样本量计算器,免费下载使用,手把手教你计算样本量!
这个计算样本量的小工具,非常容易上手,因为它就是一个简易的中文计算器;说它绝对可靠,因为它严格按照样本量计算公式进行计算的。
而且,它还有已经撰写好的文本模板,帮助你能够快速地将样本量计算依据写在你的开题报告、项目申报书中!
这个exce形式的小工具,便是浙江中医药大学公共卫生学院郑老师团队为零基础者编写的样本量计算小工具—“浙中大样本量计算器”。
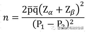
随机对照研究两个率比较的样本量计算,有一个简单可信的公式
但是,你可能不太明白,这个公式到底是什么意思、我如何基于该公式去计算。现在我就来介绍下这款这个计算器,看它如何帮你一步一步来,掌握样本量计算过程。
第三步:在“浙中大样本量计算器”中,找到相应的页面和计算器。

这个计算器和上述样本量公式结果一样!所以十分可靠!
|
I类错误α:一般是0.05双侧,或者双侧0.1(0.05单侧),α对应公式Zα,双侧检验Z0.05=1.96,单侧检验Z0.05=1.64:一般填0.05双侧
|
|
把握度1-β:一般是0.8或者0.9,对应公式Zβ,为单侧检验,把握度(检验效能)为1-β,当β=0.1时,把握度为0.9,Zβ=1.28;当β=0.2时,把握度为0.8,Zβ=0.84;一般建议0.8,这样可以的
|
|
干预组患病率P1以及对照组患病率P2:可来源于预试验、专家估计或者已发表的文献
|
|
那么如果,查文献得到预计干预组率23%,对照组率35%。要求双侧检验,α为0.05,两组样本量比值1:1(即两组病例数相等),把握度(检验效能)1-β=0.9,可以根据样本量公式得到301例。
这个“浙中大样本量计算器”一个非常好用地方是,帮你把样本量计算的文字撰写格式都准备好了。你只要复制黏贴excel中以下这段文字到你的word报告中即可。计算公式都给你准备好了。贴心不?
“本研究为随机对照试验,干预组为运动干预治疗组,对照组为空白对照组,研究对象的抑郁症患病率为观测的结局指标,根据查阅文献,预计干预组的患病率为25%,对照组的患病率为32%,设双侧α=0.05,把握度为90%。
根据上述样本量计算公式计算得到干预组和对照组各需研究对象301例,考虑失访以及拒访的情况(15%),最终至少需要的干预组和对照组研究对象各为354例,总计至少纳入708例研究对象”。
这样,从计算到样本量计算过程的写作,我们全给你写出来了!包括:样本量计算公式、如何获取相应的参数、计算、规范写作!
“浙中大样本量计算器”下载方式
关注本公众号,发送关键词“8888”至公众号,便可获得百度网盘地址进行下载。
请您放心,这个样本量计算方法十分可靠!绝对值得使用!
本公众号作为医学数据分析公众号,提供一些免费医学统计学学习资源下载,欢迎点击下载。
2021年,我们召集了一批富有经验的高校专业队伍,着手举行短期统计课程培训班。如果您有需求,不妨点击查看: