高考资料_专项复习资料_2024年高考预测模拟卷+押题卷(新高考)
备战2024年高考数学模拟卷(新高考II卷专用)(解析版)_02高考数学_新高考复习资料_2024年新高考资料_专项复习资料_2024年高考预测模拟卷+押题卷(新高考)
备战2024年高考数学模拟卷(新高考II卷专用)(解析版)_02高考数学_新高考复习资料_2024年新高考资料_专项复习资料_2024年高考预测模拟卷+押题卷(新高考)
备战2024年高考数学模拟卷(新高考II卷专用)(解析版)_02高考数学_新高考复习资料_2024年新高考资料_专项复习资料_2024年高考预测模拟卷+押题卷(新高考)
备战2024年高考数学模拟卷(新高考II卷专用)(解析版)_02高考数学_新高考复习资料_2024年新高考资料_专项复习资料_2024年高考预测模拟卷+押题卷(新高考)
备战2024年高考数学模拟卷(新高考II卷专用)(解析版)_02高考数学_新高考复习资料_2024年新高考资料_专项复习资料_2024年高考预测模拟卷+押题卷(新高考)
备战2024年高考数学模拟卷(新高考II卷专用)(解析版)_02高考数学_新高考复习资料_2024年新高考资料_专项复习资料_2024年高考预测模拟卷+押题卷(新高考)
备战2024年高考数学模拟卷(新高考II卷专用)(解析版)_02高考数学_新高考复习资料_2024年新高考资料_专项复习资料_2024年高考预测模拟卷+押题卷(新高考)
备战2024年高考数学模拟卷(新高考II卷专用)(解析版)_02高考数学_新高考复习资料_2024年新高考资料_专项复习资料_2024年高考预测模拟卷+押题卷(新高考)
备战2024年高考数学模拟卷(新高考II卷专用)(解析版)_02高考数学_新高考复习资料_2024年新高考资料_专项复习资料_2024年高考预测模拟卷+押题卷(新高考)
备战2024年高考数学模拟卷(新高考II卷专用)(解析版)_02高考数学_新高考复习资料_2024年新高考资料_专项复习资料_2024年高考预测模拟卷+押题卷(新高考)
备战2024年高考数学模拟卷(新高考II卷专用)(解析版)_02高考数学_新高考复习资料_2024年新高考资料_专项复习资料_2024年高考预测模拟卷+押题卷(新高考)
备战2024年高考数学模拟卷(新高考II卷专用)(解析版)_02高考数学_新高考复习资料_2024年新高考资料_专项复习资料_2024年高考预测模拟卷+押题卷(新高考)
备战2024年高考数学模拟卷(新高考II卷专用)(解析版)_02高考数学_新高考复习资料_2024年新高考资料_专项复习资料_2024年高考预测模拟卷+押题卷(新高考)
备战2024年高考数学模拟卷(新高考II卷专用)(解析版)_02高考数学_新高考复习资料_2024年新高考资料_专项复习资料_2024年高考预测模拟卷+押题卷(新高考)
备战2024年高考数学模拟卷(新高考II卷专用)(解析版)_02高考数学_新高考复习资料_2024年新高考资料_专项复习资料_2024年高考预测模拟卷+押题卷(新高考)
备战2024年高考数学模拟卷(新高考II卷专用)(解析版)_02高考数学_新高考复习资料_2024年新高考资料_专项复习资料_2024年高考预测模拟卷+押题卷(新高考)
备战2024年高考数学模拟卷(新高考II卷专用)(解析版)_02高考数学_新高考复习资料_2024年新高考资料_专项复习资料_2024年高考预测模拟卷+押题卷(新高考)
备战2024年高考数学模拟卷(新高考II卷专用)(解析版)_02高考数学_新高考复习资料_2024年新高考资料_专项复习资料_2024年高考预测模拟卷+押题卷(新高考)
备战2024年高考数学模拟卷(新高考II卷专用)(解析版)_02高考数学_新高考复习资料_2024年新高考资料_专项复习资料_2024年高考预测模拟卷+押题卷(新高考)
备战2024年高考数学模拟卷(新高考II卷专用)(解析版)_02高考数学_新高考复习资料_2024年新高考资料_专项复习资料_2024年高考预测模拟卷+押题卷(新高考)
备战2024年高考数学模拟卷(新高考II卷专用)(解析版)_02高考数学_新高考复习资料_2024年新高考资料_专项复习资料_2024年高考预测模拟卷+押题卷(新高考)
备战2024年高考数学模拟卷(新高考II卷专用)(解析版)_02高考数学_新高考复习资料_2024年新高考资料_专项复习资料_2024年高考预测模拟卷+押题卷(新高考)
备战2024年高考数学模拟卷(新高考II卷专用)(解析版)_02高考数学_新高考复习资料_2024年新高考资料_专项复习资料_2024年高考预测模拟卷+押题卷(新高考)
备战2024年高考数学模拟卷(新高考II卷专用)(解析版)_02高考数学_新高考复习资料_2024年新高考资料_专项复习资料_2024年高考预测模拟卷+押题卷(新高考)

文档信息

文档格式
docx
文档大小
1.439 MB
文档页数
25 页
上传时间
2026-04-15 05:32:36

文档内容

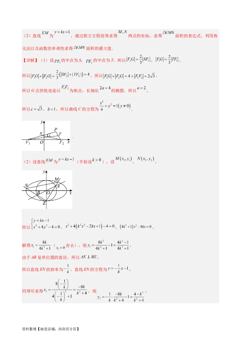
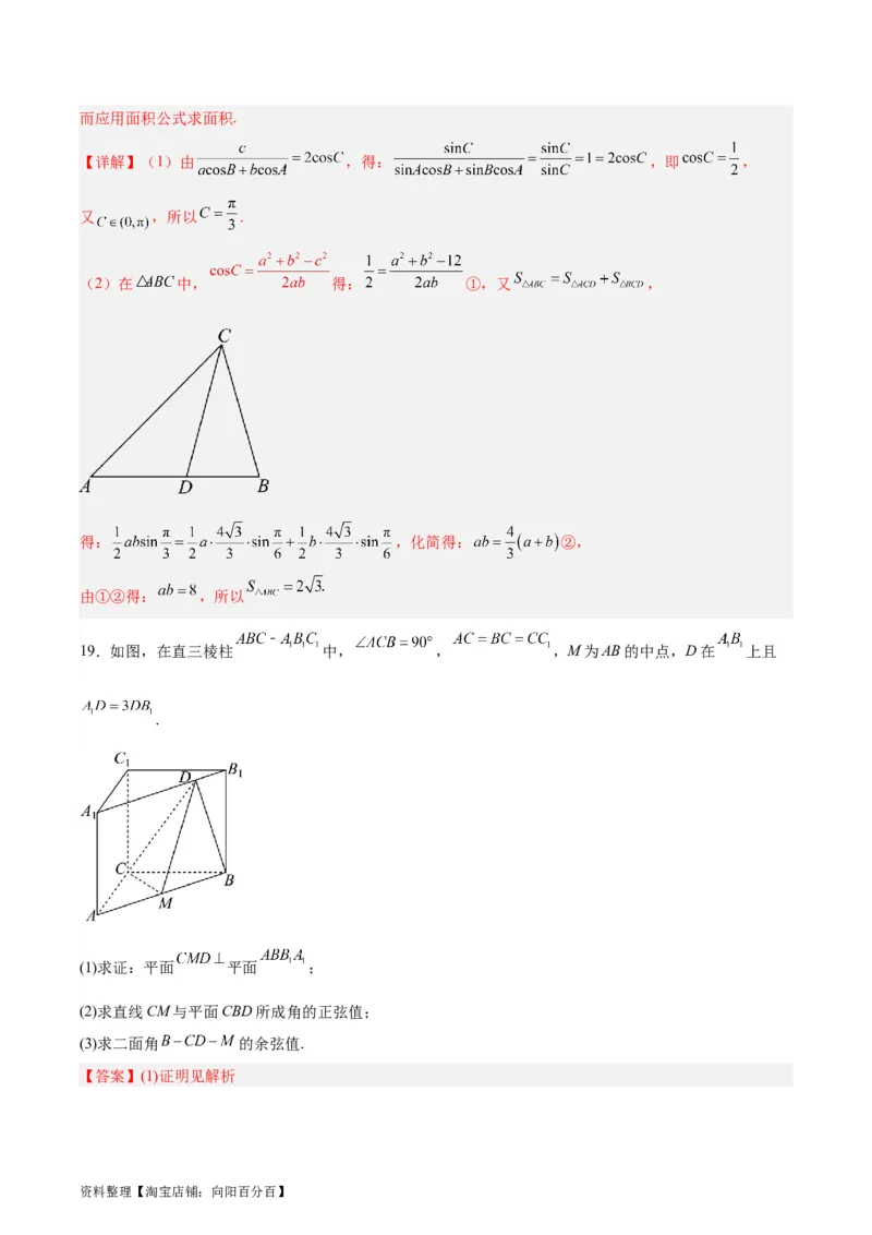
【赢在高考·黄金8卷】备战2024年高考数学模拟卷(新高考II 卷专用) 黄金卷 (考试时间:120分钟 试卷满分:150分) 第 I 卷(选择题) 一、单项选择题:本题共8小题,每小题5分,共40分,在每小题给出的四个选项中,只有一项是符合要 求的。 1.设全集 ,集合 , ,则 ( ). A. B. C. D. 【答案】C 【分析】先化简集合集合 ,从而利用集合交并补运算即可得解. 【详解】因为 , 又 ,所以 , 因为 , 所以 , 故选:C 2.已知复数z满足 ,则 ( ) A.2 B.3 C.4 D. 【答案】D 【分析】先根据复数的四则运算化简复数,再计算模长即可. 【详解】复数 ,有 故选:D 资料整理【淘宝店铺:向阳百分百】3.已知向量 , ,且 与 方向相反,若 ,则 在 方向上的投影向量的坐标 是( ) A. B. C. D. 【答案】B 【分析】根据向量的共线求得m的值,结合 与 方向相反确定m,根据向量的投影向量的定义即可求得 答案. 【详解】由题意知向量 , 共线, 故 ,解得 或 , 又因为且 与 方向相反,故 , 所以 ,而 , 则 在 方向上的投影向量是 , 即 在 方向上的投影向量的坐标是 , 故选:B 4.按从小到大顺序排列的两组数据:甲组:27,31,37,m,42,49;乙组:24,n,33,44,48,52, 若这两组数据的第30百分位数、第50百分位数都分别对应相等,则 ( ) A.60 B.65 C.70 D.71 【答案】D 【分析】利用百分位数的定义即可得解. 【详解】因为甲组:27,31,37,m,42,49;乙组:24,n,33,44,48,52, 由 ,得第30百分位数是第2个数据,故 , 由 ,得第50百分位数是第3与4个数据平均值 ,解得 . 所以 . 资料整理【淘宝店铺:向阳百分百】故选:D. 5.已知 , , .若 , ,则 ( ) A. B. C. D. 【答案】B 【分析】根据题意分析可得 ,利用两角和差公式结合指数幂运算求解. 【详解】由题意可得 , 因为 , ,则 , 可得 ,即 , 则 , 令 , 则 ,整理得 ,解得 或 (舍去), 即 ,解得 . 故选:B. 6.定义在R上的奇函数 ,对任意 都有 ,若 ,则不等式 的解集是( ) A. B. C. D. 【答案】C 【分析】构造 ,确 在 上单调递减, 为奇函数,得到 ,解得答案. 资料整理【淘宝店铺:向阳百分百】【详解】 , ,则 , 设 ,故 , 在 上单调递减, 为奇函数,则 , 为奇函数, 在 上单调递减, , , ,即 ,故 , 故选:C. 7.古希腊数学家阿波罗尼奥斯所著的八册《圆锥曲线论(Conics)》中,首次提出了圆锥曲线的光学性质, 其中之一的内容为:“若点 为椭圆上的一点, 、 为椭圆的两个焦点,则点 处的切线平分 外角”.根据此信息回答下列问题:已知椭圆 , 为坐标原点, 是点 处的切线,过 左焦点 作 的垂线,垂足为 ,则 为( ) A. B. C. D. 【答案】A 【分析】延长 、 交于点 ,分析可知,则 为 的中点,且 ,利用中位线的性质结 合椭圆的的定义可求得 的值. 【详解】如下图所示: 资料整理【淘宝店铺:向阳百分百】延长 、 交于点 ,由题意可知 , 又因为 ,则 为 的中点,且 , 所以, , 又因为 为 的中点,则 . 故选:A. 8.已知点 在棱长为2的正方体表面上运动, 是该正方体外接球的一条直径,则 的最小值为 ( ) A.-2 B.-8 C.-1 D.0 【答案】A 【分析】通过基底法,得到 ,再通过立体图得到 的值以及 的最小值,最终代 入数据得到最小值. 【详解】如图 为棱长为2的正方体外接球的一条直径, 为球心, 为正方体表面上的任一点, 则球心 也就是正方体的中心, 所以正方体的中心 到正方体表面任一点 的距离的最小值为正方体的内切球的半径, 资料整理【淘宝店铺:向阳百分百】它等于棱长的一半,即长度为1, 的长为正方体的对角线长,为 , 我们将三角形 单独抽取出来如下图所示: ,所以 的最小值为 . 故选:A. 二、多项选择题:本题共4小题,每小题5分,共20分,在每小题给出的四个选项中,有多项符合题目的 要求,全部选对的得5分,部分选对的得2分,有选错的得0分。 9.已知函数 的部分图象如图所示,下列说法正确的是( ) A. B.函数 的图象关于 对称 C.函数 在 的值域为 D.要得到函数 的图象,只需将函数 的图象向左平移 个单位 【答案】ACD 资料整理【淘宝店铺:向阳百分百】【分析】先由图象信息求出 表达式,从而即可判断A;注意到 是 的对称 中心当且仅当 ,由此即可判断B;直接由换元法结合函数单调性求值域对比即 可判断C;直接按题述方式平移函数图象,求出新的函数解析式,对比即可判断. 【详解】如图所示: 由图可知 ,又 , 所以 ,所以 , 又函数图象最高点为 , 所以 ,即 , 所以 ,解得 , 由题意 ,所以只能 ,故A选项正确; 由A选项分析可知 ,而 是 的对称中心当且仅当 , 资料整理【淘宝店铺:向阳百分百】但 ,从而函数 的图象不关于 对称,故B选项错误; 当 时, , , 而函数 在 上单调递减,在 上单调递增, 所以当 时, , 所以函数 在 的值域为 ,故C选项正确; 若将函数 的图象向左平移 个单位, 则得到的新的函数解析式为 ,故 D选项正确. 故选:ACD. 10.如图,在四棱锥 中,底面 是边长为2的菱形, , 为正三角形, 为 的中点,且平面 平面 是线段 上的一点,则以下说法正确的是( ) A. B. C.若点 为线段 的中点,则直线 平面 资料整理【淘宝店铺:向阳百分百】D.若 ,则直线 与平面 所成角的余弦值为 【答案】BCD 【分析】根据题意,由线面垂直的判断定理即可判断AB,由线面平行的判定定理即可判断C,建立空间 直角坐标系,结合空间向量的坐标运算,即可判断D. 【详解】连接 , 因为底面 是边长为2的菱形, ,又 为正三角形, 为 的中点,所以 , ,又 , 平面 ,所以 平面 ,又 平面 ,所以 ,又 ,所以 ,故B正确; 当点 为线段 的中点时,取 的中点 ,连接 ,则 ,且 ,又 为 的 中点,底面 是边长为 的菱形,所以 ,且 ,所以 ,且 ,所以 四边形 为平行四边形,所以 ,又 平面 , 平面 ,所以 平面 , 故C正确; 因为平面 平面 , 为正三角形, 为 中点,所以 ,平面 平面 , 平面 ,所以 平面 ,且 平面 ,所以 ,又 , , 平面 ,所以 平面 ,又 平面 ,所以 ,显然 与平面 不垂直,故当点 运动到点 位置时,才有 ,故A错误; 建立如图所示的空间直角坐标系,则 , 又 ,所以 ,则 , , ,设平面 资料整理【淘宝店铺:向阳百分百】的法向量为 ,则 ,令 ,则 ,所以 ,设 直线 与平面 的夹角为 ,则 ,则 ,所以直线 与平面 所成角的余弦值为 ,故D正确; 故选:BCD 11.下列式子中最小值为4的是( ) A. B. C. D. 【答案】BC 【分析】对于ABC:利用基本不等式运算求解;对于D:取特值 代入检验. 【详解】对于选项A:因为 ,则 , 当且仅当 ,即 时等号成立, 但 ,所以 的最小值不为4,故A错误; 对于选项B:因为 ,则 , 当且仅当 ,即 时,等号成立, 所以 的最小值为4,故B正确; 对于选项C:因为 , 则 , 资料整理【淘宝店铺:向阳百分百】当且仅当 ,即 时,等号成立,故C成立; 对于选项D:令 ,可得 , 所以4不是 的最小值,故D错误; 故选:BC. 12.已知拋物线 ,过其准线上的点 作 的两条切线,切点分别为 ,则下 列说法正确的是( ) A.抛物线 的方程为 B. C.直线 的斜率为 D.直线 的方程为 【答案】BCD 【分析】由准线所过点求得 得抛物线方程,判断A,设直线 ,代入抛物线方程后应用韦达 定理判断B,设 , ,利用选项B中斜率 表示出 两点坐标,计算斜率判断C,利 用韦达定理得出线段 中点坐标得直线方程判断D. 【详解】因为 在准线上,所以准线方程为 ,所以 ,抛物线 的方程为 ,故A 错误; 设直线 ,代入 ,得 , 当直线与 相切时, ,即 , 设 的斜率分别为 ,易知 是上述方程的两根,故 , 所以 ,故B正确; 设 , ,则 分别是方程 的根, 所以 ,所以 ,故C正确; 资料整理【淘宝店铺:向阳百分百】, , 所以 的中点为 ,直线 的方程为 ,即 ,故D正确. 故选:BCD. 第 II 卷(非选择题) 三、填空题:本题共4小题,每小题5分,共20分。 13.已知幂函数 在区间 上单调递减,则 . 【答案】 【分析】利用幂函数的定义及单调性求解即得. 【详解】由幂函数的定义知, ,即 ,解得 或 , 当 时, 在区间 上单调递增,不符合题意, 当 时, 在区间 上单调递减,符合题意,所以 . 故答案为: 14.已知圆M的圆心在直线 上,且过 , ,则圆M的方程为 . 【答案】 【分析】根据圆M的圆心在直线 上,设圆心为 ,再根据圆过点 , ,由 求解. 【详解】解:因为圆M的圆心在直线 上,且过 , , 所以设圆心为 , , 解得 ,则圆心为 , , 所以圆的方程为: , 资料整理【淘宝店铺:向阳百分百】故答案为: 15.已知二项式 的展开式中只有第4项的二项式系数最大,现从展开式中任取2项, 则取到的项都是有理项的概率为 . 【答案】 【分析】根据题意得到展开式的总项数为7项, ,然后利用展开式的通项公式得到有理项项数,再利 用古典概型的概率求解. 【详解】因为二项式的展开式中只有第4项的二项式系数最大, 所以展开式的总项数为7项,故 , 展开式的通项 , 当 是偶数时该项为有理项, 时,项为有理项,共有4项, 所以所有项中任取2项,都是有理项的概率为 . 故答案为: 16.已知函数 ,若关于 的方程 恰有 个不同实数根,则实 数 的取值范围为 . 【答案】 【分析】先利用导数研究 时 的性质,作出 的图象.若关于 的方程 恰有 个不同实数根,令 ,通过分析可得 有2个 不等实根 ,且 ,数形结合即可建立关于 的不等式组,即可求解. 资料整理【淘宝店铺:向阳百分百】【详解】当 时, ,则 , 令 ,解得 , 所以当 时, , 单调递增, 当 时, , 单调递减, 根据题意可作出 的图象如下: 若关于 的方程 恰有4个不同实数根, 令 , ,则 有两个不等实数根 , 故 与 都有2个交点,或者 与 有1个交点, 与 有3个交点; 当 与 都有2个交点,根据图象可得 ,不满足 ,舍去; 当 与 有1个交点, 与 有3个交点, 则 ,当 时, ,解得 , 故 ,解得 或 ,舍去; 故 , 两个实数根的范围为 , 所以 ,解得 , 资料整理【淘宝店铺:向阳百分百】所以实数 的取值范围为 . 故答案为: . 【点睛】关键点睛:本题求解的关键是利用数形结合思想,作出函数的图象,通过图象得到 与 有1个交点, 与 有3个交点,并通过分析得到 . 四、解答题:本题共6小题,共70分,解答应写出必要的文字说明、证明过程及验算步骤。 17.记数列 的前n项和为 ,对任意正整数n,有 ,且 . (1)求数列 的通项公式; (2)设 ,数列 的前n项和为 ,求证: . 【答案】(1) (2)证明见解析 【分析】(1)根据数列递推式 ,利用 可得 ,利用累乘法,结合验 证首项,即可求得答案; (2)由(1)可得 的表达式,利用错位相减法可求得 ,即可证明结论. 【详解】(1)由题意对任意正整数n,有 , 则 时, ,即 ; 当 时, ,则 , 即 ,即 , 资料整理【淘宝店铺:向阳百分百】故 时, , 也适合上式,故 ; (2)证明:由(1)可得 , 故 , 则 , 故 , 故 ,由于 ,故 , 故 . 18.在 中,角A,B,C所对的边分别为a,b,c,已知 (1)求角 ; (2) 是 的角平分线,若 , ,求 的面积. 【答案】(1) ; (2) . 【分析】(1)由正弦边角关系及已知得 ,即可得角 ; (2)由余弦定理得 ,由 及面积公式得 ,求得 ,进 资料整理【淘宝店铺:向阳百分百】而应用面积公式求面积. 【详解】(1)由 ,得: ,即 , 又 ,所以 . (2)在 中, 得: ①,又 , 得: ,化简得: ②, 由①②得: ,所以 19.如图,在直三棱柱 中, , ,M为AB的中点,D在 上且 . (1)求证:平面 平面 ; (2)求直线CM与平面CBD所成角的正弦值; (3)求二面角 的余弦值. 【答案】(1)证明见解析 资料整理【淘宝店铺:向阳百分百】(2) (3) 【分析】(1)证明 ,推出 平面 ,进而可得结论; (2)以 为原点, 为 轴, 为 轴, 为 轴,建立空间直角坐标系,利用向量法求直线CM与 平面CBD所成角的正弦值; (3)利用向量法求二面角 的余弦值. 【详解】(1) 直三棱柱 中, ,M为AB的中点, , 平面 , 平面 ,又 , 平面 , 平面 ,又 平面 , 平面 平面 ; (2)以 为原点, 为 轴, 为 轴, 为 轴,建立空间直角坐标系, 设 , 则 , 设面 的法向量 , 则 ,取 ,得 , 设直线CM与平面CBD所成角为 , 资料整理【淘宝店铺:向阳百分百】; (3)设面 的法向量为 ,又 , ,取 得 , , 所以二面角 的余弦值为 . 20.后疫情时代,为了可持续发展,提高人民幸福指数,国家先后出台了多项减税增效政策.某地区对在职 员工进行了个人所得税的调查,经过分层随机抽样,获得500位在职员工的个人所得税(单位:百元)数据, 按 , 分成九组,制成如图所示的频率分布直方图: 假设每个组内的数据是均匀分布的. (1)求这500名在职员工的个人所得税的中位数(保留到小数点后一位); 资料整理【淘宝店铺:向阳百分百】(2)从个人所得税在 三组内的在职员工中,采用分层抽样的方法抽取了10人,现从这10 人中随机抽取3人,记年个税在 内的员工人数为 ,求 的分布列和数学期望; (3)以样本的频率估计概率,从该地区所有在职员工中随机抽取100名员工,记年个税在 内的员工人 数为 ,求 的数学期望与方差. 【答案】(1) 百元 (2)分布列见解析, (3) 【分析】(1)根据频率分布直方图的性质求得 ,利用中位数计算公式计算即可. (2)求得 的所有可能取值和对应的概率即可得到分布列,再由数学期望公式计算即可. (3)由题意得 ,由二项分布的数学期望与方差公式直接计算即可. 【详解】(1)设这500名在职员工的个人所得税的中位数为 , 则由频率分布直方图得 , 解得 , 所以这500名在职员工的个人所得税的中位数为 百元. (2)由题意抽取的10人中,年个税在 内的员工人数为 人, 年个税在 内的员工人数为 人, 年个税在 内的员工人数为 人, 若现从这10人中随机抽取3人,记年个税在 内的员工人数为 , 则 的所有可能取值为 , 所以 , , 资料整理【淘宝店铺:向阳百分百】, , 所以 的分布列为: 0 1 2 3 的数学期望为: . (3)由频率分布直方图可知年个税在 内的概率为 , 从该地区所有在职员工中随机抽取100名员工,恰有 个员工的年个税在 内的分 布列服从二项分布 , 由二项分布的数学期望、方差公式可得 , 即 的数学期望与方差分别为 . 21.在 中,已知点 边上的中线长与 边上的中线长之和为 ,记 的重心G的轨迹为曲线C. (1)求C的方程; (2)若圆 ,过坐标原点O且与y轴不重合的任意直线 与圆 相交于点 ,直线 与曲线 的另一个交点分别是点 ,求 面积的最大值. 【答案】(1) (2) 【分析】(1)根据椭圆的定义求得曲线 的方程. 资料整理【淘宝店铺:向阳百分百】(2)直线 为 ,通过联立方程组等求得 两点的坐标,求得 面积的表达式,利用换 元法以及函数的单调性求得 面积的最大值. 【详解】(1)设 的中点为S, 的中点为T,所以 , , 所以 ,所以 , 所以G点的轨迹是以 为焦点,长轴长 的椭圆.所以 , 所以 , ,所以曲线C的方程为 . . (2)设直线 为 (不妨设 ),设 , , 所以 , , , 解得 ( 舍去),则 , 由于AB是单位圆的直径,所以 , 所以直线EN的斜率为 ,直线EN的方程为 , 同理可求得 ,则 , 资料整理【淘宝店铺:向阳百分百】由上述分析可知 , ,而 , 所以 , 所以 ,令 , 当且仅当 , 时等号成立, 则 ,函数 在 上单调递增, 所以当 时, 取得最小值为 . 【点睛】关键点睛:在圆锥曲线中,求解三角形面积最值、范围等的有关问题,关键点有两点,第一点是 求得三角形面积的表达式,可考虑根与系数关系、点到直线的距离公式等等来进行求解;第二点根据面积 的表达式,使用基本不等式、二次函数等知识求得面积的最值或取值范围. 22.已知函数 的最小值为0,其中 . (1)求 的值; (2)若对任意的 ,有 成立,求实数 的最小值; (3)证明: . 【答案】(1) ; (2) ; (3)证明见解析. 资料整理【淘宝店铺:向阳百分百】【分析】(1)对 进行求导,已知 最小值为0,可得极小值也为0,得 ,从而求出 的 值; (2)由题意任意的 ,有 成立,可以令 先通过 , 大 致确定 取值范围,再利用分类讨论法求出 的最值; (3)由(2)知:令 得: 令 得: ,累加即可的证. 【详解】(1)由函数 ,则其定义域为 ,且 . 由 ,得: ,又由 ,得: , 在 单调递减,在 单调递增, ; (2)设 , 则 在 恒成立等价于 , 注意到 ,又 , ①当 时,由 得 . 在 单减, 单增,这与 式矛盾; ②当 时, 在 恒成立, 符合 , 的最小值为 ; 资料整理【淘宝店铺:向阳百分百】(3)由(2)知:令 得: , 令 得: 当 时, (1); 当 时, , , , 将(1)(2)(3),......,(n)式相加得: 不等式左边: ; 不等式右边: ; 所以 . 【点睛】方法点睛:对于含参函数的恒成立问题的处理,常采用两种方法:①参变分离求最值;②将左右 两边移到一边重新构造一个含参函数,讨论含参函数的单调性,确定哪一个点处取得最值. 资料整理【淘宝店铺:向阳百分百】