当前位置:首页>文档>(专项训练)第九单元数据的收集和整理(二)解决问题(拔高版)-(苏教版)_三年级数学下册(苏教版)_知识解读+题型专练-T2

(专项训练)第九单元数据的收集和整理(二)解决问题(拔高版)-(苏教版)_三年级数学下册(苏教版)_知识解读+题型专练-T2

  • 2026-04-18 20:20:33 2026-03-25 03:16:29

文档预览

(专项训练)第九单元数据的收集和整理(二)解决问题(拔高版)-(苏教版)_三年级数学下册(苏教版)_知识解读+题型专练-T2
(专项训练)第九单元数据的收集和整理(二)解决问题(拔高版)-(苏教版)_三年级数学下册(苏教版)_知识解读+题型专练-T2
(专项训练)第九单元数据的收集和整理(二)解决问题(拔高版)-(苏教版)_三年级数学下册(苏教版)_知识解读+题型专练-T2
(专项训练)第九单元数据的收集和整理(二)解决问题(拔高版)-(苏教版)_三年级数学下册(苏教版)_知识解读+题型专练-T2
(专项训练)第九单元数据的收集和整理(二)解决问题(拔高版)-(苏教版)_三年级数学下册(苏教版)_知识解读+题型专练-T2
(专项训练)第九单元数据的收集和整理(二)解决问题(拔高版)-(苏教版)_三年级数学下册(苏教版)_知识解读+题型专练-T2
(专项训练)第九单元数据的收集和整理(二)解决问题(拔高版)-(苏教版)_三年级数学下册(苏教版)_知识解读+题型专练-T2
(专项训练)第九单元数据的收集和整理(二)解决问题(拔高版)-(苏教版)_三年级数学下册(苏教版)_知识解读+题型专练-T2
(专项训练)第九单元数据的收集和整理(二)解决问题(拔高版)-(苏教版)_三年级数学下册(苏教版)_知识解读+题型专练-T2
(专项训练)第九单元数据的收集和整理(二)解决问题(拔高版)-(苏教版)_三年级数学下册(苏教版)_知识解读+题型专练-T2
(专项训练)第九单元数据的收集和整理(二)解决问题(拔高版)-(苏教版)_三年级数学下册(苏教版)_知识解读+题型专练-T2

文档信息

文档格式
docx
文档大小
3.594 MB
文档页数
11 页
上传时间
2026-03-25 03:16:29

文档内容

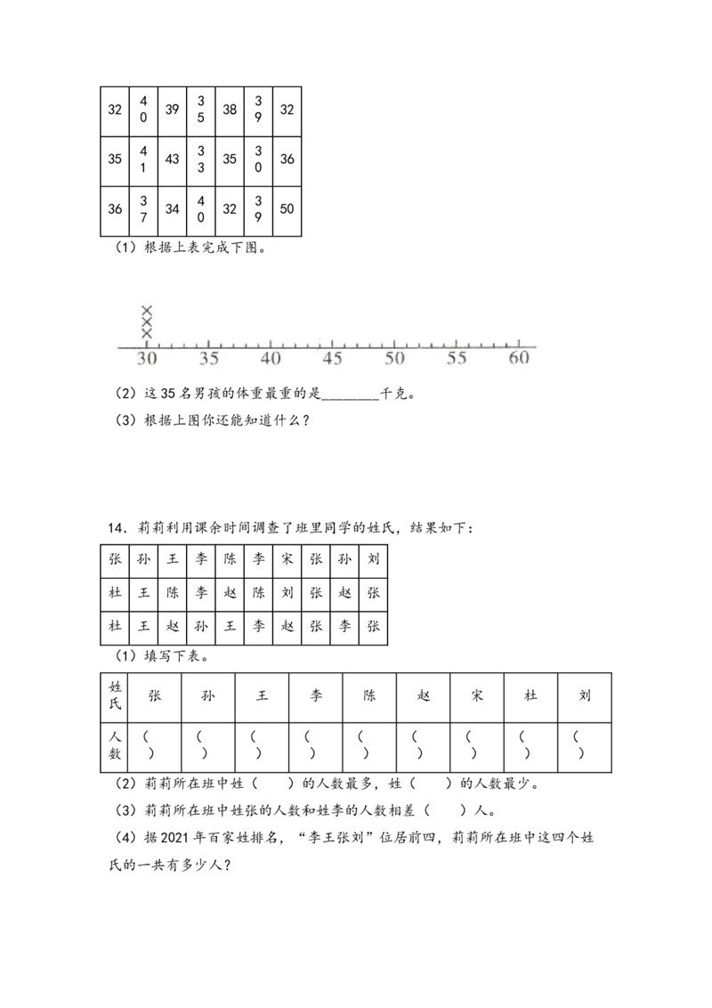
2023-2024 学年三年级数学下册《知识解读+题型专练》 (专项训练)第九单元 数据的收集和整理(二)解决问题(拔高版) 一、解答题 1.下面是三(9)班男生50米赛跑的成绩:(单位:秒) 9.4 8.9 8.5 9.2 10.2 8.7 8.6 8.8 8.5 8.9 8.9 9.1 8.4 9.4 8.8 8.8 10.3 8.5 9.5 9.2 9.1 (1)按要求整理数据。 成绩/秒 8.8以下 8.8—9.3 9.4—9.9 9.9以上 人数 (2)这个班男生50米赛跑成绩( )的人数最多,( )的人数最少。 (3)50米赛跑成绩最好的跑了( )秒,成绩最差的跑了( )秒,相 差( )秒。 2.生活中处处有数学。周末数学兴趣小组统计了一个路口3分钟内通过的各种 汽车数量,结果如下表: 大客 小轿 出租车 一共 车 车 ( ) 10辆 13辆 37辆 辆 (1)算一算,3分钟共有多少量汽车通过,填在表格中。 (2)这个路口平均每分钟有多少辆汽车通过? (3)照这样计算,25分钟通过这个路口的汽车有多少辆? 3.下面是某日几个城市的空气质量报表。城市 A B C D E F G 4 空气污染指数 57 80 107 154 95 80 9 (1)空气污染指数最高的城市是( ),最低的是( )。 (2)国家规定:空气污染指数为0~50,空气质量为优;空气污染指数为51~ 100,空气质量为良;空气污染指数为101~150,空气质量为轻度污染;空气 污染指数为151~200,空气质量为中度污染;空气污染指数为201~300,空气 质量为重度污染;空气污染指数为301~500,空气质量为严重污染。整理以上 数据并填入下表。 空气质 优 良 轻度污染 中度污染 重度污染 严重污染 量 城市数 量 (3)人为污染物的排放是影响空气质量的主要因素之一。作为一名小学生,你 将如何为减少空气污染出一份力呢? 4.你的生日是哪个月?全班同学中哪个月出生人数最多?哪个月出生人数最 少? (1)每人写出自己出生的月份,再分类整理。 (2)分小组调查每个月出生的人数,并把结果记录在表中。 月 1 2 3 4 5 6 7 8 9 10 11 12 份 月 月 月 月 月 月 月 月 月 月 月 月人 数 (3)分别把各组各月份出生的人数相加,把全班汇总的结果填入下表。 月 1 2 3 4 5 6 7 8 9 10 11 12 份 月 月 月 月 月 月 月 月 月 月 月 月 人 数 根据全班汇总的结果,可以找到对应的出生人数最多和最少的月份。 5.一个小正方体的六个面上分别写有1、2、3、4、5、6。其中1和4用的是红 色字,2和5用的是黑色字,3和6用的是黄色字。小丽将这个正方体抛了40 次,并记录了朝上的数出现的次数(如下表)。 朝上的 1 2 3 4 5 6 数 次数 6 4 8 7 5 10 (1)把上面的数据按下面标准重新分类,请填好表格。 朝上的数 单数 双数 ( 次数 ( ) ) 朝上的颜色 红色 黑色 黄色 ( ( ( 次数 ) ) ) (2)这40次中,单数朝上次数占总次数的 ,红色朝上次数占总次数的 。 (3)小丽再抛一次,朝上的数字是2,这时,双数朝上次数占总次数的 。6.小冬记录了班级女生1分钟跳绳比赛的成绩。 序号 成绩/个 序号 成绩/个 序号 成绩/个 序号 成绩/个 1 85 5 96 9 94 13 88 2 78 6 114 10 63 14 100 3 96 7 86 11 87 15 146 4 120 8 79 12 123 16 101 (1)成绩达到100个为优秀, 个为良好, 个为合格,低于75个为 不合格。根据等级划分,填写下表。 等 优秀 良好 合格 不合格 级 人 ( ( ( ( 数 ) ) ) ) (2)这个班的女生1分钟跳绳的最好成绩是( )个,最差的是( )号 同学。 7.小雨调查记录了班上女生的身高,如下: 序号 身高/cm 序号 身高/cm 序号 身高/cm 序号 身高/cm 1 140 5 141 9 136 13 144 2 132 6 144 10 133 14 143 3 133 7 137 11 138 15 139 4 136 8 134 12 142 16 131 (1)根据上表中的数据,按要求整理在下表中。 身高 (cm) 人数(2)在这个班女生中,身高最高的是( )厘米,最矮的是( )厘米。 (3)根据整理数据,可以看出身高在( )厘米之间的女生人数最多。 8.王老师收集了班上24名学生1分钟跳绳成绩,结果如下: 序号 1 2 3 4 5 6 7 8 9 10 11 12 10 14 10 次数 58 95 91 115 88 75 96 126 108 5 0 2 序号 13 14 15 16 17 18 19 20 21 22 23 24 12 16 次数 89 95 148 78 84 69 96 82 75 79 9 0 (1)这24名学生中,1分钟跳绳次数最多是( )次,最少是( )次。 (2)这24名学生中,1分钟跳绳次数少于80次的有( )人,多于100次 的( )人。 (3)小冬1分钟跳了88次,他在全班中处于什么水平? 9.下面是三年级同学最喜欢的月份统计表。 最喜欢的 1 2 3 4 5 6 7 8 9 10 11 12 月份 月 月 月 月 月 月 月 月 月 月 月 月 人数 1 2 1 5 7 4 3 4 3 5 2 1 (1)把上表中的数据按季度分类。 季 第一季度 第二季度 第三季度 第四季度 度 人 数 (2)你还可以按哪个标准整理上面的数据?列表填一填。10.在一次体检中,抽查了一部分同学的视力情况如下: 序号 序号 序号 序号 1 4.5 5 5.0 9 4.6 13 4.8 2 5.2 6 5.0 10 5.0 14 5.1 3 4.9 7 4.7 11 5.1 15 4.9 4 5.1 8 5.3 12 4.5 16 4.8 (1)把上面的数据整理在统计表中。 视力 4.9及以下 5.0-5.1 5.2及以上 人数(人) (2)这些同学的视力在( )范围的人数最多。 (3)看到这个统计表你想对同学们说些什么? 11.下面是某城市2023年1月份天气情况统计表和统计图。 阴天(多 天气情况 晴天 雾霾 雪天 云) 天数 11 9 8 3 (天) (1)2023年是( )年,这一年的2月份有( )天,1月份有( ) 天。1月份( )天最多,( )天最少。 (2)你从中还得到了什么信息。 (3)雾霾严重危害人类健康,你有什么好建议吗? 12.统计。下面是某商店6月份的五种冰激凌销量统计情况。 生巧:正正正 六个圈:正正 牛奶棒:正 皮阿糯:正 老冰棍:正 (1)请根据销量情况填一填。 种类 生巧 六个圈 牛奶棒 皮阿糯 老冰棍 数量(箱) (2)涂一涂。 (3)销量最好的是( ),销量最差的是( )。 (4)根据上面的统计情况,你会给这家店的老板提供什么建议? 13.下面是35名10岁男孩儿的体重。(单位:千克) 3 4 3 35 45 39 32 0 8 8 3 3 3 40 42 42 30 3 6 94 3 3 32 39 38 32 0 5 9 4 3 3 35 43 35 36 1 3 0 3 4 3 36 34 32 50 7 0 9 (1)根据上表完成下图。 (2)这35名男孩的体重最重的是________千克。 (3)根据上图你还能知道什么? 14.莉莉利用课余时间调查了班里同学的姓氏,结果如下: 张 孙 王 李 陈 李 宋 张 孙 刘 杜 王 陈 李 赵 陈 刘 张 赵 张 杜 王 赵 孙 王 李 赵 张 李 张 (1)填写下表。 姓 张 孙 王 李 陈 赵 宋 杜 刘 氏 人 ( ( ( ( ( ( ( ( ( 数 ) ) ) ) ) ) ) ) ) (2)莉莉所在班中姓( )的人数最多,姓( )的人数最少。 (3)莉莉所在班中姓张的人数和姓李的人数相差( )人。 (4)据2021年百家姓排名,“李王张刘”位居前四,莉莉所在班中这四个姓 氏的一共有多少人?15.社区为了维护校园周边环境,对周围140户家庭一周内丢弃塑料袋数量进 行了统计,如下表。根据统计表的数据回答问题: 数 6~1 21~2 1~5 11~15 16~20 26~30 30以上 量/个 0 5 家 10 20 30 35 20 10 5 庭/户 (1)丢弃塑料袋的数量在( )范围内的家庭最多。 (2)从调查的统计数据上看,被调查的140户家庭中,有( )户家庭没有 丢弃塑料袋。 (3)看了这组统计数据,你有什么想法?你对父母或者身边的人有什么建议? 16.2021年国家教育部发布了全国小学体育测试项目及评分标准,其中三年级 1分钟跳绳评分标准如下: 优秀 良好 及格 不及格 男 104- 116及以上 34-103 34以下 生 115 女 109- 125及以上 39-108 39以下 生 124 小华调查了三(2)班10名同学的跳绳成绩,结果如下: 序号 1 2 3 4 5 6 7 8 9 10 性别 女 女 男 男 男 女 男 女 女 男 跳 10 11 120 131 120 105 36 110 80 90 绳/下 4 8 (1)根据上面的数据分别填写下面的表格。 被调查的男、女生人数统计性别 男 女 人数 10位同学跳绳等级情况统计 优 良好 及格 不及格 秀 男生人数 女生人数 (2) 根据统计结果,下面哪种说法比较合理?在( )里打“√”。 被调查的男生跳绳等级为优秀的人数和女生同样多。( ) 被调查的女生跳绳成绩比男生好。( ) 获得优秀等级的人数最多,不及格等级的人数最少。( ) 17.近年来,人们的环保意识逐渐增强,“白色污染”现象越来越受到人们的 重视。李芳统计了自己家某一周丢弃的塑料袋数目。 星期 一 二 三 四 五 六 日 塑料袋个 4 7 3 8 5 8 7 数/个 (1)这一周,李芳家每天丢弃的塑料袋多于5个的有( )天,星期( )丢弃的塑料袋最少。 (2)一种长方形塑料袋长30厘米,宽20厘米,把一个这样的塑料袋平铺在地 上,占地面积是多少平方厘米?合多少平方分米? (3)假设一个家庭每天丢弃5个这样的塑料袋,一个月(按30天算)丢弃的 塑料袋能铺多少平方分米?合多少平方米?(袋与袋不相互重叠) 18.劳动教育是实施立德树人教育的重要组成部分,光明小学发出周末“我来 动手做家务”的倡议,希望大家积极参加家庭劳动,培养学生正确的劳动意识,培养责任担当意识。小明收集了本班16位同学在上周日做家务的时间,如 下表: 序号 时间/分 序号 时间/分 序号 时间/分 序号 时间/分 1 54 5 74 9 83 13 75 2 36 6 95 10 52 14 42 3 80 7 35 11 90 15 23 4 50 8 83 12 73 16 39 (1)这16位同学中,做家务时间最长的是( )分钟,最短是( )分 钟。 (2)根据家务劳动的时间,统计出相关数据,完成表格。 时 少于30分钟 多于1小时 间 人 数