当前位置:首页>文档>扇形统计图的认识(第2课时)_教学设计_小学数学人教版单独教案(1-6上下册)_《智慧教育教案》1-6上下册(25秋)_1-6上册_6年级上册(教案)新插图_第7单元扇形统计图

扇形统计图的认识(第2课时)_教学设计_小学数学人教版单独教案(1-6上下册)_《智慧教育教案》1-6上下册(25秋)_1-6上册_6年级上册(教案)新插图_第7单元扇形统计图

  • 2026-04-24 20:08:47 2026-04-24 20:08:47

文档预览

扇形统计图的认识(第2课时)_教学设计_小学数学人教版单独教案(1-6上下册)_《智慧教育教案》1-6上下册(25秋)_1-6上册_6年级上册(教案)新插图_第7单元扇形统计图
扇形统计图的认识(第2课时)_教学设计_小学数学人教版单独教案(1-6上下册)_《智慧教育教案》1-6上下册(25秋)_1-6上册_6年级上册(教案)新插图_第7单元扇形统计图
扇形统计图的认识(第2课时)_教学设计_小学数学人教版单独教案(1-6上下册)_《智慧教育教案》1-6上下册(25秋)_1-6上册_6年级上册(教案)新插图_第7单元扇形统计图
扇形统计图的认识(第2课时)_教学设计_小学数学人教版单独教案(1-6上下册)_《智慧教育教案》1-6上下册(25秋)_1-6上册_6年级上册(教案)新插图_第7单元扇形统计图

文档信息

文档格式
docx
文档大小
0.638 MB
文档页数
4 页
上传时间
2026-04-24 20:08:47

文档内容

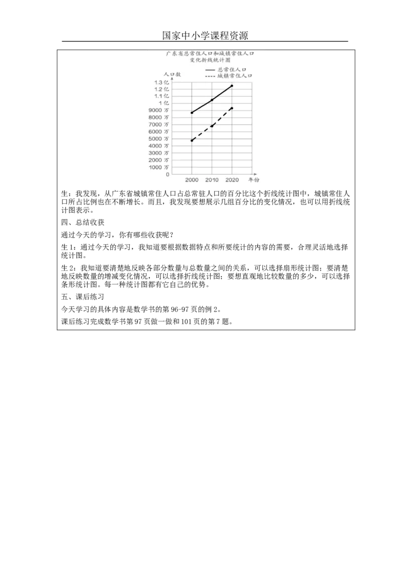
国家中小学课程资源 教学设计 课程基本信息 学科 数学 年级 六 学期 秋季 课题 扇形统计图的认识(第2课时) 教科书 书 名:义务教育教科书数学六年级上册 出版社:人民教育出版社 出版日期:2022年8月 教学目标 1.进一步体会条形统计图、折线统计图和扇形统计图各自的特点,能结合不同统计图,从不 同角度分析数据,能根据需要选择合适的统计图。 2.在利用统计图解决问题的过程中,进一步培养数据分析能力及统计意识。 3.感受统计图与生活的密切联系,体会统计图的应用价值。 教学内容 教学重难点:进一步体会不同统计图各自的特点,根据实际问题选择合适的统计图。 教学过程 一、复习回顾 (一)复习 1.通过上节课的学习,你对扇形统计图有了哪些认识呢? 生:扇形统计图清楚、直观地用百分比表示出了各部分与整体之间的关系。 2.除了扇形统计图,我们还学过了哪些统计图呢? (二)提出问题 我们学习过条形统计图、折线统计图和扇形统计图,不同情况下,如何选择适合的统计图 呢? 二、探索新知 (一)学习任务一 年份 2017 2018 2019 2020 2021 总量/棵 100 120 150 170 200 1.阅读理解。 仔细观察,从统计表中,你能获取哪些数学信息? 2.提出问题。 如果要用统计图表示这一组数据,你觉得用哪一种统计图更合适呢?国家中小学课程资源 生1:我认为用折线统计图比较合适,它能反映出2017年—2021年校园内树木总量变化情 况。 生2:我认为还可以用条形统计图来表示,不但可以把每年的树木总量表示出来,也可以通 过条形的起伏看出大致的变化趋势,这几年树木的种植情况是逐年增长的。 3.对比。 对比两种统计图,你有什么想说的? 生:条形统计图能够把统计表中的信息完整地表示出来,但是在看变化趋势的时候,没有折 线统计图那么直观。折线统计图能更加直观地表示出近几年树木总量的变化趋势。通过对 比,这里用折线统计图更合适一些。 小结:看来,在选择统计图时,我们要根据统计内容的特点进行选择。 (二)学习任务二 树种 杨树 柳树 松树 槐树 其他 百分比 25% 20% 15% 15% 25% 请你根据表中的数据选择合适的统计图。 生1:表格中统计的是几种不同的树木数量占树木总量的百分比,表示的是各部分与整体之 间的关系。所以我觉得用扇形统计图来表示这组数据更好。 生2:我认为扇形统计图则更具优势,能直观地表示出每种树木的数量与树木总量之间的关 系。 小结:当需要了解部分与整体之间的百分比关系时,选择扇形统计图更合适。 (三)学习任务三 树种 杨树 柳树 松树 槐树 其他 总量/棵 50 40 30 30 50 1.提出问题。 这个表格统计的是2021年绿茵校园园内各种树木的数量,想一想,它可以用什么统计图来 表示呢? 生:因为表中统计的是各种树木的数量的多少,所以用条形统计图来表示最合适,这样可以 一眼看出每一种树木的数量的多少。国家中小学课程资源 2.对比。 对比这些统计图,仔细想一想,为什么反映的都是绿荫校园园内的树木情况,使用的统计图 却不一样呢? 生:不同的统计图,有不同的特点,反映了绿荫校园园内树木不同方面的情况。 三、拓展提升 (一)分析理解 1.从图中你能得到哪些信息? 2.看到这幅图,你有什么想说的? 生:这幅图乍一看像是条形统计图,但是和我们以往看到的条形统计图又有不同。以前我们 学习的复式条形统计图是用两个并列的直条来表示两组不同的数据,但是这个统计图是在一 个直条上表示出了两个内容。 3.想一想,为什么要采用这样的形式?有什么优点呢? 生:城镇常住人口是总常住人口的一部分,在同一个条形上表示出来,既可以明显的看出每 年城镇常住人口和总常住人口的数量多少以及数量的变化,还可以清楚地表示出城镇常住人 口和总常住人口的关系。 小结:这种新型的统计图,集合了扇形统计图和条形统计图的优势,既能表示数量的多少, 又能表示部分与整体的关系。 (二)作图理解 1.如果改成折线统计图来描述,在描述数据方面有什么不同? 生1:通过折线统计图,可以看出总常驻人口和城镇常住人口都在不断地增长,但是增长的 幅度是不同的。 生2:但是在这个折线统计图中没有体现出城镇常住人口占总常驻人口的百分比,它又会是 什么变化情况呢? 2.完成折线统计图。国家中小学课程资源 生:我发现,从广东省城镇常住人口占总常驻人口的百分比这个折线统计图中,城镇常住人 口所占比例也在不断增长。而且,我发现要想展示几组百分比的变化情况,也可以用折线统 计图表示。 四、总结收获 通过今天的学习,你有哪些收获呢? 生1:通过今天的学习,我知道要根据数据特点和所要统计的内容的需要,合理灵活地选择 统计图。 生2:我知道要清楚地反映各部分数量与总数量之间的关系,可以选择扇形统计图;要清楚 地反映数量的增减变化情况,可以选择折线统计图;要想直观地比较数量的多少,可以选择 条形统计图。每一种统计图都有它自己的优势。 五、课后练习 今天学习的具体内容是数学书的第96-97页的例2。 课后练习完成数学书第97页做一做和101页的第7题。