芳氧苯氧丙酸酯(APP)类除草剂(一)-噁唑酰草胺
【产品简介】
【理化性质】
英文名称:Metamifop
中文名称:噁唑酰草胺
化学名称:(R)-2-{(4-氯-1,3-苯并恶唑-2-基氧)苯氧基}-2′-氟-N-甲基丙酰替苯胺
分子式:C23H18CIFN2O4
结构式:

三维分子结构式:

相对分子量:440.87
CAS号:256412-89-2
外观:淡棕色粉末
熔点:77.0~78.5℃
沸点:589.6℃
闪点:310.4℃
密度:1.363g/cm³
溶解度:
水中溶解度为0.69mg/L(pH=7,20℃);
有机溶剂中溶解度(20℃):甲醇、丙酮、乙酸乙酯、二氯乙烷、二甲苯中均>250g/L,正庚烷中为2.32g/L,正辛醇中为41.9g/L。
半衰期:
在土壤中半衰期为40~60天;水中光解半衰期为2.1~9.3h(取决于光源)
【应用领域】
噁唑酰草胺主要用于水稻田防除一年生禾本科杂草。其应用领域集中于农业种植,尤其在水稻主产区广泛使用;使用方法则以茎叶喷雾为主,需严格掌握施药时期、剂量和环境条件,以确保除草效果并避免药害。
一、应用领域
噁唑酰草胺主要应用于以下水稻栽培方式的田块:
-
直播稻田:在水稻2叶1心期后即可施药,适用于播后1~2天或杂草2~3叶期进行茎叶处理。 -
移栽稻田:建议在水稻3叶1心期至拔节期使用,移栽后5~7天为宜,此时水稻已缓苗,抗药性增强。 -
抛秧稻田:同样适用于3叶期以后的抛秧田,安全性高,不易产生药害。
主要防除对象包括:
-
稗草(尤其对抗性稗草效果显著) -
马唐 -
千金子 -
牛筋草
由于其对水稻安全性较高,且能被土壤有机质较快降解,对后茬作物无明显残留危害,因此在轮作区也具有一定应用潜力。
二、使用方法
1. 施药时期
-
最佳时期:水稻3叶1心期以后,此时根系发达,代谢能力强,耐药性好。 -
过早施药风险:水稻秧苗过小(如2叶前),易出现白化叶、新叶抽生困难等药害症状。
-
茎叶喷雾:采用背负式喷雾器或无人机飞防,均匀喷施全田。 -
用水量:每亩兑水30–45公斤,确保药液充分覆盖杂草叶片。 -
助剂添加:建议加入植物油类助剂,提高药液展着性和渗透性,增强药效。
3. 环境与管理要求
-
温度控制:最佳施药温度为28–33℃;高于35℃时,杂草气孔关闭,影响吸收,药效下降。 -
避开高温时段:建议在上午10点前或下午4点后施药,避免中午高温作业。 -
田间水分管理:施药后保持田间湿润但无深水层,24小时内建立3–5厘米水层,并保水5–7天,有助于药剂封闭与根部吸收。
4. 复配建议
-
增效组合: -
噁唑酰草胺 + 氰氟草酯:扩大除草谱,对抗性千金子、稗草有协同增效作用 -
噁唑酰草胺 + 灭草松 / 氯氟吡氧乙酸:可兼除部分阔叶杂草 -
禁忌混用: -
避免与二氯喹啉酸、2甲4氯、吡嘧磺隆、苄嘧磺隆等混用,存在拮抗作用,可能降低药效甚至引发反弹
5. 安全注意事项
-
严禁重喷、漏喷:重复喷雾易导致水稻药害,表现为叶白化、株高矮缩、叶窄如竹叶等。 -
飞防前小试:不同制剂溶剂体系差异大,飞防前应先小面积试验,确认安全性。 -
药害补救:若出现轻微药害,可喷施芸苔素内酯(如垦多乐)+优质叶面肥,促进恢复。 -
安全间隔期:每季水稻最多使用一次,安全间隔期为90天,对后茬作物无残留危害。
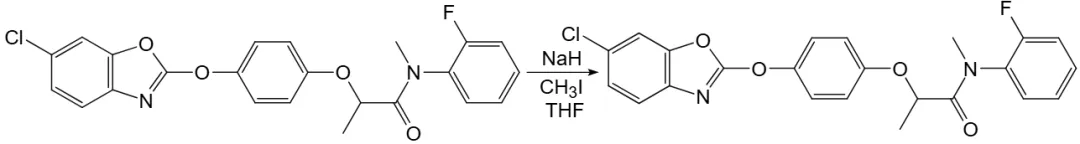
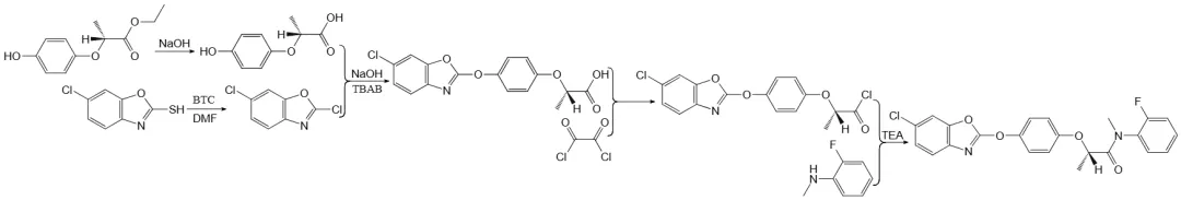
【合成路线】
合成路线一:




夜雨聆风