当前位置:首页>文档>信息必刷卷01(新高考八省专用)原卷版_02高考数学_2025年新高考资料_2025考前信息卷_2025年高考数学考前信息必刷卷(新高考八省专用)3430956

信息必刷卷01(新高考八省专用)原卷版_02高考数学_2025年新高考资料_2025考前信息卷_2025年高考数学考前信息必刷卷(新高考八省专用)3430956

  • 2026-04-14 23:57:35 2026-04-14 23:57:35

文档预览

信息必刷卷01(新高考八省专用)原卷版_02高考数学_2025年新高考资料_2025考前信息卷_2025年高考数学考前信息必刷卷(新高考八省专用)3430956
信息必刷卷01(新高考八省专用)原卷版_02高考数学_2025年新高考资料_2025考前信息卷_2025年高考数学考前信息必刷卷(新高考八省专用)3430956
信息必刷卷01(新高考八省专用)原卷版_02高考数学_2025年新高考资料_2025考前信息卷_2025年高考数学考前信息必刷卷(新高考八省专用)3430956
信息必刷卷01(新高考八省专用)原卷版_02高考数学_2025年新高考资料_2025考前信息卷_2025年高考数学考前信息必刷卷(新高考八省专用)3430956
信息必刷卷01(新高考八省专用)原卷版_02高考数学_2025年新高考资料_2025考前信息卷_2025年高考数学考前信息必刷卷(新高考八省专用)3430956
信息必刷卷01(新高考八省专用)原卷版_02高考数学_2025年新高考资料_2025考前信息卷_2025年高考数学考前信息必刷卷(新高考八省专用)3430956
信息必刷卷01(新高考八省专用)原卷版_02高考数学_2025年新高考资料_2025考前信息卷_2025年高考数学考前信息必刷卷(新高考八省专用)3430956
信息必刷卷01(新高考八省专用)原卷版_02高考数学_2025年新高考资料_2025考前信息卷_2025年高考数学考前信息必刷卷(新高考八省专用)3430956
信息必刷卷01(新高考八省专用)原卷版_02高考数学_2025年新高考资料_2025考前信息卷_2025年高考数学考前信息必刷卷(新高考八省专用)3430956
信息必刷卷01(新高考八省专用)原卷版_02高考数学_2025年新高考资料_2025考前信息卷_2025年高考数学考前信息必刷卷(新高考八省专用)3430956

文档信息

文档格式
docx
文档大小
0.442 MB
文档页数
6 页
上传时间
2026-04-14 23:57:35

文档内容

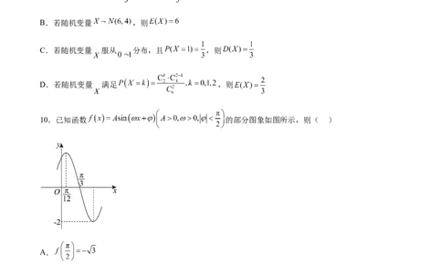
绝密★启用前 2025 年高考考前信息必刷卷 01(新八省专用) 数 学 考情速递 高考·新动向:包含高考命题趋势变化,题目呈现方式的变化等 如第5题,第14题,第18题新定义问题,体现创新考法 高考·新考法:对常规考点的新设问或知识融合,对非常规考点的创新糅合等 高考·新情境:可涉及情境题目的创新性、实时性、开放性以及跨学科的融合性等 如第6题,第9题,第15题,涉及生活情境,社会生产生活,加强学科的应用 命题·大预测:基于本卷的题目进行具体分析,给出趋势性预测,也可提出备考方向等 深化基础性考查,强调对学科基础知识、基本方法的深刻理解,不考死记硬背、不出偏题怪题,引导中学 把教学重点从总结解题技巧转向培养学生学科核心素养。增加基础题比例、降低初始题起点,增强试题的 灵活性和开放性,使学生在考试中能够充分展示自己的思维能力和创新水平. (考试时间:120分钟 试卷满分:150分) 注意事项: 1.答卷前,考生务必将自己的姓名、考生号等填写在答题卡和试卷指定位置上。 2.回答选择题时,选出每小题答案后,用铅笔把答题卡对应题目的答案标号涂黑。如需改动,用橡 皮擦干净后,再选涂其他答案标号。回答非选择题时,将答案写在答题卡上。写在本试卷上无效。 3.考试结束后,将本试卷和答题卡一并交回。 一、选择题:本题共8小题,每小题5分,共40分.在每小题给出的四个选项中,只有一项 是符合题目要求的. 1.已知集合 , ,则 ( ) A. B.C. D. 2.函数 的最小正周期为( ) A.16 B.8 C. D. 3.已知 ( 为虚数单位),则复数 的虚部为( ) A. B.1 C. D. 4.已知向量 , ,若 ,则实数 ( ) A. B. C. D. 5.公元前6世纪,古希腊的毕达哥拉斯学派研究发现了黄金分割数 ,简称黄金数. 离心率等于黄金数的倒数的双曲线称为黄金双曲线.若双曲线 是黄金双曲线,则a=( ) A. B. C. D. 6.不锈钢实心陀螺是早起民间的小孩子的娱乐工具之一,现在成了一些城市老年人健身和娱乐的工具, 目前的成人陀螺的形状由同底的一个圆柱和一个圆锥组合而成.如下图,已知一陀螺的圆柱的底面直径为 16,圆柱和圆锥的高均为6,则该陀螺的表面积为( ) A. B. C. D. 7.在 中, ,则 的面积为( ) A. B. C. D. 8.已知定义域为 的函数 满足 ,当 时, ,则 在区间 上的零点的个数为( ) A.403 B.404 C.405 D.406 二、选择题:本题共3小题,每小题6分,共18分.在每小题给出的选项中,有多项符合题 目要求.全部选对的得6分,部分选对的得部分分,有选错的得0分. 9.下列选项正确的是( ) A.若随机变量 ,则 B.若随机变量 ,则 C.若随机变量 服从 分布,且 ,则 D.若随机变量 满足 ,则 10.已知函数 的部分图象如图所示,则( ) A. B.将 的图象向右平移 个单位,得到 的图象 C. ,都有 D.函数 的单调递减区间为 11.已知抛物线 的焦点为 ,过 的直线 与 交于 , 两点,过点 作 的切线,交准线于点 ,交 轴于点 ,下列说法正确的有( ) A. B.直线QB与 也相切 C. D.若 ,则 三、填空题:本题共3小题,每小题5分,共15分. 12.已知 ,则 . 13.早在几千年之前,在文字还未发明出来的时候,人们通过绳结来记录简单的数字,即“结绳记事”如 图为一部落为记录羊群数量的绳结图,已知其记数的规则为左大右小,即从右往左依次打结,每打8个结 则在该道绳子的左侧的绳子上打1个结,并解开这8个结,则该部落的羊共 14.我们知道,函数 的图象关于坐标原点成中心对称图形的充要条件是函数 为奇函数, 有同学发现可以将其推广为:函数 的图象关于点 成中心对称图形的充要条件是函数 为奇函数.若 的对称中心为 ,则 . 四、解答题(本题共5小题,共77分.解答应写出文字说明、证明过程或演算步骤.) 15.(本小题满分13分)2023年5月30日,搭载神舟十六号载人飞船的长征二号 遥十六运载火箭在酒 泉卫星发射中心点火发射.实验中学某班为弘扬“载人航天精神——特别能吃苦、特别能战斗、特别能攻关、 特别能奉献”,举行航天知识问答活动,活动分为A、 两类项目,且该班级所有同学均参加活动,每位 同学选择一项活动参加. A类 类 男同学 25 15 女同学 10 若采用分层抽样从该班级中抽取6名同学,则有男同学4名,女同学2名. (1)求 以及该班同学选择A类项目的概率;(2)依据小概率值 的独立性检验,能否认为同学选择项目的类别与其性别有关? 0.050 0.010 0.001 3.841 6.635 10.828 附: . 16.(本小题满分15分)已知在正项数列 中,首项 ,点 在双曲线 上,数 列 中,点 在直线 上,其中 是数列 的前 项和. (1)求数列 、 的通项公式; (2)求使得 成立 的最小值; (3)若 ,求证:数列 为递减数列. 17.(本小题满分15分)已知函数 . (1)求曲线 在点 处的切线方程; (2)若0是函数 的极小值点,求实数 的取值范围. 18.(本小题满分17分)已知 分别为椭圆 的左、右焦点, 分别为椭圆 的左、右顶点, 为椭圆 上的动点,过动点 作椭圆 的切线.分别与直线 和 相交 于 两点,四边形 的对角线 相交于点 ,记动点 的轨迹为 . (1)证明:椭圆 在 点处的切线方程为 . (2)求动点 的轨迹 的方程. (3)过点 作斜率不为 的直线 与 相交于点 ,直线 与 的交点为 ,判断点 是否在定直 线上. 19.(本小题满分17分)如图,在四棱锥 中, 底面ABCD, , , .(1)若 ,求:向量 在向量 上的投影向量的模; (2)当 ,且 时,四棱锥 是否有外接球?若有,请求出四棱锥 的外接球的 表面积. (3)若 ,且 ,求二面角 的正切值.