当前位置:首页>文档>数学(七省新高考01)(参考答案)(含步骤分值)_2.2025数学总复习_2024年新高考资料_1.2024一轮复习_一轮复习讲义2024年高考数学高频考点题型归纳与方法总结(新高考通用)

数学(七省新高考01)(参考答案)(含步骤分值)_2.2025数学总复习_2024年新高考资料_1.2024一轮复习_一轮复习讲义2024年高考数学高频考点题型归纳与方法总结(新高考通用)

  • 2026-04-29 14:16:00 2026-03-21 10:24:46

文档预览

数学(七省新高考01)(参考答案)(含步骤分值)_2.2025数学总复习_2024年新高考资料_1.2024一轮复习_一轮复习讲义2024年高考数学高频考点题型归纳与方法总结(新高考通用)
数学(七省新高考01)(参考答案)(含步骤分值)_2.2025数学总复习_2024年新高考资料_1.2024一轮复习_一轮复习讲义2024年高考数学高频考点题型归纳与方法总结(新高考通用)
数学(七省新高考01)(参考答案)(含步骤分值)_2.2025数学总复习_2024年新高考资料_1.2024一轮复习_一轮复习讲义2024年高考数学高频考点题型归纳与方法总结(新高考通用)
数学(七省新高考01)(参考答案)(含步骤分值)_2.2025数学总复习_2024年新高考资料_1.2024一轮复习_一轮复习讲义2024年高考数学高频考点题型归纳与方法总结(新高考通用)
数学(七省新高考01)(参考答案)(含步骤分值)_2.2025数学总复习_2024年新高考资料_1.2024一轮复习_一轮复习讲义2024年高考数学高频考点题型归纳与方法总结(新高考通用)
数学(七省新高考01)(参考答案)(含步骤分值)_2.2025数学总复习_2024年新高考资料_1.2024一轮复习_一轮复习讲义2024年高考数学高频考点题型归纳与方法总结(新高考通用)
数学(七省新高考01)(参考答案)(含步骤分值)_2.2025数学总复习_2024年新高考资料_1.2024一轮复习_一轮复习讲义2024年高考数学高频考点题型归纳与方法总结(新高考通用)
数学(七省新高考01)(参考答案)(含步骤分值)_2.2025数学总复习_2024年新高考资料_1.2024一轮复习_一轮复习讲义2024年高考数学高频考点题型归纳与方法总结(新高考通用)
数学(七省新高考01)(参考答案)(含步骤分值)_2.2025数学总复习_2024年新高考资料_1.2024一轮复习_一轮复习讲义2024年高考数学高频考点题型归纳与方法总结(新高考通用)

文档信息

文档格式
docx
文档大小
0.551 MB
文档页数
9 页
上传时间
2026-03-21 10:24:46

文档内容

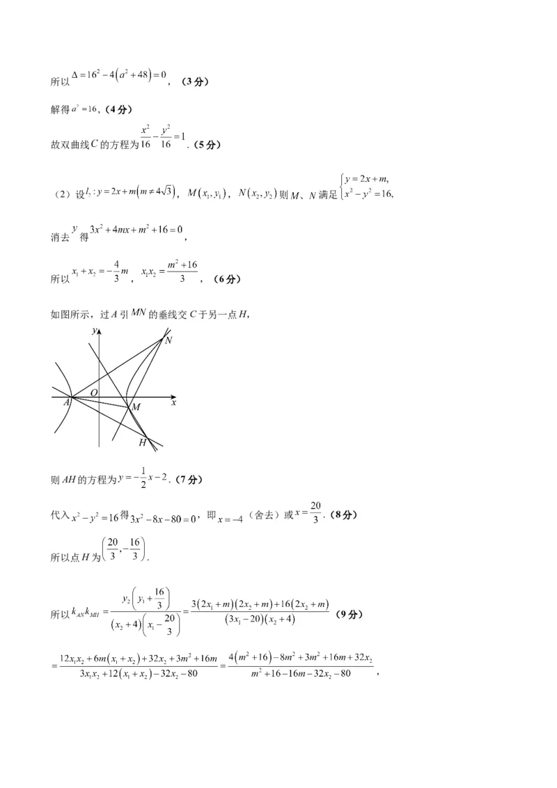
2024 年高考数学第一次模拟考试(七省新高考) 数学·参考答案 一、单项选择题:本题共8小题,每小题5分,共40分,在每小题给出的四个选项中,只有一项 是符合要求的。 1 2 3 4 5 6 7 8 A B A C D D C B 二、多项选择题:本题共4小题,每小题5分,共20分,在每小题给出的四个选项中,有多项符 合题目的要求,全部选对的得5分,部分选对的得2分,有选错的得0分。 9 10 11 12 AC BD BC ABD 三、填空题:本大题共4小题,每小题5分,共20分 13. 14. 15. 或 (写出一个即可) 16. 四、解答题:本小题共6小题,共70分,其中第17题10分,18~22题12分。解答应写出文字说 明、证明过程或演算步骤. 17.解:(1)因为 ,由正弦定理得 ,(1分) 因为 , 所以 ,(2分) 所以 ,(3分) 可得 .(4分)(2) ,(5分) ∵ , 可得 (6分) 在△ABC中,由余弦定理得 ,(7分) ∴ ,(8分) , ,(9分) ∴a,c可看作一元二次方程 的两不等实根, ∵ ∴ .(10分) 18.解:(1)当 时, , .(1分) 当 时, ,(2分) 整理得 ,又 ,(4分) 所以 , 即数列 是以 为首项、 为公比的等比数列,(5分) ; (2)由(1)知, , ,(6分) 所以 , , ,(7分) 由数列 是等比数列,则 ,故 ,解得 ,(8分) 再将 代入 式,得 .(9分) 因为 ,所以数列 为等比数列,故 满足要求;(10分) 由于 ,满足条件①;(11分) 又由于 ,故存在 满足条件②. 故数列 为 数列.(12分) 19.解:(1)由题设,△ 为等边三角形,则 , 又四边形 为梯形, ,则 ,(1分) 在△ 中, ,即 ,(2分) 面 面 ,面 面 , 面 ,则 面 ,(4分) 又 面 ,故 .(5分) (2)若 为 中点, ,则 , 面 面 ,面 面 , 面 ,则 面 , 连接 ,则 ,且 面 ,故 , 综上, , 两两垂直,(6分) 构建以 为原点, 为x、y、z轴正方向的空间直角坐标系,所以 , , , ,若 且 ,则 , (7分) 而面 的一个法向量为 , , 所以 ,可得 ,故 ,(9分) 所以 , , , 若 是面 的一个法向量,则 , 取 ,(10分) 若 是面 的一个法向量,则 ,取 ,(11分) 所以 ,(仅写到这里扣1分) 由图知:锐二面角 的余弦值 .(12分)20.解:(1)由题可得 .(1分)(只写对1个也给1分) , (2分) 则 (4分) (5分) 所以 (6分) (2)由题可知 的所有可能取值为 , , , ,(7分) , , (10分) 则X的分布列为 ∴ .(12分,分布列正确得1分) 21.解:(1)因为双曲线 的离心率为 ,所以 ,即 ,(1分) 所以双曲线 的方程为 , 联立直线 与双曲线 的方程 ,消去 得 ,(2分) 即 , 因为 与双曲线C仅有一个公共点,所以 ,(3分) 解得 ,(4分) 故双曲线 的方程为 .(5分) (2)设 , , 则 满足 消去 得 , 所以 , ,(6分) 如图所示,过A引 的垂线交C于另一点H, 则AH的方程为 .(7分) 代入 得 ,即 (舍去)或 .(8分) 所以点H为 . 所以 (9分) ,(11分) 所以 , 故 为 的垂心,得证.(12分) 22.解:(1) 的定义域是 , ,(1分) ① 时, , 在 单调递增,(2分) ② 时, , 令 ,解得 ;令 ,解得 , 故 在 递减,在 递增,(4分) 综上: 时, 在 单调递增, 时, 在 递减,在 递增.(5分) (答题步骤中已经写有单调区间,则没写综上不扣分) (2)要证 ,即证 , , ①当 时, , ,该不等式恒成立;(6分) ②当 时, ,结合 ,得 , 只需证明: ,即证 ,(7分)令 , ,(8分) 令 ,则 , 令 ,则 在 上恒成立, 所以 在 上单调递增, 又 , ,所以存在 ,使得 , 所以 在 上单调递减,在 上单调递增,(10分) 又 , , , , 所以当 时, ;当 时, , 即函数 在 上单调递减,在 上单调递增,(11分) 所以 ,问题得证, 即当 时, 恒成立. 综上所述,当 时, 恒成立.(12分)