当前位置:首页>文档>专题10程序流程图与代数式求值(原卷版)_初中数学人教版_7上-初中数学人教版_7上-初中数学人教版(旧版)赠送_07专项讲练

专题10程序流程图与代数式求值(原卷版)_初中数学人教版_7上-初中数学人教版_7上-初中数学人教版(旧版)赠送_07专项讲练

  • 2026-04-04 11:45:08 2026-03-27 07:44:29

文档预览

专题10程序流程图与代数式求值(原卷版)_初中数学人教版_7上-初中数学人教版_7上-初中数学人教版(旧版)赠送_07专项讲练
专题10程序流程图与代数式求值(原卷版)_初中数学人教版_7上-初中数学人教版_7上-初中数学人教版(旧版)赠送_07专项讲练
专题10程序流程图与代数式求值(原卷版)_初中数学人教版_7上-初中数学人教版_7上-初中数学人教版(旧版)赠送_07专项讲练
专题10程序流程图与代数式求值(原卷版)_初中数学人教版_7上-初中数学人教版_7上-初中数学人教版(旧版)赠送_07专项讲练
专题10程序流程图与代数式求值(原卷版)_初中数学人教版_7上-初中数学人教版_7上-初中数学人教版(旧版)赠送_07专项讲练
专题10程序流程图与代数式求值(原卷版)_初中数学人教版_7上-初中数学人教版_7上-初中数学人教版(旧版)赠送_07专项讲练
专题10程序流程图与代数式求值(原卷版)_初中数学人教版_7上-初中数学人教版_7上-初中数学人教版(旧版)赠送_07专项讲练
专题10程序流程图与代数式求值(原卷版)_初中数学人教版_7上-初中数学人教版_7上-初中数学人教版(旧版)赠送_07专项讲练
专题10程序流程图与代数式求值(原卷版)_初中数学人教版_7上-初中数学人教版_7上-初中数学人教版(旧版)赠送_07专项讲练
专题10程序流程图与代数式求值(原卷版)_初中数学人教版_7上-初中数学人教版_7上-初中数学人教版(旧版)赠送_07专项讲练
专题10程序流程图与代数式求值(原卷版)_初中数学人教版_7上-初中数学人教版_7上-初中数学人教版(旧版)赠送_07专项讲练
专题10程序流程图与代数式求值(原卷版)_初中数学人教版_7上-初中数学人教版_7上-初中数学人教版(旧版)赠送_07专项讲练
专题10程序流程图与代数式求值(原卷版)_初中数学人教版_7上-初中数学人教版_7上-初中数学人教版(旧版)赠送_07专项讲练

文档信息

文档格式
docx
文档大小
0.392 MB
文档页数
9 页
上传时间
2026-03-27 07:44:29

文档内容

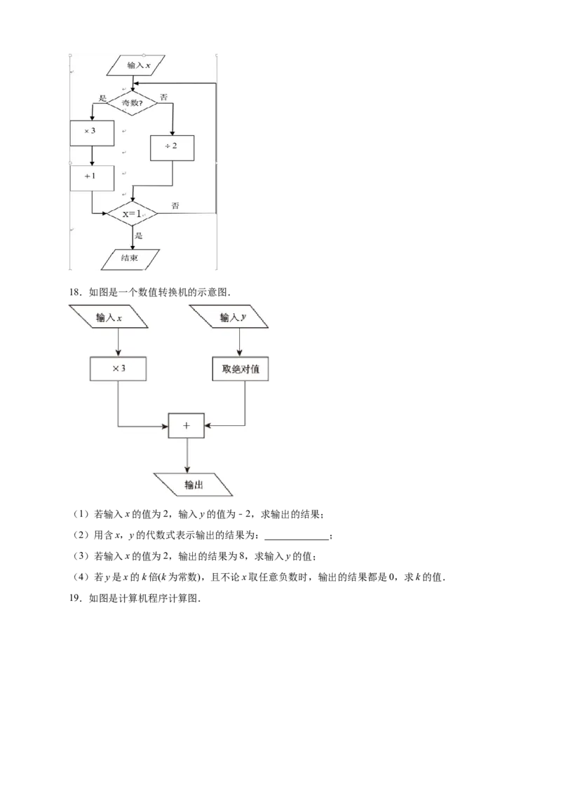
专题10 程序流程图与代数式求值 1.有一台特殊功能计算器,对任意两个整数只能完成求差后再取绝对值的运算,其运算过程是: 输入第一个整数 ,只显示不运算,接着再输入整数 后则显示 的结果.比如依次输入 1,2,则输出的结果是 ;此后每输入一个整数都是与前次显示的结果进行求差后再取绝对 值的运算.有如下结论:①依次输入1,2,3,4,则最后输出的结果是2;②若将1,2,3,4这 4个整数任意地一个一个输入,全部输入完毕后显示的结果的最大值是4;③若将1,2,3,4这4 个整数任意地一个一个地输入,全部输入完毕后显示的结果的最小值是0;④若随意地一个一个地 输入三个互不相等的正整数2,a,b,全部输入完毕后显示的最后结果设为k,若k的最大值为 10,那么k的最小值是6.上述结论中,正确的个数是( ) A.1个 B.2个 C.3个 D.4个 2.按下面的程序计算: 若开始输入 的值为正整数,最后输出的结果为 ,则开始输入的 值可以为( ) A. B. C. D. 3.按如图所示的程序计算,若开始输入的 的值为16,我们发现第1次得到的结果是8,第2次 得到的结果为4…请探索第2020次得到的结果为( ) A.8 B.4 C.2 D.1 4.根据如图所示的程序计算函数y的值,若输入x的值是2,则输出y的值是1,若输入x的值是 7,则输出y的值是( )A.1 B.-1 C.2 D.-2 5.下图是一个运算程序:若 , ,则m的值等于______. 6.按下面的程序计算,若输出结果为16,则满足条件的正数a为______. 7.按下面的程序计算,如果输入﹣1,则输出的结果为___________. 8.有一数值转换器,原理如图所示. (1)若开始输入x的值是7,可发现第1次输出的结果是12,第2次输出的结果是6,第3次输出的结果是3,依次继续下去…,第2022次输出的结果是______; (2)若输入的x值为整数,且第二次输出的结果与开始输入的数值相等,则x的值为______. 9.如图是一个运算程序: (1)若x=﹣2,y=3,求m的值; (2)若x=3,输出结果m的值与输入y的值相同,求y的值. 10.解密数学魔术:魔术师请观众心想一个数,然后将这个数按以下步骤操作: 魔术师能立刻说出观众想的那个数. (1)如果小玲想的数是﹣2,那么她告诉魔术师的结果应该是 ; (2)如果小明想了一个数计算后,告诉魔术师结果为73,那么魔术师立刻说出小明想的那个数是 ; (3)观众又进行了几次尝试,魔术师都能立刻说出他们想的那个数.若设观众心想的数为a,请 通过计算解密这个魔术的奥妙. 11.【知识背景】在学习计算框图时,可以用“ ”表示数据输入、输出框;用“ ”表示数据处理和运算框;用“ ”表示数据判断框(根据条件决定执行两 条路径中的某一条)【尝试解决】 (1)如(图1),当输入数 时,输出数 _______. (2)如(图2),当输入数 时,输出数 _______. (3)如(图3),当输出的值 ,求x的值. 12.有一个数值转换机,原理如图所示,若开始输入的x的值是7,可发现第1次输出的结果是12,第2 次输出的结果是6,...依次继续下去 (1)请列式计算第3次到第8次的输出结果; (2)你根据(1)中所得的结果找到了规律吗?计算2013次输出的结果是多少? 13.明明在计算机中设计了一个有理数运算的程序: ;当输 入 , 的数据时,屏幕会根据运算程序显示出结果. (1)求 的值; (2)芳芳在运用这个程序计算时,输入 , 的数据后屏幕显示“操作无法进行”,请你猜想芳 芳输入数据时可能出现了什么情况,为什么? 14.如图,按程序框图中的顺序计算,当运算结果小于或等于0.99时,则将此时的值返回第一步 重新运算,直至运算结果大于0.99才输出最后的结果,若输入的初始值为0.则最后输出的结果是多少? 15.按下面的程序计算,若开始输入的值 为正数,最后输出的结果为 ,满足条件的 的不同 值最多有几个?请分别求出来. 16.小刚设计了一个如图所示的数值转换程序 (1)当输入x=2时,输出M的值为多少? (2)当输入x=8时,输出M的值为多少? (3)当输出M=10时,输入x的值为多少? 17.在学习代数式的值时,介绍了计算程序中的框图:用“ ”表示数据输入、输出框;用“ ”表示数据处理和运算框;用“ ”表示数据判断框(根据条件决定执行两条路径中的某一 条).按图所示的程序计算(输入的 为正整数). 例如:输入 ,结果依次为 、 、 、 、 ,即运算循环 次(第 次计算结果为 )结束. (1)输入 ,结果依次为 、___________________、 、 、 、 、 . (依次填入循环计算所缺的几次结果) (2)输入 ,运算循环__________次结束. (3)输入正整数 ,经过 次运算结束,试求 的值.18.如图是一个数值转换机的示意图. (1)若输入x的值为2,输入y的值为﹣2,求输出的结果; (2)用含x,y的代数式表示输出的结果为: ; (3)若输入x的值为2,输出的结果为8,求输入y的值; (4)若y是x的k倍(k为常数),且不论x取任意负数时,输出的结果都是0,求k的值. 19.如图是计算机程序计算图.(1)若开始输入为-1,请你根据程序列出综合算式并计算出输出结果; (2)若最后输出为-1,请你求输入的值.(不要求写出过程) 20.在学习代数式的值时,介绍了计算框图:用“ ”表示数据输入、输出框;用“ ”表示数据处理和运算框;用“ ”表示数据判断框(根据条件决定执行两条路径中的某一 条) (1)①如图1,当输入数 时,输出数 ____________; ②如图2,第一个带?号的运算框内,应填___________;第二个带?号运算框内,应填 ___________; (2)①如图3,当输入数 时,输出数 ___________; ②如图4,当输出的值 ,则输入的值 __________; (3)为鼓励节约用水,决定对用水实行“阶梯价”:当每月用水量不超过15吨时(含15吨), 以2元/吨的价格收费;当每月用水量超过15吨时,超过部分以3元/吨的价格收费.请设计出一个“计算框图”,使得输入数为用水量 ,输出数为水费 .